- 易迪拓培训,专注于微波、射频、天线设计工程师的培养
手机生产线电磁波能量吸收比(SAR)的控制程序
当前欧洲和美国都针对手机的辐射问题制定了相应的标准,而我国一直没有制定出标准来,随着我国手机用户的不断增加和大量的出口,制定相应的标准迫在眉睫。本文主要叙述了手机制造厂家控制生产线SAR的程序,结合了我公司和法国最大手机生产厂家SAGEM的经验,对手机生产厂家有一定的参考价值。
关于手机对人体的辐射SAR(Specific Absorption Rate,电磁波能量吸收比),美国和欧洲已经有了规定,美国标准为1.6 W/kg(1克),欧洲标准为2.0 W/kg(10克),而我国一直没有明确的规定,预计在今后的几年中(可能在2006年)对SAR作出明确的规定。本文主要介绍了手机生产线SAR的控制技术,可为手机制造厂家提供参考。
本文是一个针对手机制造工厂生产线SAR控制的文章,主要的目的是为了保证每个成品手机的SAR值都符合工厂内部或者标准(美国标准和欧洲标准)的要求。由于SAR与最大发射功率存在关联性,因此我们可以通过计算最大发射功率得出相应的SAR值。在生产线安装一套SAR的测试系统之前,我们必须保证测试的SAR值符合要求。因此,本文主要介绍这样一个程序:为生产线规定一个符合SAR要求的Tx Power最大值。
SAR的生产控制和Isar的计算
1.最坏SAR值的定义
最坏SAR值的情况是:手机停留在紧贴左右脸颊或者倾斜脸颊的位置,或者一个在GSM、DCS、PCS中的高信道或低信道中测试SAR值,这样测试的SAR值通常是最坏的。这些SAR值最坏的情况在手机射频评审期间,是由研发部门来进行定义的。
![]() |
图1:ISAR的定义流程。 |
我们在SAR值最坏情况下进行生产线射频测试台SAR值的估算,还应当增加数据采集过程,主要过程同做Tx Power测试和RSSI测试一样。
2.SAR值良好的手机
一个SAR值良好的手机(我们称为Golden Mobile),通常为每个射频测试台设置SAR的最大值(在最坏条件情况下),此过程相当于主板的JTAG校准和整机的音射频校准。最大SAR值通常也在用户手册中加以说明。
装配线生产的每个手机都要进行SAR的射频测试,同时比较他们的最大SAR值,画出Isar的曲线图。
我们使用专用Isar手机选择工具挑选Golden Mobile,Golden Mobile的Isar系数接近于所有手机的Isar平均值,或者有接近于如图所示的黄色线附近的趋势,如图1中在红色圆圈内的手机就可以称为Golden Mobile。
Isar的定义.
Isar的定义是:
为定义Isar需要,我们至少要从300个通过同一个射频测试台的手机中,挑选10个具有特殊代表性的手机。
定义程序如下:
在同一批的产品中随意挑选300个手机,在同一测试台上进行测试,记录他们的射频测试值;
使用SAR的专用数据采集分析工具按照以下方式,从3个部分中挑选出10个手机(Tx Power服从高斯分布):高斯分布左边的(Tx Power值低的)取3个,高斯分布中间的(Tx Power值中间的)取3个,高斯分布右边的(Tx Power 值高的)取4个。
我们对已经挑选出的10个手机,将由研发部门在屏蔽房内进行SAR和TRP(总辐射功率)的测试,测试是研发在评审期间进行定义的最坏条件情况下进行的。(注意:测试时每个手机必须安装与之匹配的电池,而且电池量必须满格。)
![]() |
图2:生产线SAR的控制流程。 |
每个手机的TRP、SAR值以及相对应的IMEI码、序列号将在专用Isar手机选择工具中记录下来,由它自动地在10个手机中选择Golden Mobile。
有关Golden Mobile的信息是:在最坏的信道上有良好的SAR测试值(在10g 或者 1g中),使用专用SAR数据采集分析工具通过对300个手机的重要数据采集而定义的Isar曲线,为用户手册计算SAR值做参考。
按照3sigma的原则为用户选择合适的SAR值范围。
生产线SAR的控制
在生产班组完成交接后或者我们需要做射频校准时,用Golden Mobile做SAR的校准来重新设置SAR值,具体流程如图2所示。
1.Isar的监控和SAR的监管
本阶段的主要目标是:确定影响Isar的不确定因素;当前产品的SAR值与初始SAR值是否相一致,例如:LCD、匹配天线、PCB、功率放大器、天线双工器等是否与当初的有变化,它们的任何变化都可能会导致当前SAR的变化。
Isar的监控和SAR的监管:对于每种机型(如:EC2005、AC2005等),每个星期我们都在包装线上任意挑选1个样品做SAR值测试实验,测试信道分别分布在GSM、DCS、PCS高、中、低的3个信道;编写系统报告,其中需要包括所采集的数据;检查Isar,确保在规定的范围内的+/- 15%;实验室也需承担Isar监控和SAR监管的职责。
2.不确定因素及在生产上的调整
生产线上SAR估算的不确定因素的原理:通过实验假设,有1个已知的手机,它的SAR值与Tx Power之间存在线性关系, Sarx = k*Px 。
在生产线的测试台上进行Tx Power测试,通过Tx Power与SAR对应关系,可以得到相应的SAR值。当然测试台是事先通过了SAR和Tx Power相关校准的。

Sarx:用测试法估算手机的SAR值
Px:在测试台中测得手机的Tx Power值
Pref:手机的参考功率等级
Sarref:在SAR测试台中测得参考手机的SAR值
引入SAR的引申概念:Isar,定义为

还有几个Isar的引申概念,需要测试Tx Power为基础:
在生产线的测试台中:

在屏蔽房中:

正在测试的批量手机可以通过与参考机的对比估算SAR值,参考机具有
特性。
我们必须估算不确定因素的量,Sarest = Isarref * Px 
来自测试方法上的不确定因素:
1. RF 功率测试:
RF功率(射频功率)测试的不确定因素,我们知道这样的测试是可以重复多次的,如在测试台上重复30次相同RF 功率测试,就会发生1(的偏差,这是我们需要考虑的。
2. SAR值的测试:
SAR值是从SAR测试台上测试得到的,最大的不确定因素由相应标准来定义。当然供应商提供的测试台存在着差异,比如测试台之间的差异、人形模型尺寸的差异、使用模拟体液的差异等。如果测试台始终是相同的,就可以进行局部的估算。
选择参考手机方法的不确定因素:
SAR的引申概念Isar,具有小范围的离散性,能随着手机逐个测试而发生变化,测试台的最后测试值也将会变化。
参考机的选择方法:
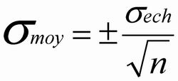
N个手机在SAR测试台上测得n个的SAR值(Sarx),与在射频测试台上测得的功率值(Px),有n个"Isarbi"的对应关系, 
通过计算Isar的平均值得到Isaravg和Isarref

Isarref : Isar参考值紧靠Isaravg
Isaravg : 平均Isar
(isar : 样品的标准偏差
n : 批量样品的数量
对于射频测试台上测试的每个手机,Isar是通过考虑全部的不确定因素,利用公式Eq25来估算的
RF功率测试的不确定因素和Isarbi的定义:
SAR可以通过以下公式来估算:
Sarest = Isarbi * Px 
ln(Sarest) = ln(Isarbi) +ln(Px)
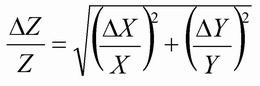
导数计算:
正态分布给出的标准偏差


对于Isar的不确定因素可以分为两个方面:
由于选择参考手机而引起的不确定因素:

,对于n个手机的平均Isar值,不确定性可以减少
倍,如下所示:


由于SAR的测试而引起的不确定因素:
Isaravg值也包括由SAR测试和RF射频功率测试引起的不确定因素。

RF功率测试
的不确定因素,是由于用参考手机在射频测试台上多次测试(如30次)引起的。
SAR测试
的不确定因素,是由于供应商提供的测试台引起的。
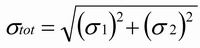
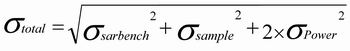
总的不确定因素:
例如表1的情况:


生产线测试台的调整:
我们需要一个Tx Power和SAR值有对比关系的测试台,作为测试生产线SAR值的基础,由于我们是通过测试Tx Power值得到SAR值,因此对于生产线的测试台而言Tx Power的测试就更显得更加关键。
为了保证生产线测试台Tx Power和SAR的对比关系,必须保证每个测试台的性能满足要求。周期性的评介测试台性能是必要的,任何工厂都需要强制规定在批量生产期间,周期性评介测试台的性能。除此之外还应该考虑每个波段上Tx/Rx的RF的衰减问题,生产线的每个测试台在校准时考虑的相应衰减必须保证在规定范围之内。
生产线的调整
安装在生产线的测试台,需要保障他们在硬件上严格的一致性。
良好的生产线校准是这样的,在操作模式下校准1个测试台,在同一时刻所有的测试台都能完成自动校准,生产线的校准至少每天实行。完成生产线测试台的校准之后,还需核查每个测试台在每个信道上的Tx Power的平均值,所有的值尽量靠近理想值,存在差异的应该在规定的范围之内。假如测试台有异常情况,应该及时从生产线脱离分析其原因。
因为机械或者性能等原因,而需要修整的测试台,必须在重新安装到生产线之前依据前面生产线调整和生产线测试台的挑战的要求再次执行。
本文总结
综上所述控制生产线的SAR可以分为3个阶段。
第一阶段:SAR的估算和Isar的初始设定
生产线上SAR的估算和监控基于每个手机的Tx Power 测试:
Isar:假设在生产线上的射频测试台测试的Tx Power值与在SAR测试台上测试的SAR值有关联性。

第二阶段:Isar的监控
本阶段的主要目标是确定ISAR的不确定因素。
第三阶段:SAR的监管
本阶段SAR的不确定因素依然存在(事实上,手机的拓扑相同)。
参考文献
EN50361, Basic standard for the measurement of Specific Absorption Rate related to human exposure to electromagnetic fields from mobile phones (300 MHz - 3 GHz), CENELEC TC211 European standard, Bruxelles, June 2000.
IEEE Standard 1528-200X, "Recommended Practice for Determining the Peak Spatial-Averaged Specific Absorption Rate (SAR) in<> the Human Body Due to Wireless Communication Devices: Experimental Techniques".
Draft IEC 6269-1
FCC oet65
FCC oet65c
作者:杨的
质量产品经理
宁波波导公司
Email:de.yang@nbbse.com



