- 易迪拓培训,专注于微波、射频、天线设计工程师的培养
PCB高频布线工艺和选材
近年来在无线通信、光纤通信、高速数据网络产品不断推出,信息处理高 速化、无线模拟前端模块化,这些对数字信号处理技术、IC工艺、微波PCB设 计提出新的要求,另外对PCB板材和PCB工艺提出了更高要求。
如商用无线通信要求使用低成本的板材、稳定的介电常数(εr 变化误差在 ±1-2%间)、低的介电损耗(0.005 以下)。具体到手机的PCB 板材,还需要有 多层层压、PCB 加工工艺简易、成品板可靠性高、体积小、集成度高、成本低 等特点。为了挑战日益激烈的市场竞争,电子工程师必须在材料性能、成本、加 工工艺难易及成品板的可靠性间采取折衷。
目前可供选用的板材很多,有代表性的常用板材有:环氧树脂玻璃布层压板 FR4、多脂氟乙烯PTFE、聚四氟乙烯玻璃布F4、改性环氧树脂FR4等。特殊板 材如:卫星微波收发电路用到蓝宝石基材和陶瓷基材;微波电路基材GX系列、 RO3000 系列、RO4000 系列、TL 系列、TP-1/2 系列、F4B-1/2 系列。它们使用 的场合不同,如FR4用于1GHz以下混合信号电路、多脂氟乙烯PTFE 多用于多 层高频电路板、聚四氟乙烯玻璃布纤维F4 用于微波电路双面板、改性环氧树脂 FR4 用于家用电器高频头(500MHz 以下)。由于FR4 板材易加工、成本低、便 于层压,所以得到广泛应用。
下面我们从微带传输线特性、多层板层压工艺、板材参数性能比较等多个方 面分析,给出了对于特殊应用的PCB板材选取方案,总结了高频信号PCB设计 要点,供广大电子工程师参考。
1微带传输线传输特性
板材的性能指标包括有介电常数εr、损耗因子(介质损耗角正切)tgδ、表面光洁度、表面导体导电率、抗剥强度、热涨系数、抗弯强度等。其中介电常数εr、损耗因子是主要参数。
高速数据信号或高频信号传输常用到微带线(Microstrip Line),由附着在介质基片两边的导带和导体接地板构成,且导带一部分暴露在空气中,信号在介质基片和空气这两种介质中传播引起传输相速不等会产生辐射分量、如果合理选用微带尺寸这种分量很小。

图一 基片结构示意
如图一基片结构所示,铜皮厚t 一般很小,在0.5OZ(17μm、0.7mil)到1 OZ (35μm、1.35mil),导带特性有基片介电常数εr、线宽W、板厚d决定。
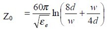
(1)微带传输线特性阻抗
微带传输线的特性阻抗Z0计算如下: 当w/d ≤1,微带传输线的特性阻抗Z0表示为:

当 w/d ≥1,微带传输线的特性阻抗Z0表示为:

其中εe叫有效介电常数,是把两种介质对微带特性阻抗的贡献等效为一种假 想的均匀介质。

图二说明了Z0和W/d、εr间的关系,W/d愈大Z0愈低、εr愈大Z0愈低。

图 二 Z0和W/d、εr间的关系
以板厚1.68mm(顶层厚0.3mm)的FR4/S1139为例,给出50欧姆/75欧姆微带 传输线线宽参数,见表一。

表一50欧姆/75欧姆微带传输线线宽参数
同样在六层板和八层板微带传输线设计中如果已知微带线的介质厚度d,根 据W/d 值可以计算出微带传输线线宽W。
(2)微带传输线损耗
微带传输线损耗由三个因素决定:半开放性引起的辐射(这种损耗很小); 介质热损耗αd(板材原因);高频趋肤效应引起的导体损耗αc。导体损耗是主要 的,导体损耗αc与W/h(h为基片厚度)成反比,也与光洁度有关。当W/h一定, 介质损耗与损耗因子和频率成正比。
(3)微带色散特性
当频率高到微带尺寸相对λ/4 或λ/2 足够大时,将出现严重色散特性还增 加了辐射损耗。如果固定在某个频率,在此频率下色散效应可不考虑。阻抗越低、 基片越厚、εr越高,微带色散越严重,或板材确定后,频率愈高色散愈严重。
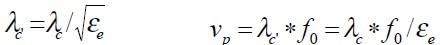
(4)信号在介质中的传输波长和相速

λc为实际在自由空间中传播波长。由此可见εe越高波长减短,信号在传输线 中的相速降低。由相速和传输线长可得传播时延t=Vp*L。
2 带状线传输特性
微带传输线在介质基片和空气两种媒质中传输,带状线在同一媒质中传输,有边缘电容。其传输特性阻抗、损耗、传播波长与介质材料的关系同微带传输线相似,与W/b,t/b有关,与微带传输线不同的是t 对传输特性阻抗的影响较大。图三为带状线传输示意。1.6mm厚、八层PCB 板、FR4 板材的PCB单板,其50 欧姆/75 欧姆带状输线线宽参数见表二。

图三带状线传输特性示意


表二50欧姆/75欧姆带状线传输线线宽参数
3 PCB板层压工艺及分层要求
PCB 板多层层压板总厚度和层数等参数受到板材特性限制。特殊板材一般可 提供的不同厚度的板材品种有限,因而设计者在PCB设计过程中必须靠虑板材特 性参数、PCB加工工艺的限制。
FR4 板材有各种厚度,适用于多层层压的板材品种齐全,表四以FR4 板材为 例给出一种多层板层压结构和板材厚度分配参数,以供PCB设计工程师参考。

表三FR4层压板结构参数
六层板、完成板厚度为1.6mm,其层压结构如图四所示。

图四六层板层压结构
4 常用板材性能参数比较
由上所述,板材对PCB 设计和加工影响最大的参数主要是介电常数和损耗 因子。对于多层板设计,板材选取还需考虑加工冲孔、层压性能。下面是 FR4/PTFE/F4/S1139/RO4350等几种板材的参数说明。

表 三 板材主要参数性能比较
由以上传输线特性阻抗、损耗、传播波长分析和板材比较,产品设计须 考虑成本,市场因素。因此建议在PCB设计中,设计者选取板材考虑如下关键 因素:
(1)信号工作频率不同对板材要求不同。
(2)工作在1GHz 以下的PCB 可以选用FR4,成本低、多层压制板工艺成 熟。如信号入出阻抗较低(50欧姆),在布线时需要严格考虑传输线特性阻抗和线间耦合,缺点是不同厂家以及不同批生产的FR4 板材掺杂不同,介电常数不同 (4.2-5.4)且不稳定。
(3)工作在622Mb/s以上的光纤通信产品和1G以上3GHz以下的小信号微 波收发信机,可以选用改性环氧树脂材料如S1139,由于其介电常数在10GHz 时比较稳定、成本较低、多层压制板工艺与FR4 相同。如622Mb/s 数据复用分 路、时钟提取、小信号放大、光收发信机等处建议采用此类板材,以便于制作多 层板且板材成本略高于FR4(高4分/cm2左右),缺点是基材厚度没有FR4品种 齐全。或者,采用RO4000 系列如RO4350,但目前国内一般用的是RO4350 双 面板。缺点是:这两种板材不同板厚品种数量不齐全,由于板厚尺寸要求,不便 于制作多层印制板。如RO4350,板材厂家生产的规格有10mil/20mil/30mil/60mil 等四种板厚,而目前国内进口品种更少,因此限制了层压板设计。
(4)3GHz以下的大信号微波电路如功率放大器和低噪声放大器建议选用类 似RO4350 的双面板材,RO4350 介电常数相当稳定、损耗因子较低、耐热特性 好、加工工艺与FR4相当。其板材成本略高于FR4(高6分/cm2左右)。
(5)10GHz 以上的微波电路如功率放大器、低噪声放大器、上下变频器等 对板材要求更高,建议采用性能相当于F4的双面板材。
(6)无线手机多层板PCB 板材要求板材介电常数稳定度、损耗因子较低、 成本较低、介质屏蔽要求高,建议选用性能类似PTFE(美国/欧洲等多用)的板 材,或FR4和高频板组合粘接组成低成本、高性能层压板。

图五典型射频/数字多层板结构
典型射频/数字多层板结构,基于RO4350 板材的层压板,其可能的带状线和 微带传输线结构见图五。
5 高频板PCB工艺
根据以上对传输线特性介绍,进一步可以从线宽、过孔、线间串扰、屏蔽等
四个方面说明高频PCB设计需要注意的细节地方。
(1)传输线线宽
传输线线宽设计基于阻抗匹配理论。

图六阻抗匹配
当入出阻抗以及传输线阻抗匹配时,系统输出功率最大(信号总功率最小), 入出反射最小。对于微波电路,阻抗匹配设计还需要考虑器件的工作点。信号线 过孔会引起阻抗传输特性变化,TTL、CMOS 逻辑信号线特性阻抗高,这种 影响不计。但在50 欧姆等低阻抗、高频电路这种影响需要考虑。一般要求信号 线没有过孔。
(2)传输线线间串扰
当两根平行微带线间距很小时产生偶合,引起彼此线间串扰并且影响传输线 特性阻抗。对于50欧姆和75欧姆高频电路尤其需要注意,并在电路设计上采取 措施。实际电路设计中还用到这种偶合特性,如手机发射功率测量和功率控制就 是一例。下面的分析对高频电路和ECL 高速数据(时钟)线有效,对微小信号 电路(如精密运算放大电路)有参考价值。

图七传输线线间串扰 设线间偶合度为C,C的大小与εr、W/d、S、平行线长L有关。间距S 愈小, 偶合愈强;L愈长、偶合愈强。为了增加感性认识,举例:利用这种特性做成的 50 欧姆定向偶合器。如1.97GHz PCS 频端基站功率放大器,其中d=30 mil、 εr=3.48:
10dB定向偶合器PCB尺寸:S=5mil,l=920mil,W=53mil
20dB定向偶合器PCB尺寸:S=35mil,l=920mil,W=62mil
为了减小信号线间串扰,建议
A、高频或高速数据平行信号线间距离S是线宽的一倍以上。
B、尽量减少信号线间平行的长度。
C、高频小信号、微弱信号避开电源和逻辑信号线等强干扰源。
(3)接地过孔电磁分析。
无论IC器件管脚接地还是其它阻容器件接地,在高频电路中都要求接地过孔 尽可能地靠近管脚,其理论依据是:高频信号接地线通路以理想传输线终端接地等效,其驻波状态如图八所示。

图八驻波状态图
由于接地线很短,接地传输线相当于一个感性阻抗(n-pH 量级),同时接地 过孔也近似相当于一个感性阻抗,这影响了对高频信号滤波功效。这是接地过孔 尽可能地靠近管脚的原因。为了减小传输线感性负载,微波电路要求接地管脚的 过孔多于一个,相当于在低频电路中增加接地面电流能力,保证各接地点均为等 0电平。
(4)电源滤波。
TTL、CMOS电路为了减少信号逻辑对电源的影响(过冲),在靠近电源管脚 处加滤波电容。但在高频、微波电路中仅仅采取这种措施还不够。下面以制造工 艺为例说明高频信号对电源的干扰。

图九高频信号对电源产生高频干扰的方式

这两种方式的高频信号均对电源产生高频干扰,并影响其它功能电路。除 了电源管脚加滤波电容外,还需要串联电感的抑制高频干扰。串联电感的选取与 工作频率有关。依据是如果电源脚过滤1M以上的高频干扰,其中C=0.1uF,则选取 L=1uH 电感。在外加电源的集电极开路信号管脚加电感时请慎重,因为此 时的电感相当于一个匹配用的电感。
(5)屏蔽
在微小信号和高频信号的PCB设计中需采取屏蔽措施以减少大信号(如逻辑 电平)干扰或减少高频信号的电磁辐射。如:
A、数字、模拟低频(小于30MHz)小信号PCB 设计中,除了在数字地和 模拟地分割外,还需对小信号布线区铺地,地与信号线间隔大于线宽。
B、数字、模拟高频小信号PCB 设计中,还需在高频部分加屏蔽罩或铺地过 孔隔离措施。
C、高频大信号PCB 设计中,高频部分需以独立的功能模块设计并加屏蔽盒
以减少高频信号对外的辐射。如光纤155M、622M、2Gb/s的收发模块。 多层PCB布板(诺基亚6110),双面放器件,手机PCB设计如图十所示。

图十手机PCB设计示例
6 板材选取举例
以我们设计调试的高频(微波)PCB为例说明板材选取。
(1)2.4GHz扩频数字微波中继板材选取
其结构包括2M数字接口、20M扩频解扩、70M中频调制解调板。我们采用 FR4 板材,四层PCB板,大面积铺地,高频模拟部分电源采用电感扼流圈与数字部分隔离。 2.4GHz射频收发信机采用F4双面板,收发分别用金属盒屏蔽,电源入端滤波。
(2)1.9GHz射频收发信机
其中,功率放大器采用PTFE板材,双面PCB板;射频收发信机采用PTFE板材,四层PCB板。都是采用大面积铺地,功能模块屏蔽罩隔离措施。
(3)140MHz中频收发信机
顶层用0.3mm的S1139板材,大面积铺地,过孔隔离。
(4)70MHz中频收发信机
采用FR4 板材,四层PCB 板。大面积铺地,功能模块隔离带用一串过孔隔 离。
(5)30W功率放大器
采用RO4350 板材,双面PCB 板。大面积铺地,间距约束大于等于50 欧姆 线宽,用金属盒屏蔽,电源入端滤波。
(6)2000MHz微波频率源
采用0.8mm厚的S1139板材,双面PCB板。
无线领域的器件涉及广泛,应用较为复杂,尤其是当前无线通信市场竞争激 烈,产品的价格和面市时间越来越成为竞争焦点,因此,电子工程师的PCB 设 计不能单纯考虑技术的先进性,必须从多方面折中考虑,平衡技术先进性、价格 优势和缩短产品上市时间等关键因素,提高产品的竞争力。
如何成为一名优秀的射频工程师,敬请关注: 射频工程师养成培训
上一篇:说说高频微波印制板和铝基板
下一篇:高频PCB板布线规则

