- 易迪拓培训,专注于微波、射频、天线设计工程师的培养
射频电缆计算公式一览表
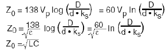
Impedance (ohms)

-----------------------------------------------------------------
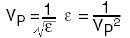
Velocity of Propagation and Dielectric Constant

-----------------------------------------------------------------
Time Delay (nS/foot)

-----------------------------------------------------------------
Capacitance (pF/foot)

-----------------------------------------------------------------
Inductance (uH/foot)

-----------------------------------------------------------------
Attenuation (dB/foot)

-----------------------------------------------------------------
Braid Factor

-----------------------------------------------------------------
Cutoff Frequency (GHz)

-----------------------------------------------------------------
Electrical Length (degrees)

-----------------------------------------------------------------
Phase Temperature Coefficient (ppm/Co)

-----------------------------------------------------------------
Phase Stability (degrees)

-----------------------------------------------------------------
Return Loss (dB)

-----------------------------------------------------------------
VSWR

-----------------------------------------------------------------
Reflection Coefficient

-----------------------------------------------------------------
Match Efficiency (%)

-----------------------------------------------------------------
Match Efficiency (%)

如何成为一名优秀的射频工程师,敬请关注: 射频工程师养成培训
上一篇:80GHz频段E-Band微波应用介绍
下一篇:X波段宽带微带阵列天线设计

