- 易迪拓培训,专注于微波、射频、天线设计工程师的培养
微波集成电路特定长度并联传输线的滤波特性
| 微波集成电路特定长度并联传输线的滤波特性 王安国 林杞楠
Wang Anguo,Lin Qinan Abstract: The filtering properties of parallel transmission lines with two types of specified length are analyzed in this paper.The lowpass filter and broadband bandpass filter with fine characteristics can be composed of it.Its configuration is simple,so employing it in MIC′s modules is suitable.
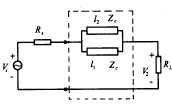
于是,如图1所示特性阻抗同为Zc,长度分别为L1和L2的并联传输线,其Y参数为:
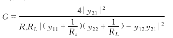
源阻抗和负载阻抗均为实数的二端口网络,其转换功率增益表达式如下:
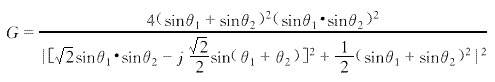
设Rs=RL,并取Zc=2RL,可得到并联传输线的转换功率增益表达式为:
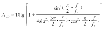
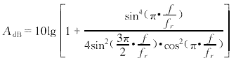
令θ1+θ2=2φ2 θ2-θ1=2φ1 (4) 经过推导化简,并写成衰减,则得:
依据传输线的长度通过式(5)即可计算并联传输线的衰减特性.
传输线长l1和l2一旦确定,根据φ与θ的关系,式(5)即可直接表示为f/fr的函数. 1.Ⅰ型单元电路
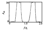
由式(7)可知:(f/fr)=n(n=0,1,2,…),AdB=0;(f/fr)=n+(1/2)和(f/fr)=(2n+1)±(1/3),AdB=∞.衰减特性AdB与f/fr的关系以2为周期重复.在(f/fr)=0~2之间,(f/fr)=(1/2)~(2/3)和(f/fr)=(4/3)~(3/2)为阻带,最小衰减为13.6dB.衰减特性曲线对称于(f/fr)=1. 2.Ⅱ型单元电路
由上式可见:(f/fr)=2n(n=0,1,2,…),A
式(9a),(9b)代入式(2),并将条件Rs=RL和Zc=2RL代入,经过推导化简,可得到其衰减表达式:
由式(1a)、(1b)及(4)可导得两个相同单元电路级联网络的Y参数为: 式(10)与(5)比较可见,式(10)只是在对数中第二项增加了一个因子(4cos2φ2)/(cos2φ1). 1.两个Ⅰ型电路级联网络 二、特定长度并联传输线(SLPTL)单元电路 特性阻抗为Zc,长度为l的传输线(电长度为θ)的Y参数为:提要 本文分析了两种特定长度并联传输线的滤波特性.由它们可构成性能良好的低通滤波器和宽带带通滤波器.它们结构简单,适用于MIC(微波集成电路)组件中. 关键词:微波集成电路,并联传输线,滤波特性Filtering Properties of Parallel Transmission Lines with Specified Length for MIC |
| 图2 两个Ⅰ型单元电路级联网络衰减特性
表1 2.两个Ⅱ型单元电路级联网络 Ⅱ型单元电路φ1=(π/2).(f/fr),φ2=(3π/2).(f/fr),同样由因子(cos2φ2/cos2φ1)可知,当(f/fr)=2n±(1/3),也出现了2阶零点.衰减特性如图3所示.阻带最小衰减为22dB.要利用它的通带,相对来说阻带不够宽.但是将它与Ⅰ型单元电路级联,或与参考频率相差一倍的另两个Ⅱ型单元电路级联,可以构成性能良好的低通与带通网络.四、低通及带通滤波网络的构成 1.Ⅰ型与Ⅱ型单元电路级联 根据以上分析,将Ⅰ型与Ⅱ型单元电路级联起来,则Ⅰ型单元电路在(f/fr)=(2/3)~(4/3)的通带落入Ⅱ型单元电路的第一阻带内,而Ⅰ型单元电路的第一、第二阻带又限制了Ⅱ型单元电路的通带.这样就扩展了阻带,因而既可作为低通滤波网络,也可作为带通网络. 2.两种Ⅱ型单元电路级联 根据Ⅱ型单元电路衰减特性的周期性可知,若取fr1和fr2=2fr1分别为两种Ⅱ型单元电路的参考频率,则第一种电路的第一、第三通带落入第二种电路的阻带内,而第一种电路的阻带正好限制第二种电路的通带范围.因此它们可以级联成为性能优良的微波滤波网络. 几种网络形式的分析结果列表如下.网络形式:(1)为2个Ⅱ型与2个Ⅰ型级联;(2)为3个Ⅱ型与2个Ⅰ型级联;(3)为两种Ⅱ型各2个级联;(4)为两种Ⅱ型各3个级联.Ap表示通带最大衰减;As表示阻带最小衰减.BWL、BWB分别表示低通及带通3dB带宽. |
| 网络 形式 | 参考频率 (GHz) | Ap (dB) | As (dB) | BWL(GHz) | BWb(GHz) |
| (1) | fr=12 | 0.64 | 23.48 | 0~4.46 | 19.54~28.46 |
| (2) | fr=12 | 0.68 | 38.13 | 0~4.51 | 19.49~28.51 |
| (3) | fr1=6 fr2=12 | 0.03 | 21.7 | 0~3.00 | 21.0~27.0 |
| (4) | fr1=6 fr2=12 | 0.11 | 35.41 | 0~2.91 | 21.09~26.91 |
| 网络形式(1)的结构可如图4所示,其衰减特性示于图5.具有类似边带衰减陡度的低通及带通滤波器,若通过低通原型设计,按1dB波纹切比雪夫滤波器考虑,所需阶数n>5.因对称负载,需取n=7.略作比较,图4结构作为低通滤波器,纵向尺寸约为0.56λgL(低通边界频率处微带线波长),尺寸比高、低阻抗线法设计的略大,但避免了后者在高、低阻抗差异大时实现的困难;与应用矩形元件[5]或开、短路短截线实现的滤波器尺寸差不多,却可获得较宽的相邻阻带.作为带通滤波器时,纵向尺寸约为2.5λgB(带通中心频率处微带线波长),而半波长平行耦合线滤波器为2λgB,但前者相对带宽达37%,而后者一般小于25%. |

| 图4 Ⅰ型与Ⅱ型单元电路级联结构级联网络衰减特性 图5 Ⅰ型和Ⅱ型单元电路级联网络衰减特性图6 两种Ⅱ型单元电路频率偏差的影响 五、级联网络各单元电路频率偏差的影响 1998年3月收到,1998年10月修改定稿.
网络形式(3)的衰减特性示于图6.作为带通,纵向尺寸为6λgB尺寸较大.但是作为低通,纵向尺寸为3λgL/4,其特点是相邻阻带宽度为边界频率的5.5倍.
参考文献 |
如何成为一名优秀的射频工程师,敬请关注: 射频工程师养成培训
上一篇:微波激励CO2激光器调谐调配的研究
下一篇:变电站增加微波塔后的防雷措施

(1a)
(1b)
(2)
(3)
(5)
(7)
(8)
(9a)
(9b)
(10)



