- 易迪拓培训,专注于微波、射频、天线设计工程师的培养
“形象图文+逼格公式”带你秒懂NFC天线与电路匹配
录入:edatop.com 点击:
关于NFC天线设计在网站上可以找到专门的论文,而天线电路匹配的测试及计算也有专门Application Note文档,但那是‘攻城狮’的菜。安特讯在这里只是为了让普通爱好NFC的‘滴’粉们对NFC天线及电路匹配有个形象的认识,提高逼格。
下面的这张图就是整个天线及相关电路的示意图。

天线:
如果你的应用环境好(周边没什么金属物),天线可能只会是简单的几个圈(如下图)。

如果你的应用环境差(周边有金属,且距离天线近),那么天线可能会这样(如下图)。

天线逼格公式:我们的天线有多薄、尺寸有多小、刷卡识别率多高、距离多远。
电路匹配:
我们的‘攻城狮’大多数的时间会在黄色区域不断调整容值以达到想要的频点。

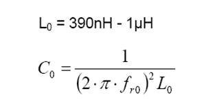
天线匹配逼格公式:

EMC滤波电路:
兰色区域则是安规测试时需要动到器件。

EMC滤波逼格公式:

也许你觉得太粗糙了,毁了心中‘女神’形象,那就用逼格的公式吧。(安特讯--J.W.Lau供稿)
NFC日报(微信号:nfcdaily)NFC产业第一微信公众平台。
NFC天线设计,13.56MHz RFID天线设计培训课程套装,让天线设计不再难
上一篇:工行与银联VISA合作 推亚洲首个HCE云支付信用卡
下一篇:Apple Pay新增24家银行和信用社支持 总数超200家


