- 易迪拓培训,专注于微波、射频、天线设计工程师的培养
手机接收通道的噪声系数测试方法
针对手机等接收机整机噪声系数测试问题,该文章提出两种简单实用的方法,并分别讨论其优缺点,一种方法是用单独频谱仪进行测试,精度较低;另一种方法是借助噪声测试仪的噪声源来测试,利用冷热负载测试噪声系数的原理,能够得到比较精确的测量结果。
图1是MAXIM公司TD-SCDMA手机射频单元参考设计的接收电路,该通道电压增益大于100dB,与基带单元接口为模拟I/Q信号,我们需要测量该通道的噪声系数。采用现有的噪声测试仪表是HP8970B,该仪表所能测量的最低频率为10MHz,而TD-SCDMA基带I/Q信号最高有用频率成份为640KHz,显然该仪表不能满足我们的测量需求。下面我们将介绍两种测试方案,并讨论其测试精度,最后给出实际测试数据以做对比。
![]() |
图1:MAXIM公司TD-SCDMA |
利用频谱仪直接测试
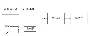
利用频谱仪直接测量噪声系数的仪器连接如图2所示,其中点频信号源用于整个通道增益的校准,衰减器有两个作用,一是起到改善前端匹配的作用;二是做通道增益校准使用,因接收机增益往往很高,大于100dB,而一些信号源不能输出非常弱的信号,配合该衰减器即能完成该功能。
测量步骤一:先利用信号源产生一个点频信号(一般我们感兴趣的是接收机小信号时的噪声系数,故此时点频信号电平应接近灵敏度电平),频点与本振信号错开一点,这样在基带I/Q端口可以得到一个点频信号,调节接收机通道增益使I/Q端点频信号幅度适中,测量接收机输入与输出端的点频信号大小可以求得这时的通道增益,记为G。
测量步骤二:接步骤一,关闭信号源,保持接收机所有设置不变,用频谱仪测量I/Q端口在刚才点频频点处的噪声功率谱密度,I端口记为Pncdensity(dBm/Hz), Q端口记为Pnsdensity(dBm/Hz),则接收通道噪声系数有下式给出:

上式中kb表示波尔兹曼常数,F是噪声系数真值,我们用NF表示噪声系数的对数值,NF=10lg(F), G表示整个通道增益,T1为当前热力学温度,T0等于290K。假定T1=T0,容易求得NF的显式表达式如下:

或者:

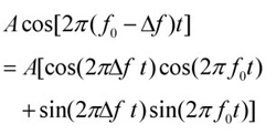
关于方程2与方程3的正确性,我们可以做如下简单推导。先考虑点频情况,设接收机输入端点频信号为:

接收机I/Q端口点频信号分别为:


![]() |
图2:利用频谱仪直接测量噪声系数。 |
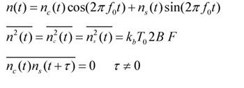
现在考虑噪声问题,为简化计算,在此设当前温度为290K,即定义噪声系数的标准温度。根据噪声系数的定义,我们可以将系统产生的噪声等效到输入端口,该噪声与资用噪声功率和应等于资用噪声功率的F倍。下面我们用一个窄带平稳高斯过程来描述这两部分噪声之和,设噪声带宽为2B,下面方程给出了该噪声的一些特性:

比较方程4与方程7,再参照方程5式与6式,我们可以得到接收机输出端的噪声表达式:
I端口:

Q端口:

结合方程8与方程7可以直接得到方程2,结合方程9与方程7可以直接得到方程3,注意I与Q端口噪声带宽为B,是射频噪声带宽的一半。图3比较形象地给出了噪声变换过程:
从图3还可以看到,在数值上,输出同相噪声功率谱密度与输入同相噪声谱密度除通道增益与噪声系数外,相差6dB,这说明输入同相噪声上下两边带是严格相关的;输出正交噪声谱密度与输入正交相噪声谱密度相比除通道增益与噪声系数外,同样也有6dB增益。
![]() |
图3:输入输出噪声功率及功率谱密度关系。 |
借助标准噪声源精确测试
这里介绍的方法即Y系数法,也称为冷热负载法,一般噪声系数测试仪表就采用该方法,但仪表有它自身的限制,如HP8970B所能测量的最低频率为10MHz,待测件最大增益80dB。我们这里采用通用频谱仪来检测待测件输出噪声大小,从而避开了噪声测试仪表在噪声检测上的限制,再根据Y系数法原理计算出待测件噪声系数。图4给出了该方法的仪器配置图:
测量步骤一:先将接收机接到点频信号源侧,利用信号源产生一个灵敏度电平的点频信号(因为我们通常感兴趣的是接收机小信号时的噪声系数),频点与本振信号错开一点,这样在基带I/Q端口可以得到一个点频信号。调节接收机通道增益使I/Q端点频信号幅度适中。
测量步骤二:接步骤一,保持接收机所有设置不变,将接收机接到噪声源一侧,噪声源置为冷态,设冷态噪声温度为T1,用频谱仪测量I端口噪声功率谱密度(I与Q有相同的性质,故此处仅提及I端口),记为Poc(dBm/Hz)。
测量步骤三:接步骤二,保持接收机设置不变,噪声源置为热态,设噪声温度为T2,用频谱仪测量I端口噪声功率谱密度,记为Poh(dBm/Hz)。
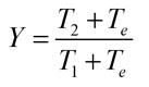
所谓Y系数法中的Y即测量步骤三与测量步骤二两测量值的比值:

设接收机等效噪声温度为Te。我们可以用冷态源噪声温度,热态源噪声温度,接收机等效噪声温度来表示系数Y,如下式:

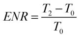
设噪声头超噪比为ENR,标准噪声温度为T0(290K),根据超噪比定义可得到下面等式:

根据噪声系数与等效噪声温度定义可以得到下式:

联立方程11、12和13,可以容易求得噪声系数关于ENR、Y、T1、T0的函数关系,其对数表达形式如下:

一般冷态噪声温度接近标准噪声温度,在对精度要求不高时,可以认为T1=T0,上式可以简化为:

上式中Y由方程10给出,是间接测量值,ENR由噪声头给出。根据该等式可以方便求出接收机噪声系数。
两种测试方法的优缺点比较
![]() |
图4:Y系数法仪器配置图。 |
利用方法一测试MAXIM公司TD-SCDMA手机接收通道噪声系数,先利用点频信号测量通道增益,输入点频信号为-105.6dBm,频点2015.95MHz,MAX2392的LNA与混频器置为高增益高线性状态,VGC电压调到2.63V,本振频点置为2015.8MHz,这时我们在I输出端测到-3.5dBm的150KHz点频信号,从而计算出整个通道增益为102.1dB。现在关掉输入的点频信号,利用频谱仪测量I端口在150KHz频点处噪声功率谱密度,我们用的频谱仪是RS公司FSEA,为使噪声测量结果精确,检波方式设为“SAMPLE”,然后再利用 “Maker Noise”功能测试。我们测到噪声功率谱密度为-63.5dBm/Hz。根据方程2可以容易计算出整个通道的噪声系数为:

利用方法二测试MAXIM公司TD-SCDMA手机接收通道噪声系数,接上面的测量,保持MAX2392工作状态不变。在上面测试中得到的I端口150KHz频点处噪声功率谱密度即为冷态噪声源时的噪声功率谱密度,现在仅需测热态时该频点处噪声功率谱密度。在此我们用的是Noise/Com 公司的NC346A噪声头,其在2G频点处超噪比ENR=5.91dB。利用与方法一中同样的测试方法,我们测到热态时在150KHz处噪声功率谱密度为-60.4dBm。根据方程10可以计算出Y系数为3.1dB,再根据方程15我们可以计算出整个通道的噪声系数为:

比较上面两种方法得到的测量结果,仅差0.3dB,测试结果是比较理想的。这两种方法中,第二种测试方法更精确一些,原因是频谱仪在测量噪声功率谱密度时可能会有误差,频谱仪的中频滤波器的信号带宽与噪声带宽一般不等,有的频谱仪会给出一个修正值,有的则没有,如我们没有考虑该修正值,或仪表在读数上未做修正,则我们测到的噪声功率谱密度就可能有1dB左右偏差,导致最终噪声系数1dB左右偏差。如按第二种方法测试,因为我们仅需知道冷热噪声源时功率谱密度比值,即便在冷热两种噪声源时测到的功率谱密度有偏差,其比值依然是正确的,从而提高了噪声的测量精度。
作者:王险峰
高级射频工程师
祁艳阳
高级射频工程师
MAXIM公司
如何成为一名优秀的射频工程师,敬请关注: 射频工程师养成培训
上一篇:利用A-GPS提高全球定位系统应用的性能
下一篇:HSDPA中的分组调度算法





