- 易迪拓培训,专注于微波、射频、天线设计工程师的培养
基于S参数对射频开关模型进行高频验证
S参数简介
S (散射)参数用于表征使用匹配阻抗的电气网络。这里的散射是电流或电压在传输线路中断情况下所受影响的方式。利用. S参数 可以将一个器件看作一个具有输入和相应输出的"黑匣子",这样就可以进行系统建模而不必关心其实际结构的复杂细节。
当 今集成电路的带宽不断提高,因而必须在宽频率范围内表征其性能。传统的低频参数,如电阻、电容和增益等,可能与频率有关,因此可能无法全面描述IC在目标 频率的性能。此外,要在整个频率范围内表征一个复杂IC的每个参数可能是无法实现的,而使用S参数的系统级表征则可以提供更好的数据。
可以 使用一个简单的RF继电器来演示高频模型验证技术。如图1所示,可以将RF继电器看作一个三端口器件:一个输入端口、一个输出端口和一个用于开关电路的控 制端口。如果器件性能与控制端无关,一旦设定后,就可以将继电器简化为一个双端口器件。因此,可以通过观察输入端和输出端的行为来全面表征该器件。

图1. RF继电器模型
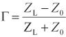
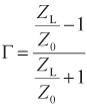
要理解S参数的概念,必须知道一些传输线理论。与大家熟悉的直流理论相似,在高频时,最大传输功率与电源的阻抗和负载的阻抗有关。来自一个阻抗为ZS,的电源的电压、电流和功率,沿着一条阻抗为 Z0, 的传输线路,以波的形式行进到阻抗为 ZL的负载。如果 ZL = Z0, 则全部功率都会从电源传输到负载。如果 ZL ≠ Z0, 则某些功率会从负载反射回电源,不会发生最大功率传输。入射波和反射波之间的关系通过反射系数Γ来表示,它是一个复数,包含关于信号的幅度和相位信息。
如果 Z0 和 ZL 完全匹配,则不会发生反射,Γ = 0。如果 ZL i开路或短路,则Γ = 1,表示完全不匹配,所有功率都反射回 ZS。大多数无源系统中,ZL不与Z0, 完全相等,因此0 < Γ < 1。要使Γ大于1,系统必须包含一个增益元件,但RF继电器示例将不考虑这一情况。反射系数可以表示为相关阻抗的函数,因此Γ可以通过下式计算:
(1) →
(2)
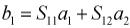
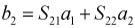
假设传输线路为一个双端口网络,如图2所示。在这种表示方法中,可以看出,每个行进波都由两部分组成。从双端口器件的输出端流到负载的总行进波部分, b2, 实际上是由双端口器件的输出端反射的一部分 a2 和透射器件的一部分 a1,组成。反之,从器件输入端流回电源的总行进波 b1 则是由输入端反射的一部分 a1 和返回器件的一部分a2组成

图2. S参数模型
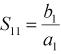
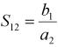
根据以上的说明,可以利用S参数列出用来确定反射波值的公式。反射波和发射波计算公式分别如式3和式4所示。
(3)
(4)
如果ZS = Z0 (双端口输入的阻抗),则不会发生反射, a1 = 0。 如果 ZL = Z0(双端口输出的阻抗),则不会发生反射,a2 = 0。因此,我们可以根据匹配条件定义S参数,如下所示:
(5)
(6)
(7)
(8)
其中:
S11 = 输入反射系数
S12 = 反向透射系数
S21 = 正向透射系数
S22 = 反向反射系数
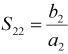
通过这些公式可以完整描述任何双端口系统,正向和反向增益分别用S21和S12, 来表征,正向和反向反射功率分别用S11 和 S22来表征。
要在实际系统中求解上述参数,ZS, Z0, 和 ZL必须匹配。对于大多数系统,这很容易在宽频率范围内实现。
设计和测量传输线路阻抗
为确保双端口系统具有匹配的阻抗,必须测量 ZS, Z0, 和 ZL. 多数RF系统工作在50 Ω环境下。 ZS 和 ZL一般受所用矢量网络分析仪 (VNA)的类型限制,但可以设计 Z0 使之与VNA阻抗匹配。
传输线路设计
传输线路的阻抗由线路上的电感和电容的比值设置。图3所示为一个简单的传输线路模型。

图3. 传输线路的集总元件模型
利用计算目标频率时的复阻抗的公式,确定获得特定阻抗所需的 L 和 C的值。调整 L 和 C 的方式取决于传输线路模型的类型,最常用的模型是微带线和共平面波导.模型。利用物理参数,例如从走线到地层的距离、走线宽度和PCB基板介电常数等,可 以平衡电感和电容,从而提供所需的阻抗。设计传输线路阻抗的最简单方法是使用阻抗设计程序,此类程序有很多。
测量阻抗
设 计并生产出传输线路后,必须测量其阻抗,以验证设计和实施无误。一种测量阻抗的方法是使用 时域反射 TDR测量可以反映PCB走线的信号完整度。TDR沿着信号线发送一个快速脉冲,并记录反射情况,然后利用反射信息计算距离信号源特定长度处的路径阻抗。 利用阻抗信息可以找到信号路径中的开路或短路,或者分析特定点的传输线路阻抗。
TDR的工作原理是:对于一个不匹配的系统,在信号路径上的 不同点,反射会与信号源相加或相减(相长 和相消 干涉). 如果系统(本例中为传输线路)匹配50 Ω,则信号路径上不会发生发射,信号保持不变。然而,如果信号遇到开路,反射将与信号相加,使之加倍;如果信号遇到短路,反射将通过相减与之抵消。
如果信号遇到一个端接电阻,其值稍高于正确的匹配阻抗,则在TDR响应中会看到一个凸起;若端接电阻值稍低于匹配阻抗,则在TDR响应中会出现一个凹陷。对于容性或感性端接,将看到相似的响应,因为电容在高频时短路,电感在高频时开路。
在所有影响TDR响应精度的因素中,最重要的一个是沿信号路径发送的TDR脉冲的上升时间。脉冲的上升时间越快,则TDR可以分辨的特征越小。
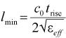
根据TDR设备设定的上升时间,系统可以检测的两个不连续点之间的最短空间距离为:
(9)
其中:
lmin = 从信号源到不连续点的最短空间距离
c0 = 光在真空中的传播速度
trise = 系统的上升时间
εeff = 波在其中行进的介质的有效介电常数
若是检测相对较长的传输线路,20 ps到30 ps的上升时间即足够;但若要检测集成电路器件的阻抗,则需要比这快得多的上升时间。
记录TDR阻抗测量结果有助于解决传输线路设计的各种问题,如错误的阻抗、连接器结点引起的不连续以及焊接相关问题等。
精确记录S参数
一旦完成PCB和系统的设计与制造,就必须在设定的功率和一系列频率下利用VNA记录下S参数;VNA应经过校准,确保记录的精确性。校准技术的选择取决于多种因素,如目标频率范围和待测器件(DUT)所需的 参考平面等。
校准技术
图4显示了双端口系统的完整12项误差模型及其系统性影响和误差源。测量频率范围会影响校准选择:频率越高,则校准误差越大。随着更多误差项变得显著,必须更换校准技术以适应高频影响。

图4. 完整的双端口12项误差模型
一种广为采用的VNA校准技术是SOLT(短路、开路、负载、透射)校准,也称为TOSM(透射、开路、短路、匹配)校准。它很容易实现,只需要一组已知的 标准元件,并在正向和反向两种条件下进行测量。标准元件可以随同VNA一起购买,或者从其他制造商购买。对标准元件进行测量后,就可以确定实测响应与已知 响应的差异,从而计算系统性误差。
SOLT校准将VNA测量的参考平面定位于校准期间所用同轴电缆的端部。SOLT校准的缺点是:参考平面之间的任何互连,包括SMA连接器和PCB走线等,都会影响测量;随着测量频率提高,这些会变成更大的误差源。SOLT校准只能消除图4中显示的6个误差项,但它能为低频测量提供精确的结果,并具有容易实施的优点。
另一种有用的VNA校准技术是TRL(透射、反射、线路)校准。该技术仅基于短传输线路的特征阻抗。利用两条传输线路彼此相差较短长度的两组双端口测量结果 及两组反射测量结果,就可以确定完整的12项误差模型。可以在DUT的PCB上设计TRL校准套件,以便利用该校准技术消除传输线路设计和互连引起的误 差,并将测量的参考平面从同轴电缆移动到DUT引脚。
以上两种校准技术各有长处,但TRL可以消除更多误差源,因而能够为高频测量提供更高 的精度。然而,TRL需要精确的传输线路设计和目标频率下的精确TRL标准元件,因此更难以实施。SOLT的实施则相对简单,因为大多数VNA都带有可以 在宽频率范围内使用的SOLT标准套件。
PCB设计和实现
为了正确校准VNA,适当的PCB设计至关重要。TRL等技术可以补偿PCB设计的误差,但无法完全消除误差。例如,设计采用TRL校准的PCB时,S21(如RF继电器的插入损耗等)的值必须很低,为了精确测量S参数,需要考虑透射标准的回损(S11, S22) 回损是指阻抗不匹配导致反射回信号源的输入功率。无论PCB走线的设计多么好,总是存在一定程度的不匹配。大多数PCB制造商只能保证?5%的阻抗匹配精 度,甚至达到这一精度也是勉为其难。这种回损会导致VNA指示的插入损耗大于实际存在的插入损耗,因为VNA"认为"它向DUT发送了比实际发送量更大的 功率。
随着要求的插入损耗水平的降低,将有必要减少透射标准贡献给校准的回损量。而测量频率越高,就越难以做到这一点。
要减少TRL设计的校准标准的回损,有几点需要特别注意。首先,传输线路设计非常重要,需要与PCB制造商密切协调,确保使用正确的设计、材料和 工艺来实现所需的阻抗与频率曲线。连接器件的选择至关重要,必须能够在相关范围内满意地工作。选定连接器件后,还有必要确保连接器与PCB之间的结点设计良好,如若不然,它可能会破坏同轴电缆与PCB传输线路之间所需的50 Ω阻抗,导致系统回损增大。许多连接器制造商都会提供高频连接器的正确布局布线图纸,以及预设计的传输线路设计和PCB堆叠。找到一家能按此设计生产的 PCB制造商可以大大简化PCB设计工作。
其次需要考虑PCB的装配连接器与PCB传输线路之间的结点至关重要,因此连接器的焊接会对过渡产生重大影响。连接不良或未对齐的连接器会破坏电感和电容之间的微妙平衡,从而影响结点的阻抗。图5是一个焊接不良的连接器结点示例。

图5. 连接不良的SMA
如果设计程序没有考虑阻焊膜涂层的介电常数,则它也可能会对传输线路的阻抗产生不利影响。在低频PCB中,这不是一个大问题,但随着频率提高,阻焊膜可能会带来麻烦。
为了确保透射总线的回损是可接受的,有必要利用VNA测量回损。因为系统的参考平面是从连接器到连接器,所以SOLT校准应当足以测量透射走线。一旦确定透射走线的回损性能,就可以通过在走线上执行TDR来监视缺陷。TDR会显示系统与目标阻抗偏差最大的区域。
在 TDR曲线上,应当可以标出系统中对偏差贡献最大的具体部分。图6所示为一条传输线路走线及其对应的TDR曲线。可以在TDR曲线上定位某些部分的阻抗, 从而明白哪些部分造成了最大的回损。从图中可以看出,SMA与传输线路之间的结点偏离50 Ω,并且传输线路本身的阻抗也不是很接近50 Ω。为了改善该PCB的性能,需要采取上面所说的一些措施。

图6. PCB与TDR曲线
使用S参数
在某一频率范围内表征一个DUT时,S参数可以提供许多好处。除了显示某一频率时的增益、损耗或阻抗匹配以外,还可以用Y参数(导纳参数)等其它形式替换S 参数,以便计算电容等物理参数。Y参数与S参数的唯一区别在于:前者是在目标引脚短路(0 Ω)情况下导出的(公式5到8),而后者则是在匹配50 Ω端接阻抗情况下导出的。可以对Y参数进行实际测量,但它比S参数更难以记录,因为在宽频率范围内造成真正的短路非常困难。由于宽带50 Ω匹配更容易做到,因此更好的方法是记录S参数,然后将S参数转换成Y参数。大部分现代RF软件包都可以实现这一点。
计算物理参数
下 面举一个利用S参数来计算目标频率范围内电容的例子,考虑图1所示的RF继电器。当继电器开路(即, 断开),时,为了计算继电器到地的电容,首先必须将S参数记录转换为Y参数,也就是将50 Ω环境下的数据转换为短路端接情况下的数据。从继电器的物理结构可以明显看出,当输出端口接地并且开关断开时,至地的电容可以通过检查Y11参数而得知,Y11 衡量送回信号源的功率量。当开关断开时,所有功率都应被反射回信号源,但实际上,某些功率会到达接地(Y参数定义的要求)的输出端口,该功率通过电容传输到地。因此,将Y11参数的虚部除以2πf便得到目标频率时RF继电器到地的电容。
若要计算RF继电器的电感,可以使用类似的方法,但此时需要用Z(阻抗)参数代替Y参数。Z参数与S参数和Y参数相似,不过它不是使用阻抗匹配或短路,而是使用开路来定义端接。略加考虑便可将此方法应用于所有器件,以计算多种不同的物理参数。
匹配网络
S参数的另一个应用是匹配网络的设计。许多应用要求阻抗匹配以确保在某一频率实现最佳的功率传输。利用S参数,可以测量器件的输入和输出阻抗,然后可以在史密斯图上显示S参数,并设计适当的匹配网络。
为客户提供模型
如上所述,由于S参数广泛适用,因此可以利用S参数文件向用户提供线性电路的输入输出信息,并完整描述宽频率范围内器件的特性,而无需披露复杂或者专有的设计。客户可以按照与上面所述类似的方法,利用S参数在其系统中构建器件模型。
结束语
S参数是创建和验证宽带宽的高频模型的有用工具。一旦记录下来,便可以利用S参数计算许多其它电路特性,以及创建匹配网络。然而,设计测量系统时,必须考虑一些必要的注意事项,其中最重要的是校准方法的选择和PCB设计。通过采取本文所述的措施,可以避免某些潜在的问题。
如何成为一名优秀的射频工程师,敬请关注: 射频工程师养成培训
上一篇:DMR数字集群关键技术的应用研究
下一篇:中兴通讯选择博通公司的小型蜂窝基带处理器

