- 易迪拓培训,专注于微波、射频、天线设计工程师的培养
降低手机的"嗡嗡"噪声
作者: Mike Score,Nicholas Holland
概要:在便携式无线通信设备中,音频功率放大器容易因环境条件恶劣而出现噪声。典型的 BTL 音频功率放大器有一些局限性。如果噪声耦合到放大器输入、输出以及电源,就会造成"咔咔"和"嗡嗡"的噪声。与此相比,全差动放大器在此环境条件下表现优异。由于全差动反馈以及消除 RF 校正影响的功能,它可最小化手机的"嗡嗡"噪声。
手机、个人数字助理 (PDA) 和其它便携式通信设备常常在条件恶劣而且噪声相当大的环境下工作。这推动了新式音频功率放大器 (PA) 的发展,这些 PA 提供了全差动的架构,实现了良好的射频 (RF)、共模以及电源纹波抑制。本文将讨论单端架构、典型桥接负载以及全差动的音频放大器,此外还将探讨噪声对电源和 RF 校正的影响。
业界使用三种主要类型的音频功率放大器架构:单端、典型的桥接负载以及全差动的放大器。单端 (SE) 音频功率放大器一般是所有架构中最简单的一种。不过,在手机中我们一般不用其驱动酷炫铃声或免提操作模式等应用的扬声器。SE 放大器一般都用于驱动耳机,用于欣赏 MP3格式的音乐或游戏音频。
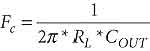
在典型的单电源单端配置中,需要用一个输出耦合电容器 (COUT) 阻止放大器输出处的 DC 偏置,这就避免了负载中的 DC 电流。输出耦合电容器和负载阻抗形成高通滤波器,它由以下方程式决定:
![]() |
其中的 RL 代表扬声器阻抗。
从性能的角度看,主要的弱点在于典型的小负载阻抗(这里是 4Ω 至 8Ω 的扬声器)将驱动低频转角频率 (FC) 升高。因此需要较大值的 COUT 将低频传送到扬声器中。我们不妨设想这样一种情况,假设扬声器负载为 8Ω,如使用 68μF 的 COUT,则所有低于 292Hz 的频率将衰减。
为了用单端放大器取消输出电容器 (COUT),我们需要分离 (split) 电源轨。该解决方案对无线环境不太合适。这要求手机设计人员为负轨添加 DC 至 DC 转换器,这就提高了该解决方案的成本以及大小。此外,SE 放大器打开、关闭、进入关机状态或从关机状态恢复时总会发出"噗噗"声。当扬声器的电压发生一定(电压脉冲)变化时,这种不良噪声就会出现。这与上升时间、下降时间以及电压脉冲宽度有关。
大多数人对 20Hz 至 20kHz 的声音有反应。因此,如果脉冲长度低于 50ms,那么耳朵就不会有反应。此时频率将大于 20kHz,也就不会听到"噗噗"声。如果脉冲的上升时间多于 50ms,此时的频率将低于 20Hz,耳朵也听不到"噗噗"声。如果脉冲宽度大于 20ms,就会听到这出了名的"噗噗"声,这时脉冲的上升时间不到 50ms。由于单端放大器只有立即关闭才能产生脉冲,因此放大器的斜波上升必须大于 50ms。该速度对大多数智能电话应用来说太慢了。
在单端单电源情况下,"噗噗"声也会出现,因为输出 DC 阻碍电容器保存电荷。当放大器输出处发生变化时,其电压以及电容器上的原有电压都会加到扬声器上,结果就会发出"噗噗"声。
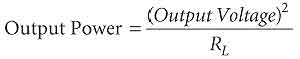
最后,当谈到音频放大器时,向负载供电是关键问题。在单电源情况下使用 SE 放大器时,扬声器的一端通过输出电容器连接于放大器的输出;另一端接地。这样,扬声器上的电势只能在VDD 与接地之间。我们可用以下方程式计算到负载的输出功率:
![]() |
最大峰至峰输出电压是电源电压。我们假定正弦波输出,则最大 RMS 输出电压为:
![]() |
最大理论输出功率为:
![]() |
稍后我们将说明从相同的电源和负载阻抗,桥接式负载 (BTL) 和全差动放大器可输出的功率为SE 放大器的四倍。
目前的手机和便携式通信设备均采用一般类型的音频放大器架构:BTL 输出配置的单端输入。BTL 放大器包括两个单端放大器,驱动负载的两端。第一个放大器 (A) 设置增益,而第二个放大器 (B) 则作为单位增益逆变器。该 BTL 放大器的增益由下式确定:
![]() |
由于单位增益反相放大器 (B) 的缘故,增益翻番。这种差动驱动配置的主要好处之一就在于到负载的功率。有了到扬声器的差动驱动,一侧下降时另一侧就会上升,反之亦然。与参考接地的负载相比,这种特性能有效地使负载电压摆幅翻番。由于负载上的电压摆幅有效翻番,因此输出功率方程式变为:
![]() |
BTL 的最大理论输出功率为:
![]() |
与单电源单端音频功率放大器相比,扬声器上电压的翻番使得相同电源轨与负载阻抗的输出功率翻了两番。
还有一点需要考虑的就是旁路电容 (CBYPASS)。该电容是电路中最关键的元件。首先,CBYPASS 决定着放大器启动的速度。如果放大器斜波上升较慢,就可减小"噗噗"的噪声。CBYPASS 与高阻抗电阻分压器网络生成中间轨 (mid-rail),形成了 RC 时间常数。正如我们前面提到的那样,如果时间常数大于 50ms,就听不到"噗噗"声。
CBYPASS 的第二个功能就是降低电源生成的噪声。由于输出驱动信号的耦合,因此产生该噪声,它来自放大器内部的中间轨生成电路。该噪声作为降低的电源抑制比 (PSRR) 出现。在电源噪声较大的系统中,它可能会影响 THD + N。
与 SE 音频放大器相比,这种架构的优势在于相同电源轨实现的输出功率量。此外,还可去掉输出 DC 阻塞电容器。总而言之,扬声器两侧均偏置在 VDD/2 左右,这就消除了 DC 偏移。现在,低频性能只受限于输入网络和扬声器响应。
但是,这种类型的配置也有明显的不足。如果任何噪声耦合进单端输入,则将会出现在输出中,并被放大器增益放大。由于放大器 B 没有至输入的反馈,因此任何耦合至输出的高频噪声还会产生"咔咔"或"嗡嗡"声。这种现象称作 RF 校正。
全差动的放大器
目前许多手机、PDA、智能电话和新式无线设备都在用一种新型的音频功率放大器架构,这就是全差动音频放大器。全差动放大器增益由下式确定:
![]() |
全差动放大器具有差动的输入与输出。这些 PA 包括差动与共模反馈。差动反馈保证放大器输出差动电压,其等于差动输入乘以增益。外部增益设置电阻器作为反馈环路。
不管输入的共模电压为多少,共模反馈保证输出的共模电压偏置为 VDD/2 左右。该反馈是器件内在固有的。它用分压器和电容器产生了稳定的中间电源电压。为了确保一个输出不会先于另一个输出削减 (clip),输出偏置为 VDD/2。
全差动放大器除了有 BTL 放大器相对于 SE 放大器所具有的全部优势外,相对于典型的 BTL 放大器它还有三大优势。首先,不再需要输入偶合电容器。使用全差动放大器时,输入除了可偏置为中间电源外还可偏置为电压。所用的放大器必须具有良好的共模抑制比 (CMRR)。对 TPA6203A1 与 TPA2010D1 而言,放大器的输入可偏置为 0.5 V 至 VDD - 0.8V。但如果输入偏置到输入共模范围之外,则应采用输入耦合电容器。
第二,不再需要中间电源旁路电容 CBYPASS。中间电源的任何变动对正负极产生同样的影响,因此取消差动输出的旁路电容。取消旁路电容对 PSRR 略有影响,由于取消了额外的外部组件,因此该抑制比也还能接受。全差动放大器的最后一大优势就是它提高了 RF 的抗扰性。这一优势主要归功于良好的 CMRR 以及全差动架构。
为了得到负载输出功率,可使用与 BTL 放大器相同的计算方法。该放大器也是全差动的。请记住,扬声器一侧上升时另一侧下降,反之亦然。同样,与参考接地负载相比,这种情况也使负载上的电压摆幅翻番。BTL 的最大理论输出功率为:
![]() |
与 BTL 放大器类似,扬声器上电压的翻番使得相同电源轨和负载阻抗得到的输出功率翻了两番。与此前的放大器相比,这种类型架构的最大优势就在于噪声抗扰度。
音频功率放大器的三大噪声源为:
电源噪声
输入耦合的噪声
输出耦合的噪声
电源电压的变化通常都会导致放大器输出的小错误变化。PSRR 为抑制上述影响的能力,一般以分贝为单位。例如,对于 TPA6203A1 全差动音频功率放大器,PSRR 值在 3.6V 电压上频率为 217Hz 至 2kHz 时规定为 -87dB。采用 PSRR 的标准公式,输出电压可计算如下:
![]() |
对于电源轨上 500mV 的变化,差动输出电压的变化是 22μV。
在 TDMA 和 GSM 手机中,最严重的电源电压噪声来自 RF 级的开与关。GSM 电话的开关频率为 217Hz。当 RF 功率放大器接通时,从电源获得高电流,这时电源下降高达 500mV。PSRR 差的音频放大器将在扬声器产生大于 217Hz 的谐波"咔咔"噪声。
为了解频率为 217Hz 时电源电压下降 500mV 产生的影响,我们将测试三个全差动音频功率放大器:3.1W AB 类 TPA6211A1、1.25W AB 类 TPA6203A1 和 2.5W D 类 TPA2010D1。测试 TPA6203A1 和 TPA2010D1 的结果显示,由于全差动放大器的 PSRR,电源轨的变化对输出信号几乎没有影响。因此,这就不会造成扬声器发出 217Hz 的谐波"咔咔"噪声。
噪声耦合到单端输入放大器的输入时,主要的问题是噪声会被闭环增益放大,因而放大器输出将出现有害噪声。这种类型的放大器除了在放大器前过滤输入信号外,几乎没有抗噪能力。
相反,全差动放大器在抑制噪声方面表现很好。放大器只增加输入间的差异,因此将有效地忽略耦合至差动输入迹线的任何共模干扰。了解这种抗输入耦合噪声性能的最好方法就是看看CMRR:
![]() |
为了举例说明 CMRR 如何影响放大器的 AC 噪声抗扰度,我们不妨采用 TPA6203A1 1.25W 全差动 AB 类放大器。首先,我们用上面的 CMRR 方程式求出输出电压:
![]() |
TPA6203A1 在频率为 20Hz 至 20kHz 时的 CMRR 为 -74dB,增益为 1V/V。假定耦合至输入的共模噪声为每个输入 100mV,则传输到输出的噪声可用以下方程式计算得出:
![]() |
通过方程式计算,得出差动放大器输出上 20μV 的纹波。对于单端放大器而言,结果将是 100mV 乘以闭环增益。
采用 BTL 输出配置时,扬声器上最常听到的噪声是 RF 功率放大器在 217Hz 的开关噪声,通常听到的这种开关噪声为"咔咔"声或"嗡嗡"声。
在打开状态下,射频功率放大器发送数据至基站。在实验室中,测试人员在音频放大器 10 厘米外手持 GSM 电话,而后他们查看音频放大器输出上获得的信号。噪声像是方波门控的 RF 信号。
考察全带宽 (>20 MHz),我们发现信号在每个放大器输出上获得,不过这不会有影响。扬声器无法在这么高的频率上复制信号。不过,我们再来看看 BTL 架构带宽有限 (<20 MHz) 的情况,反相跟随器 (inverter follower)(BTL 放大器)设法对千兆赫信号作出响应,这使得输出(OUT-)以门控方波的速率下降(GSM 为 217Hz),这种下降又导致了扬声器发出"咔咔"或"嗡嗡"的噪声。
在上述测量中,噪声加到输出而不是输入上。在带宽有限情况下,OUT+ 相对恒定,因为输入 IN- 没有向 OUT+ 注入噪声。由于 OUT+ 是 OUT- 的输入,OUT- 有许多纹波。从 OUT+ 到 OUT- 的反相放大器设法对门控射频波形作出响应,但只能对低频作出响应。如果噪声注入到输入上,由于 CMRR 差,所以 OUT+ 的噪声更大。
我们在全差动放大器的输出也注入与典型 BTL 放大器相同的噪声。带宽有限时,全差动放大器无噪声,这是因为差动反馈到输入的缘故。这里,GSM 手机放在靠近 BTL 和全差动放大器输出处,我们采集了合成的波形。如果在输入加入噪声,则全差动放大器将会由其 CMRR 抑制噪声。与典型的 BTL 相比,全差动放大器显然对 RF 噪声有着最好的抗扰度。














