- 易迪拓培训,专注于微波、射频、天线设计工程师的培养
利用ADS Momentum设计微带天线(Patch Antenna)
录入:edatop.com 点击:
在高效能的卫星、飞机、太空梭和行动通讯手机应用中,尺寸小、重量轻、低价位、高效能和容易安装的天线会获得较高的青睐。平板天线就有外型小、适合平面和非平面的应用,和利用现在印刷电路板的低制作成本技术的好处,而且也容易和microstrip line circuit结合,使得平板天线成为现今一般最常用的天线之一。
平板天线主要的缺点有低效率、低功率、high Q、低偏极化纯度、broadside directivity(无法作end-fired antenna)和频宽非常窄等。对国家或军事的用途上,窄频宽对传送机密资料是一种好处。对无线卫星行动通讯来说,平板天线有和高频前端模组易结合的好处,且平板天线的指向性虽然很差,却很适合应用在无线行动通讯系统。
本文首先介绍几种不同feed in的方法。因为高频的功率放大器难作,功率很珍贵,要有最大的功率可以进入天线中,便要作好阻抗匹配的工作。其次,将介绍二种平板天线的分析方法。一是传输线的模型,另一则是cavity的模型,利用安捷伦科技的电脑辅助设计软体ADS(Advanced Design System)实际设计几个不同feed in的天线,然后作一总结。
天线馈入方式
Transmission Line Feed
图1所示是利用传输线来feed能量进入天线中。 Feed in 点深入平板天线中对谐振频率并不会有太大的影响,但却可以改变输入的阻抗值。 Feed in 点位置不同,输入阻抗就不同。一般对传输线的要求和对电路的要求一样,均希望基板厚度要薄,介电常数要高才能把大部分的电磁场包在基板里面。但是对天线来说,却希望基板厚度要厚,介电常数要低才能使大部分的场幅射出去。因此,两者之间有矛盾,须作一折衷,才能使得在不连续处有较少的幅射损失。

图 1
Coaxial Feed
图2所示,是利用coaxial cable去feed能量到平板天线上。和TransmissionLine Feed相同,可以在平板天线上找到一个feed in 点是想要的输入阻抗,在此把能量送到天线上发射出去。 coaxial cable和平板天线的排列成正交垂直,所以有很好的隔离度,但是利用coaxial cable来作feed in有一个缺点,就是制作不易,那是因为在基板上打洞,并且要把coaxial cable的中心针焊在天线上并不是一件简单的事,但因有好的隔离度,所以也广为大家使用。

图 2
Coupled Feed
图3所示,是利用coupled line 把能量耦合到天线上再幅射出去。这种方式耦合的能量通常较小,因此,若要有足够的能量幅射出去,便须把天线的一边当作coupling edge,耦合能量才够。

图3
Buried Feed
图4所示,是Coupled Feed的一种改良方式,利用多层板的架构来作能量的耦合。 Buried Feed是把天线做在上层,传输线做在下层,同时使这二个部分达到最佳化。上层用较低的介电常数和较厚的板子来作以提高幅射,下层用较高的介电常数和较薄的板子来作以减少传输线幅射的产生,这是单层板所没有的优点。但是因为结构较复杂,所以并没有简单的模型来模拟它。使用多层板有另一个好处即是可以增加频宽,类似堆叠的结构,由于要对输入阻抗作匹配,因此若使用transmission line或coaxial cable来作feed in,通常均是以不对称的方式将能量耦合进去。这种不对称的方式会产生higher order modes和cross-polarized radiation。为了避免这种情况的发生,我们会使用Buried Feed 或Slot Feed 的耦合方式来作feed in 的工作。

图4
Slot Feed
图5所示,是改良自Buried Feed的架构,在传输线和天线中间放上接地面,使二者有很好的隔离,再在接地面上切出一个slot,利用这个slot来耦合能量到天线上。但在接地面上切出一个slot,就像在传输线和天线之间又加入一个magnetic dipole,会产生一个虚伪的幅射。称为虚伪幅射是因为它并不是我们想要得到的,因此,有必要使slot远离平板天线的幅射边,以减少虚伪幅射的产生,且应适当的决定slot的尺寸,以避免在平板天线的操作频带中,发生谐振而影响到正常的操作。

图5
分析方法
Transmission-Line Model
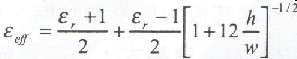
传统的microstrip line如图6所示,上下二个金属面所看到的介质的介电常数不同,所以有不同的波速。若等效成一个均匀的介质来看,须引入一个有效的介电常数εeff。 εeff和基板的介电常数、microstrip line的长度、宽度有关,其关系如式(1)。


当宽度远大于基板的厚度时,电磁场大部分被包在基板内,所以εeff =εr 。当宽度远小于基板的厚度时,电磁场不只会在基板上,也会飞到空中,所以εeff = εr +1/2 。 εeff 也是频率的函数,其关系如图7所示。当操作频率上升,大部分的电磁场会被包在基板当中,因此有效的介电常数εeff 会接近基板本身的介电常数εr。又由于fringing effect的效应使有效的长度大于实际的长度,因此,在设计天线时应把由于fringing effect所造成的影响△L加入设计的考量当中,如式(2)及式(3)所示。


图7
△L为宽高比(W/h)和εeff 的函数,如图8所示。假设这个rec??tangular patch antenna操作在基本的TM010 mode,则其谐振频率如式(4)。


图8
c为光速,式(4)并没有考虑fringing effect,若考??虑fringing effect则须做一些修正,如式(5)。当基板的厚度增加时,fringing也会增加导致Leff会越大,即二个幅射边相距越远,根据式(5)可知,谐振频率也会下降。

Cavity Model
当能量feed in进入平板天线时,在平板天线的上下二个表面会有电荷的分布,接地面也会有电荷的分布,如图9所示。有二种机制,一种是吸引,另一种则是排斥。吸引机制是来自平板天线的下表面和接地面有不同的电荷极性所致,这个机制使电荷能集中在平板天线的下表面,而排斥机制来自于平板天线的下表面,此机制使下表面的电荷往上表面流,产生相对的电流密度JbandJt。由于在大部分的实际应用中,h/W的比例通常都很小,所以主要为吸引机制,而且,大部分的电荷分布和电流密度分布在平板天线的下表面,Jt会随着h/W的比例越小而越小,最后近似于0。因为Jt是0,所以在平板天线的四边并没有切线方向的磁场分布,因此可以把这四边看成是perfectmagnetic conducting surfaces。实际上。 h/W并非无限的小,所以这四边并非为perfect magnetic conducting surface,但可以此作一很好的近似,且因为基板的厚度很小,所以fringing field也较小,因此可以把电场分布想成均垂直导体表面而只考虑TM x field的传输模式。最后这个cavity就可以把它看成是上下二个perfect electric conducting surfaces,前后左右为perfect magnetic conductingsurfaces。

由于平板天线的厚度很薄,电磁波跑到平板天线的幅射边时会遭遇到很大的反射而使幅射效率变差。透过解wave equations可以知晓电磁场的分布,Vector potential Ax须满足式(6):

利用分离变数法可得式(7):

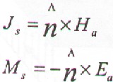
一些基本的谐振模式如图10所示。 Cavity Model的等效电流密度如图11(a),等效的电流及磁流密度如式(13)。


图10
因为h/W很小,所以patch antenna的上表面电流密度是小于下表面的电流密度。我们假设切线方向的磁场是0,因此等效的电流密度Js 将很小。我们令其为0以利后面的计算,如图11(b)所示。而由于接地面的关系,会使slot对地面产生一个image的效果,而使磁流变成二倍,即Ms=-2nXEa ,如图11(c)所示。二个幅射边的磁流如图12所示,可以看成是二个dipole形成阵列天线彼此相距L的距离。对TMx010 mode来说L=λ/2,中间平行板则形成低阻抗的转换器,在垂直天线的方向二个dipole同相位,所以有最大的幅射量(broadside)。而平行天线的方向因相差180°,所以有一null产生。二个不幅射边的磁流如图13所示,在每一边的磁流量值相同但方向相反因此互相抵消而不幅射,典型的E和H plane的场型如图14所示。

图11

图12

图13

图14
利用ADS设计平板天线
首先在ADS Main Window中开启一个Data Display Window(点选window new data display)后在此视窗中建入Equation(1)、(2)、(3)如图1,然后在Layout Window中画出电路图形(图2),而后点选Layout Window中momentum substrate create/modify 去定义基板参数(图3、4);点选momentum mesh setup,设定切割区块的大小和切割的频率,如图5;点选momentum simulation S-parameters,启动电磁模拟器momentum并开始模拟,如图6。模拟结束后可在Data Display Window中看到模拟结果,如图7所示,点选momentumapost -processingaradiation pattern,去看远场场型(Far-field pattern),如图8所示;在图8的视窗中可点选current set port solution weights,设定想看电流变化的频率点,如图9、10。图11秀出在谐振频率点的电流变化。

图1 在data display window中建入equations

图2 平板天线的布局图

图3 定义基板参数

图4 定义金属参数

图5 设定mesh frequency 和 mesh density

图6 模拟设定

图7 在Data Display Window中秀出模拟的结果

图8 远场场型
图9 设定想看的频率点

图10选择观看结果的视窗

(a)在0度的电流变化
(b)在60度的电流变化

(c)在120度的电流变化

(d)在180度的电流变化
(e)在240度的电流变化

(f)在300度的电流变化
(g)在360度的电流变化
图11谐振频率点的电流变化
另一个例子是ADS系统内建的例子。这个例子可以从ADS Main Window中的File example project momentum antenna single_patch_prj找到,我们也可以用之前建入的Equation去计算电路的尺寸,如图12。将基频(fundamental frequency)设定为为7.6GHz,基板的介电系数为2.2、厚度为0.79mm,之后建构实体电路在Layout Window内,如图13所示。模拟完之后可以在Data Display Window 中看到结果,从图14中可以看到两个谐振的频率点,一个在7.6GHz,一个在1??8.37GHz。用第二个分析方法来看可以知道第一个谐振频率为TM001 mode;第二个谐振频率为TM030 mode,电流变化和远场场型分别在图15、16中。

图12 计算电路的尺寸

图13 电路的布局图

图14 在Data Display Window中秀出模拟结果

(a)TM001 7.6GHz

(b)TM030 18.37GHz
图15 电流变化

(a)远场场型 7.6GHz

(b)远场场型 18.37GHz
图16 远场场型
结论
本文一开始先介绍天线馈入的方式,不同的馈入方式对平板天线的效能有决定性的影响,Transmission Line Feed 可以改变输入的阻抗值,对谐振频率并不会有太大的影响,Coaxial Feed和平板天线的排列成正交垂直,所以有很好的隔离度,Coupled Feed是利用coupled line 把能量耦合到天线上再幅射出去,这种方式耦合的能量通常较小,Buried Feed是把天线做在上层,传输线做在下层,同时使这二个部分达到最佳化,Slot Feed 是改良自Buried Feed 的架构,在传输线和天线中间放上接地面,使二者有很好的隔离度。
其次介绍两种分析平板天线的方法,一种是以Transmission-Line Model 来分析电路,另一则利用Cavity Model来做分析,利用Transmission-Line Model 可以设计平板天线的实际尺寸,再利用ADS 做模拟,如第一个设计的例子所述,利用Cavity Model 可以对平板天线实际的谐振情形有更深入的了解,如第二个例子所述。
以ADS实际设计几个例子,主要的目的是希望能帮助设计者使用ADS快速的完成设计的工作。更深入的理论可以参考Constantine A.Balanis , antenna theory analysis and design, Second Edition, Wiley, CH12, 2000。
如何成为一名优秀的射频工程师,敬请关注: 射频工程师养成培训
上一篇:EDA技术的发展与应用(一)
下一篇:如何选择高频器件功分器和耦合器的PCB材料

