- 易迪拓培训,专注于微波、射频、天线设计工程师的培养
基于Matlab的均匀平面电磁波的仿真
0、引言
"电磁场与电磁波"是电子与通信类专业本科生必修的一门专业基础课,课程涵盖的内容是电子与通信类专业本科阶段所应具备的知识结构的重要组成部分。
在教学过程中,学生普遍反映该门课程比较抽象,包含了大量的数学公式推导,很多概念难以理解。无论是电磁场还是电磁波,都是看不到、摸不着的,教师难讲、学生难懂是当前该门课程教学中普遍存在的现象。
Matlab由于其强大的功能、简单易学的编程语言和可视化的仿真环境,为电磁场与电磁波的教学提供了仿真条件。借助Matlab模拟和实现结构的可视化,把抽象概念变为清晰,对复杂公式进行计算和绘图,动态直观的描述了电磁场的分布和电磁波传播状态,帮助学生理解和掌握电磁场与电磁波传播的规律,有助于学生对这门课程的学习。本文利用Matlab对平面电磁波的传播、极化、反射和折射的仿真,将抽象的电磁波形象化,取得了很好的教学效果。
1、均匀平面电磁波传播的仿真
设电磁波沿z 轴方向传播,在与z 轴垂直的平面上,其电磁场强度各点具有相同的振幅和振动方向,即E 和H 只与z 有关,而与x 和y 无关,这种电磁波就是均匀平面电磁波。
1.1 电场和磁场只有一个分量的情况
沿z 轴传播的均匀平面电磁波的瞬时值可表示为如下形式:

以一频率为100 MHz的均匀平面波在线性、均匀、各向同性的理想介质中传播为例,动态仿真了电磁波传播的过程,这里用到了Matlab 的meshgrid、plot3、pause等函数,图1中蓝色为电场强度,红色为磁场强度。通过图形,学生可以直观地看到电场和磁场互相垂直、相位相同、沿z 轴成正弦变化的规律。

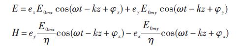
1.2 电场和磁场有两个分量的情况
设电磁波沿z 轴方向传播,选择ex 和ey 两个正交方向描述电场和磁场,则:

电磁波的传播过程如图2所示。

2、电磁波的极化
在空间某一固定点观察,E 的矢量端点在一个时间周期里绘出的轨迹表示电磁波的极化。了解电磁波的极化在实际工程中非常有用。对1.2中的电场和磁场的仿真如图3 所示,这里用到了view 函数调整图形视点,观察矢量端的轨迹。动态显示过程中,可以看到电磁波的极化方向。

3、均匀平面电磁波的反射和折射
3.1 均匀平面电磁波在理想介质交界面上的垂直入射
假设z = 0为媒质1和媒质2的平面分界面,电场强度为Ei (z) = E0 (ex + jey )e-jπ2z,电磁波由自由空间垂直入射到εr = 4,μr = 1 的介质中,通过计算,电场的反射系数和透射系数分别为r = -1 3 和t = 2 3,则入射波、反射波和折射波的瞬时值为:

电磁波的传播过程如图4 所示,其中蓝色为入射波,绿色为折射波,红色为反射波。

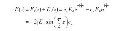
3.2 均匀平面电磁波在理想导体分界面上的垂直入射
已知入射波电场为Ei (z) 垂直入射到z = 0 的无限大理想导电平面上,则反射系数r = -1 ,全部的入射波被反射形成反向传播的反射波,则合成波为:

合成波为驻波,不发生能量传输过程,仅在两个波节间进行电场能量和磁场能的交换。仿真结果如图5所示,图中蓝色为入射波,红色为反射波,绿色为合成波。

4、结语
虽然通过Matlab仿真的结果过于理想化,与实际采用仪器测量的实验结果存在差距,但是,利用Matlab的画图功能,仿真电磁场与电磁波课程中抽象的、不可见的内容,可以帮助学生直观地分析和理解课程教学内容。本文利用Matlab软件,仿真了平面电磁波的传播、极化、不同媒质分界面的反射和折射的动态过程,丰富了教学内容,激发了学生学习的兴趣,达到了一定的教学效果。
如何成为一名优秀的射频工程师,敬请关注: 射频工程师养成培训
上一篇:射频走线与地的那点事儿
下一篇:柱面共形裂缝阵天线的设计与仿真 (一)

