- 易迪拓培训,专注于微波、射频、天线设计工程师的培养
薄膜体声波谐振器及其应用
1、引言
随着无线通讯技术,特别是第三代通信系统和蓝芽技术的迅速发展,工作在射频波段的通讯器件的微型化、低功耗、集成化及高性能越来越受到人们的重视。其中与超大规模集成电路工艺兼容的薄膜体声波谐振器(FBAR)最引人注目,它具有频率高、Q值高、体积小、承受功率大、换能效率高等诸多优点,己成为研究的热点之一。FBAR器件早在1982年开始出现在文献[1】中,但当时并没有引起人们的重视。在2001年,FBAR技术首次以双工器的形式出现在PCS中的蜂窝电话中,到2002年,安捷伦公司开始大规模生产FBAR,此时,FBAR器件开始引起业界的广泛关注。
2、FBAR的理论分析
薄膜体声波谐振器技术的发展前身应该是工作在厚度伸缩式模式下的石英谐振器,但由于石英不能被加工成所需更薄厚度,其最高谐振频率一般只能达到500MHz,于是人们将注意力转移到可以生长为微米级别厚度的压电薄膜。随着微电子机械系统和压电薄膜技术的发展,高性能UHF波段FBAR谐振器的制作成为可能。
FBAR的结构同石英谐振器相同,如图1所示。它是由上下平面金属电极和夹在它们中间的一层压电薄膜材料组成。当电压施加在电极上时,压电材料由于逆压电效应产生机械形变并在薄膜内激励出体声波,并在两电极平面之间来回反射,形成机械谐振,谐振基频波长等于压电薄膜厚度的两倍。

由于FBAR压电材料中体声波传播速度一般是5000~10000m/s,比表面声波快,因而其结构可以制作得更加精细,例如频率在1.6GHz谐振器可以做到厚度仅为3υm,电极厚度为0.3υm,典型面积为0.25mm×0.25mm。
FBAR谐振器性能的参数主要有串联谐振频率ƒs、并联谐振频率ƒp、品质因数Q、有效耦合系数
,其中品质因数Q表示在谐振频率所储存的能量与所消耗的能量之比,
反映了相对频率带宽的大小,其值为

安捷伦公司用压电材料生产的FBAR的Q值已经超过2500,
已经接近理论最大值6.5%。正是这些优异的特性,使得该公司用FBAR设计的滤波器具有更低的通带内低插入损耗和更陡峭变化的过渡带。FBAR器件在设计、优化、版图设计中,广泛使用以下两种模型。
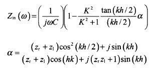
2.1、Mason模型
K.M.Lakin将压电陶瓷振子的梅森(Mason)模型引入到FBAR的设计中[2],成为一维模型。它反映了FBAR特性阻抗与其压电材料的介电常数εs、物体密度ρ、弹性劲度CE系数、压电应力系数e、薄膜的厚度h和有效横截面积A等参数之间的关系。该模型FBAR的输入阻抗为

式中,Zr和Z1是压电薄膜上下边界负载由压电薄膜阻抗归一化的声学阻抗;
分别为压电薄膜的箝制电容、机电耦合系数和波矢量。
FBAR的特性阻抗Zin(ω)最大和最小时对应的频率值,分别为FBAR的并联谐振频率和串联谐振频率,从而可进一步计算有效机电耦合系数
。
由于Mason模型使用物体的材料参数和物理结构描述FBAR的特性阻抗,与当前微波仿真软件设计的要求不兼容,其应用范围受到了一定的限制。
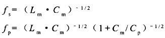
2.2、MBVD模型
MBVD(modifiedbutterworth.vandyke)模型是如图2所示的等效电路模型[3]。Cp反映了压电材料的介电性质;Rm,Lm和Cm串联支路反应了压电材料的机械振动性质。为了更精确描述实际FBAR,又有两个电阻加在等效电路上,其中Rs代表了电极的阻值;Rp反映了压电材料的介质损耗和寄生的横波模式所造成的影响,模型中Cp/Cm值的大小同压
电材料中电能转换成机械动能的能力成反比。

该模型的串联谐振频率和并联谐振频率分别为

该模型使用六个集总参数元件描述FBAR,符合微波电路仿真软件设计的要求,便于达到一定的滤波器频率响应指标而对电路参数进行分析和优化电路参数的目的,但模型的缺点是仅能模拟FBAR谐振频率附近的阻抗特性,并不能给出整个频域的特性阻抗。
3、结论与分析
为了保证FBAR具有高Q值,必须保证声波在上下压电薄膜外边界表面的高反射效率,这就要求上下电极外表面与周围介质在声学上进行隔离。一般情况下,压电材料上面电极平面直接与空气接触,不需要考虑隔离问题,而为解决底部电极平面同外界保持声学隔离,主要形成了以下三种FBAR结构。
3.1、空腔声学隔离薄膜结构
l980年,T.W.Grudkowski报道了图3所示的FBAR结构[1],该FBAR由平面电极间的三明治式淀积的压电薄膜构成,底部电极置于氮化硅薄膜上,氮化硅薄膜由衬底空腔四周边缘的顶部作为支撑,这样,使得氮化硅与衬底形成声学隔离。此种结构工艺上需要对衬底的底部进行腐蚀形成空腔,如果衬底是硅材料,则一般需要用KOH腐蚀。这种结构的难点是由于在衬底存在空腔,使得硅片变得十分脆弱易脆,并且由于使用KOH进行湿腐蚀时,各向异性腐蚀会在衬底底部产生54.7。的腐蚀倾斜角,这使得每片晶片上产出FBAR滤波器的数量有所降低。

3.2、空隙声学隔离薄膜结构
l985年,H.Satoh报道了图4所示的FBAR结构[4],在衬底和谐振器之间制作空隙桥,它首先需要在衬底上沉淀一层临时的支撑材料作为牺牲层,然后分别沉淀底部平面电极板、压电材料和上面的平面电极板,最后移走牺牲层,形成薄膜。由于此种结构的FBAR的工艺都在衬底的上表面进行,所以不存在上下对齐和背部大面积空腔的要求,但这种方法也有固有的难点,就是如何在大面积的器件上实现工艺,如采用典型的方法使用SiO2作为牺牲层,最后用HF溶液将其腐蚀掉,其腐蚀速率为l00~300nm/min,如果对表面为150μm×150μm的器件下方进行腐蚀的话,则至少需要500min,而暴露的金属电极接触蚀刻剂超过30min时就会与压电材料分裂。

3.3、反射层声学隔离固定结构固定结构
l995年,K.M.Lakin报道了图5所示的固定式SMR结构[5],薄膜谐振器直接坚固地表贴在衬底上,由于没有空气缝隙,其结构更加稳定,但为了获得高Q值,它使用Bragg反射层使压电材料和衬底在声学上保持隔离。Bragg反射层要求用声学阻抗率大和阻抗率小的的材料交替层叠在衬底上,每层厚度为谐振波长的l/4,当层数充分多时,这样使得声波有效地局限于压电薄膜内部反射。此种结构固有的难点是Bragg反射层材料的选择是受限制的,首先不能用金属,这是因为金属层容易形成寄生电容而降低滤波器的电气性能,如果用电介质材料,由于它们之间的声学阻抗的差别不是很大,故需要很多层,这样增加了工艺复杂度,在多层电介质上打孔也不是一件容易的事情,使其不易与其他有源器件集成。目前,由这种结构制成的谐振器比其他结构谐振器在有效机电耦合系数上明显偏低,这样也就降低了它的有效带宽。

4、FBAR使用材料
FBAR的插入损耗、有效耦合系数和品质因数等参数都与制作FBAR的压电材料和电极材料的性能密切相关。射频FBAR要求压电材料有较高的机电耦合系数和较低的介电常数。目前ZnO和AlN已被成功制成压电薄膜,它们物理性质如表l所示。

从表中可以看到,具有较高机电耦合系数的ZnO可以有较高的带宽,可以满足许多无线通信的技术要求,但是它的TCF(temperaturecoefficientofthefrequency)指标是A1N的两倍多,这表明它比A1N更易受外界温度的影响。A1N与ZnO相比,它不仅与硅有更好的兼容性、更高的电阻率、低密度的优良特性,而且由于它的较低电介质损耗,使其更容易满足通信中对滤波器损耗的要求,所以目前大部分FBAR器件选用A1N压电材料。
压电两端电极材料曾选用工艺上成熟的Al,Pt和w金属,然而Pt和w金属的缺点是密度过高,而Al金属声学阻抗低和相对比较高的热弹性损耗也不适应高频FBAR。目前,Mo金属由于它的低密度、低声波衰减、低电阻率、高声学阻抗和相对较高的熔点的优良特性,被广泛选为作电极的材料。
5、FBAR的应用
5.1、FBAR滤波器
滤波器在无线收发器中实现镜像消除、寄生滤波和信道选择等功能,用FBAR制作的滤波器有较高Q值和易实现微型化的特点,目前,可以从低频300MHz到高频4GHz都可以制造[6]。为了提高频率选择性,需要更多有不同谐振频率的谐振器的FBAR进行组合,目前主要采用如图6所示的梯形滤波器结构,一个梯形滤波器实物例子外观如图6所示。梯形滤波器的通带带宽主要取决于有效机电耦合系数K,过渡带的陡峭率和阻带衰耗的决定因素有串并联FBAR的数目、谐振器滤波的相对带宽大小和电容比Cp/Cm。


5.2、FBAR双工器
双工器在通信系统中发挥着关键作用,目前,FBAR已经实现大规模生产制造的产品主要针对蜂窝移动通信的双工器[7]。安捷伦公司已推出的第三代产品FBAR双工器,面积仅为1.6mm×2.0mm、高度不足1.0mm,在l850~l9l0MHz发送频段上,典型插入损耗为2.5dB,在l930~l990MHz接收频段上,对发送信号可提供最小33dB的抑制,发送功率处理能力30dBm,其在美国PCS手机市场上的占有率已经超过80%。
5.3、FBAR振荡器
有线和无线通信领域中对低抖动率时钟和振荡器有广泛的需求,在500MHz~5GHz频段内,基于FBAR技术制作的振荡器在小尺寸、高性能和低成本等方面很有优势,有望代替目前使用的SAW和陶瓷等振荡器。2003年,安捷伦公司利用FBAR已制作出L波段固定频率振荡器[8],并进一步研制出中心频率为l985MHz的电压可调FBAR振荡器,其可调范围为2.5MHz,相位噪声为-112dBcBc/Hz@l0kHz,比同类LC振荡器提高了l5~20dB[9]。
利用FBAR不仅可以制作以上滤波器、双工器、振荡器等这样高性能小体积的微波器件,而且已经研究如何将FBAR和低噪声功率放大器(LNA)等有源器件进行集成,从而研制出更高性能和更小体积的射频系统。
6、结语
FBAR技术涉及到声波器件、材料、电磁场、微波网络、信号、IC制造工艺和无线通信应用等众多学科,是一个全新多学科交叉的研究领域,但在微加工技术日益成熟和巨大的市场需求条件下,FBAR已经成为射频器件中最活跃的研究领域,当前世界许多国家都在积极研究FBAR技术,期望有助于实现射频系统的集成化、微型化和低成本。目前,FBAR的研究取得了一些突破,特别是在第二代移动通信领域取得了一些应用,但要真正满足无线通信的发展,FBAR技术还有很多问题有待探索和解决。
作者:池志鹏,赵正平,吕苗,杨瑞霞
参考文献:
[1] GRUDKOWSKI T,BLACK J,REEDER T,el a1.Funda— mental mode UHV/VHF m iniature resonators and filters[J].Appl Phys Lett,1980,39(1 1):993—997、
[2] LAKIN K M、Modeling of thin film resonators and filters[A]、IEEE MTT—S Int Microwave Symp Dig,V1 [C]、1992.149 1 52.
[3] LARSON J,BRADLEY P,W ARTENBERG S,Pt a,. M odified Butterworth·-Van Dyke circuit for FBAR reso-- nators and automated measurement system[A]、IEEE Ultrasonics Symp[C].San Juan,Pueno Rico,2000、 863—868.
[4] SATOH H,EBATA Y,SUZUKI H,el al、An air gap type piezoelectric composite resonator[A].IEEE Proc Int Symp on Freq Contr[C]、Philadelphia,Pennsylvania l 985.36l一366.
[5] LAKIN K M,KLINE G R,MCCARRON K T.Develop— ment of miniature filters for wireless applications[J]. IEEE Trans on M icrowave Theory Tech, 1 995,43 (1 2):293 3—2939.
[6] LAKIN K M,MCCARRON K T,BELSICK J,el a1.Filter b ank S imp1 emented With integ rated thin fi1m resonators[A].IEEE Int Ultrason Symp,V1[C].San Juan,Puerto Rico,,2000.85 1—854.
[7] BRADLEY P D,RUBY R C,OSHMYANSKY Y.A film bulk acoustic resonator(FBAR)duplexer for USPCS handset applications[A].IEEE MTT—S Digest[C].2001. 367 3 70.
[8] KHANNA A P S.GANE E D、A film bulk acoustic resonator(FBAR)L band low noise oscillator for digi— tal communication[A].32nd European Microwave Conf[C]、Milan,Italy,2002.1 025—1 028.
[9] KHANNA A P S,GANE E D.A 2GHz voltage tunable FBAR oscillator[A].IEEE MTT—S Digest[C]、2003、 7l 7—720.

