- 易迪拓培训,专注于微波、射频、天线设计工程师的培养
石墨烯基本概念与高频特性介绍
石墨烯是由单层sp2 杂化碳原子组成的六方点阵蜂窝状二维结构,包含两个等价的子晶格A和B。它的单层厚度为0.35 nm,C-C 键长为0.142 nm,其独特的稳定结构使之具有不同于其它材料的优良性能。石墨烯是一种零带隙半导体材料,超高的载流子迁移率,是商用Si材料迁移率的140倍,达到200000cm2/V?s,高于目前已知的任何半导体材料。在典型的100nm通道晶体管中,载流子在源和漏之间传输只需要0.1ps,因此可应用于超高频器件,为提供一种扩展HEMT频率到THz成为可能。在石墨烯上,整流栅电极可以相隔几纳米放置,这样沟道更短而且传输更快。导热性能优良,热导率是金刚石的3倍,达到5000 W/m?K;超大的比表面积,达到2630m2/g;此外,它非常坚硬,强度是钢的100多倍,达到130 GPa。研究人员甚至将石墨烯看作是硅的替代品,能用来生产未来的超级计算机。
| 材料 | 热导率(W/cmK) | 电子迁移率(cm2/Vs) | 饱和电子漂移速度(×107cm/s) |
| Si | 1.5 | 1200 | 1.0 |
| InP | 0.68 | 4600 | |
| SiC | 4.9 | 600 | 2.0 |
| GaN | 1.5 | 1500 | 2.7 |
| Graphene | 50 | 200000 | 10 |
有关专家认为,石墨烯很可能首先应用于高频领域,是超高功率元器件的潜质材料。石墨烯特殊的结构,使其具有完美的量子隧道效应、半整数的量子霍尔效应、从不消失的电导率等一系列性质,引起了科学界巨大兴趣,掀起了一股研究的热潮。安德烈•海姆和康斯坦丁•诺沃肖洛夫因其在石墨烯二维材料方面的原创性杰出工作被授予2010年诺贝尔物理学奖。

尽管长期以来物理学界普遍认为严格的 2D晶体在自由状态下不可能存在 (热扰动使原子在第三个维度上的涨落大于晶格常量,2D晶体熔化),但是关于 Graphene的理论工作一直在进行。 早在 1947年 P .R.Wallace通过理论计算给出了 Graphene的能带结构,并以此为基础构建石墨 (graphite),获得了关于晶格中电子动力学信息,预言了 Graphene中相对论现象的存在。虽然当时人们并不相信二维晶体的存在,但是 Wallace的工作对于石墨的研究起了引导性的作用。石墨 (graphite)作为一种半金属性 (semi metal)材料,在布里渊区边界能带发生交叠,使电子能在层与层之间传输,当 graphite的层数减少到仅有单层(Graphene)时,能带变为单点交叠的方式 (如下图(a)所示 ),而且由电子完全占据的价带和由空穴完全占据的导带对于这些交叠点 (K和 K′ )完全对称。

( a)理论计算给出的Graphene的能带结构,在狄拉克点处,能带发生交叠; ( b)低能量处(狄拉克点附近)的能带结构采用圆锥形近似,具有线性近似。
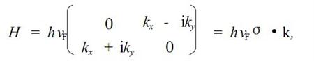
单层Graphene中电子在高对称性的晶格中运动,受到对称晶格势的影响,有效质量变为零(即无质量粒子) 。这种无质量粒子的运动由狄拉克方程而非传统的薛定谔方程描述。由狄拉克方程给出新的准粒子形式(狄拉克费密子),能带的交叠点K和K′点也被称为狄拉克点。在低能处( K和K′点附近),能带可以用锥形结构近似(见上图( b) ),具有线性色散关系。在狄拉克点附近,准粒子哈密顿量形式为:

其中σ为二维自旋泡利矩阵,k为准粒子动量,vF =106m / s为费米速度,近似为光速的1 /300,该哈密顿量给出的色散关系为E = │hk│vF。值得注意的是Graphene中能量E与动量k间为线性关系,使得单层Graphene表现出许多不同于其他传统二维材料的特性。在狄拉克点处(K和K′等),波函数属于两套不同的子晶格,需要用两套波函数描述,类似于描述量子力学中的自旋态(向上和向下)的波函数,因此称为赝自旋。由于准粒子采用"2 + 1"维低能狄拉克方程描述,模拟量子电动力学表述,在Graphene中引入手性。手性和赝自旋是Graphene中两个重要参量,正是由于手性和赝自旋的守恒,使Graphene出现了许多新奇的性质。
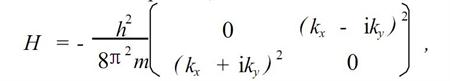
对于双层Graphene,哈密顿量为:

可以看出,此哈密顿量虽然不是严格的狄拉克形式,但是只有非对角项不为零,具有较特殊的形式,类似单层石墨中的哈密顿量形式,仍然给出的是一种准粒子。这种准粒子同样具有手性,但是有效质量不为0,m≈0.05m0 (m0为电子质量)。双层 Graphene的结构和低能量处的能带如下图 ( a)所示,双层Graphene不再具有线性色散关系,而是近似抛物线状能带结构,如下图 ( b)所示。

(a)双层Graphene结构示意图与低能量处的能带图; (b)理论计算能带图,导带(价带)中能量较高(较低)的子能带未画出。
在低能量处,色散关系不再满足线性关系,而是抛物线形式。
石墨烯作为理想的二维材料,说它是所有石墨碳元素结构形态的基础也不为过,它可以包裹起来形成零维的富勒烯,卷起来形成一维的碳纳米管,也可层层堆积形成三维的石墨,石墨烯的能带结构在理论上已经被研究了几十年,它可以认为是一种零禁带半导体材料,能带交叠为一点,而且由电子完全占据的价带和由空穴完全占据的导带关于这些交叠点( K和K′)完全对称。在K和K′点附近,石墨烯中的电子由于受到周围对称晶格势场的影响,电子的有效质量变为0,传统的描述电子运动的薛定谔方程被狄拉克(Dirac)方程所取代,因此K和K′点也被称为狄拉克点。在狄拉克点处,需要用两套波函数来描述两套的子晶格,类似于描述量子力学中的自旋的波函数,因此称为赝自旋。在狄拉克点附近,能量与波矢成线性的色散关系E =│hk│vF,费米速度是光速的1/300,呈现相对论的特性,因此石墨烯为我们研究量子电动力学现象提供了最直接的实验平台。模拟量子电动力学表述,可以在石墨烯中引入手性。手性和赝自旋是石墨烯的两个重要参量,正是由于手性和赝自旋导致的简并,使石墨烯出现了许多新奇的性质。
石墨烯作为一种半金属材料,内部载流子浓度高达1013cm-2。实验表明,石墨烯的迁移率几乎与温度无关,即使在室温下迁移率也主要受杂质或缺陷的影响,所以可以通过提高晶体质量来提高载流子的迁移率。最近,理论和实验均已证实石墨烯具有双极场效应,通过门电压的调制,它的载流子可以在电子和空穴间连续地过渡,使其显现出n型、p型特性。由于石墨烯特殊的晶体结构和能带结构,通过控制其几何构型及边缘的手性可以使其呈现金属或半导体特性。石墨烯在室温条件下也可以观察到它的量子霍尔效应,这与通常的半导体、金属材料完全不同。不过,石墨烯的电子输运不符合薛定谔方程的描述,而符合狄拉克相对论方程,所以其量子霍尔效应异于传统的二维电子气体:单层石墨烯的量子霍尔效应的量子序数相对于标准的量子霍尔效应的量子序数移动了1/2,而双层石墨烯的量子霍尔效应相对于标准的量子霍尔效应丢失了量子序数为0的第一个平台。
在凝聚态物理领域,材料的电学性能常用薛定谔方程描述。而石墨烯的电子与蜂窝状晶体周期势的相互作用产生了一种准粒子,A.Qaiumzadeht等根据GW近似值计算了石墨烯在无序状态下在朗道费米子液体内的准粒子特性,即零质量的狄拉克-费米子(mass less Dirac Fermions),具有类似于光子的特性,在低能区域适合于采用含有有效光速(vF=106m/s)的(2+1)维狄拉克方程来精确描述。因此,石墨烯的出现为相对论量子力学现象的研究提供了一种重要的手段。
在石墨烯的电学性能研究中发现了多种新奇的物理现象,包括两种新型的量子霍尔效应(整数量子霍尔效应和分数量子霍尔效应),零载流子浓度极限下的最小量子电导率,量子干涉效应的强烈抑制及石墨烯p-n结界面的电流汇聚特性等,石墨烯表现出异常的整数量子霍尔行为,其霍尔电导=2e2/h,6e2/h,l0e2/h…为量子电导的奇数倍,且可以在室温下观测到。这个行为已被科学家解释为"电子在石墨烯里遵守相对论量子力学,没有静质量(massless electron)"。2007年,先后3篇文章声称在石墨烯的p-n或p-n-p结中观察到了分数量子霍尔行为。理论物理学家已经解释了这一现象。
石墨烯的合成方法主要有微机械分离法、取向附生法、化学分散法、加热SiC法等。
最普通的是微机械分离法,直接将石墨烯薄片从较大的晶体上剪裁下来。2004年,K.S.Novoselov,A.K.Geim等人通过使用简单的胶带解理体石墨,轻松地获得了单层自由状态的Graphene。Novoselov等利用胶带将石墨逐渐撕薄,在得到的小片石墨薄层的边缘出现单层、双层、三层等Graphene薄片,采用传统光刻工艺,可以将Graphene分离,得到自由状态的Graphene (见下图)。目前,在大部分有关Graphene的研究中,使用的样品是采用此类方法制备。

Graphene薄膜( a)光学显微镜下观测到的大尺度的 Graphene薄片;( b)在薄片边缘的 AFM图像, 2μm ×2μm; ( c)单层Graphene的 AFM图像,深棕色为 SiO2 基底,棕红色为单层 Graphene
取向附生法是利用生长基质原子结构"种"出石墨烯,首先让碳原子在1150℃下渗入钌,然后冷却到850℃后,之前吸收的大量碳原子就会浮到钌表面,镜片形状的单层的碳原子"孤岛"布满了整个基质表面,最终它们可长成完整的一层石墨烯。采用这种方法生产的石墨烯厚度不均匀,且石墨烯和基质之间的黏合会影响碳层的特性。
化学分散法是将氧化石墨与水以1mg/ml的比例混合,用超声波振荡至溶液清晰无颗粒状物质,加入适量肼在100℃回流24h,产生黑色颗粒状沉淀,过滤、烘干即得石墨烯。
加热SiC法是通过加热单晶SiC衬底脱除Si,在表面上分解出石墨烯片层。具体过程是:将经氢气刻蚀处理得到的样品在高真空下或气氛下加热,表层硅原子升华,碳原子重构生成石墨烯。该法被人们认为是实现石墨烯在集成电路中应用的最有希望的途径之一。在SiC衬底表面上生长的石墨烯有很多优势。其中就衬底而言,SiC是宽禁带半导体,可以是很好的半绝缘衬底,SiC衬底热导率高,散热好。经过几十年的研究和发展,SiC已经被广泛应用于电子学、MEMS等领域。作为一个被人们广泛研究并应用的材料,人们对它已经有比较完善的了解,并发展了相关的半导体加工工艺,因此在SiC表面上生长的石墨烯可比较容易地实现半导体器件应用。与其他方法相比,在SiC衬底表面上生长的石墨烯在很多方面具有更高的质量,这种材料非常的平,其主要形貌由下面的SiC衬底的台阶决定。SiC衬底上生长的石墨烯可以在整个晶片上利用传统的光刻和微纳米加工技术进行器件或电路的刻蚀,可直接利用已有的SiC生产工艺实现大规模生产,因而在微纳电子器件和大规模集成逻辑电路领域有着重要的应用前景,SiC上生长的晶圆级石墨烯是目前为止最有希望取代晶体硅的材料。
石墨烯由于以下四个方面的原因而引起人们的兴趣:
(1) Graphene中无质量的相对论性准粒子(狄拉克费密子)由狄拉克方程描述,在凝聚态物理与量子电动力学之间架起一座桥梁;
(2)两种新的量子霍尔效应、室温弹道输运、弱局域化、电声子相互作用等,为基础物理的研究提供模型;
(3)其他石墨类材料(0维巴基球、1维碳纳米管、3维体石墨)的性质来源于2维的Graphene,因此Graphene的研究不仅可以对以上材料特性给出补充性的解释,反过来又可以借鉴以上材料研究结果来发展Graphene;
(4)优异的电学、磁学等性质,使得Graphene将在纳米电子学、自旋电子学等领域得到广泛应用
本文为MWRF.NET编辑整理,未经允许不得转载,如需转载请联系market#mwrf.net(#换成@)

