- 易迪拓培训,专注于微波、射频、天线设计工程师的培养
一种突发OFDM传输系统的设计
摘要:第四代移动通信系统要求有更高的数据传输速率、更好的传输质量且同时能很好地克服多径衰落,消除高速数据传输时严重的符号间干扰并大大提高频谱利用率,正交频分复用OFDM技术作为一种强有力的数字调制方式,以其突出的优点成为4G移动通信系统的核心技术。在多径时延、信息速率以及带宽等特定背景条件确定的情况下,根据工程经验设计了一种适应该背景条件的突发OFDM传输系统,并且确定予载波数量、符号速率、OFDM帧结构等总体参数。最后给出了该OFDM传输系统设计结构示意图。
关键词:OFDM;卷积编码;多普勒频移;定时估计
0 引言
国外对OFDM技术的研究已有近50年的历史。最初无线OFDM传输系统是用在军用无线高频通信链路中,随着数字信号处理(DSP)和超大规模集成电路(VLSI)技术的发展,OFDM技术获得了长足的进步并广泛应用于社会生活的各个方面。其应用主要有:
(1)广泛应用于音频和视频传输中,如欧洲数字音频广播(DAB)、数字视频广播(DVB)以及日本的综合业务数字广播(ISDB)等;
(2)非对称数字用户链路(ADSL);
(3)无线局域网标准IEEE 802.11a、欧洲电信标准协会(ETSI)推出的局域网标准Hyperlan2等;
(4)无线城域网标准IEEE 802.16a;
(5)已具雏形的4G蜂窝系统(大唐TD-LTE)。
本文根据特定的背景需求,设计了一种突发OFDM系统。该特定的移动传输的背景需求如下:
(1)多径最大时延扩展τ为20μs;
(2)信息速率Rb为5~36 Mb/s;
(3)带宽W<20 MHz;
(4)接收机运动速度小于80 km/h;
(5)采用突发传输模式;
(6)射频中心频率在5 GHz。
多径最大时延扩展反映了信道的恶劣程度。从以上参数可以看出,该背景需求的信道是相当恶劣的。若采用单载波传输,由于多径时延太大,接收端均衡器将过于复杂。在这种情况下,根据前面分析,采用OFDM的调制方式具有很大的优势。
1 总体参数设计
根据背景需求和工程经验,按以下步骤进行总体参数设计:
1.1 确定保护间隔
OFDM符号保护间隔的时间一般要大于最大时延扩展。因为最大时延扩展为20μs,取保护间隔即循环前缀时间长度为:Tg=25μs。
1.2 选择符号周期、有效符号长度、子载波间隔
考虑到保护间隔的引入带来的信息传输效率的损失和系统实现的复杂程度及系统的峰值平均功率比因素,在实际系统中,选择符号长度Ts至少是保护间隔的5倍,即:Ts≥125μs。
有效信息符号长度至少为保护间隔的4倍,即:Tu≥100μs。
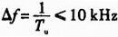
子载波间隔为有效信息符号长度Tu的倒数,即:
。
1.3 确定子载波数量
利用要求的比特速率除以每个子信道中的比特速率来确定。每个子信道中传输的比特速率由调制类型、编码速率以及符号速率来确定。
若在发射端采用卷积编码(码率固定为r为1/2,暂不考虑删节编码)和QPSK调制或QAM调制方式(M为调制阶数),可得到一个OFDM符号有效子载波数应该为:
![]()
根据公式(1),若Ts=125 μs,Rb取最大值36 Mb/s,采用64QAM调制(M为6),可计算出Nd为1 500个子载波。因为OFDM符号子载波数N要满足为2的幂次,便于FFT计算,这里取FFT点数N为2 048。为了便于系统时钟控制,根据经验取有效子载波数Nd为1 665(,其中129为插入导频数Np),其余OFDM符号分配虚载波,数值为0。因此一个OFDM符号占用带宽和其中的有效子载波占用带宽Ws是相同的,即Ws=Nd×△f= 16.65 MHz,小于要求的20 MHz。
若Ts=125μs,若Rb取最小值为5 Mb/s,采用64QAM调制会增加系统复杂程度,考虑用QPSK调制方式代替。此时M=2,由公式(1)可计算得到Nd等于625。为了便于系统时钟控制,根据经验取有效子载波数Nd为833(
,其中65为插入导频数Np),OFDM符号中其余非有效子载波处载波值为0。因此一个OFDM符号占用带宽为8.33 MHz,远小于要求的20 MHz。
当5 Mb/s
1.4 确定符号速率
当子载波个数确定后,根据OFDM符号的有效信息符号长度持续时间,可以确定符号速率为Fs,即:Fs=N/Tu。
若N=1 024,Tu=100μs,可以得到符号速率Fs等于10.24 MB/s。
1.5 确定过采样倍数、成型因子、中频频率、接收机A/D采样率
发端的基带信号先进行过采样,然后进行成型滤波,最后送到数模器件(D/A)进行上变频。过采样因子根据经验设为4,即符号速率为10.24 MB/s的基带信号进行过采样后符号速率变为40.96 MB/s。
经过过采样后的数据要送入成型滤波模块,根据文献可知,成型因子越大,码间干扰越小,但是OFDM带外泄漏越严重,对接收端滤波器要求越高;成型因子越小,码间干扰越大,但是OFDM带外泄漏越少,对接收端滤波器要求越低。所以,要根据实际情况,折中选择成型因子。在子载波数为N=1 024,选择不同成型因子的情况下,OFDM频谱仿真图如图2所示。
从图2中可以看出,成型因子为0.2是较为合适的,这是因为在子载波分配过程中,在833个有效数据子载波两端补0,从一定程度上抵消了由于成型滤波过程中带来的频谱泄漏的影响,所以此时OFDM频谱的带外频谱泄漏基本上和成型因子为0时相同,信号带宽变为10.24x(1+ 0.2)=12.288 MHz。确定中频为70 MHz,接收端A/D前带通采样速率为81.92 MHz。
1.6 确定OFDM帧结构
根据接收机的移动速度,可以确定信道的多普勒频移。相干时间与多普勒频移成反比,从而确定了相干时间。根据相干时间可以确定OFDM符号帧长。
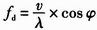
因为接收机移动速度v<80 km/h,且射频频率为5 GHz,可计算出波长λ=0.06 m,多普勒频移fd为:
。因此,最大多普勒频移fdm≈370 Hz。相干时间Tc为最大多普勒频移的倒数:Tc=1/fmd,即Tc≈2.7 ms。OFDM传输系统采用突发传输模式,每一次突发传送一个OFDM帧,每帧包含m个符号数。由于后续信道估计算法基于相干时间之内信道基本不变化,必须满足的条件是:
m·Ts
根据系统接收端采用的定时估计和频偏估计算法,设计OFDM帧前导序列。若前导序列占用OFDM符号数太多,系统信息传输效率太低;若前导序列占用OFDM符号数太少,定时和频偏估计的效果达不到系统要求。综合考虑后决定采用OFDM帧结构中前两个符号为前导序列。OFDM帧结构示意图如图3所示。第一个前导序列由10个相同的短前导序列构成,每一个短前导序列是一个随机产生的复序列,在OFDM传输系统中用来做信号到达的检测、自动增益控制、定时估计以及时域粗频偏估计;第二个前导序列用来进行整数倍频偏估计以及信道估计。
经过以上步骤的设计,OFDM移动传输系统总体参数基本确定,总结如下:
系统发射频率为5 GHz;中频为70 MHz;系统可用带宽为20 MHz;系统实际占用带宽为12.288 MHz;系统工作模式为突发传送;接收机移动速度小于80km;基带信息速率为6.144 Mb/s;基带符号速率为10.24 MHz;调制方式为QPSK;FFT点数为1 024;有效子载波个数为833;导频数量为65;OFDM符号长度为125μs;循环前缀长度为25μs;子载波间隔为10 kHz;OFDM帧长为21;前导序列为2。
2 总体结构设计
在本文背景需求下,信道较为恶劣,采用突发传送模式且每一个OFDM帧较短,只有21个符号,所以设计的OFDM接收机结构无定时和频偏估计的反馈环存在。虽然从结构上看,本文所采用的发射接收系统比采用定时和频偏估计反馈环的系统更为简单,但是系统运算量却增加了(由于前馈系统比反馈系统需要更大的运算量),实际上增加了对所使用硬件设备性能的要求。OFDM传输系统结构示意图如图4所示。
在设计第一阶段,不进行射频的设计。在硬件实现过程中发射端将不包括射频器件,接收端将不包括模拟下变频器件以及无线信道,数据流经过发射端的D/A后通过有线连接到接收端的A/D。
成熟的OFDM发射机系统应当要考虑如何抑制峰均比的影响,但现有的抑制峰均比算法除限幅外,硬件实现都过于复杂,在第一阶段将不考虑系统峰均比的影响,所以图4中发射端没有抑制峰均比的模块。
3 结语
本文根据特定的背景需求和工程实践经验,设计了一种突发传输的OFDM传输系统。从设计过程可以发现,该系统完全可以满足背景需求,具有很高的可行性。
如何成为一名优秀的射频工程师,敬请关注: 射频工程师养成培训
上一篇:基于叠加训练序列光OFDM系统帧同步算法FPGA实现
下一篇:Digi的无线路由器在城市交通管理的远程数据传输应用

