- 易迪拓培训,专注于微波、射频、天线设计工程师的培养
超高频(UHF)RFID标签电路设计
工作在125或134kHz低频(LF)或者13.56MHz高频(HF)范围内的电感回路无源RFID系统,其工作距离仅限于大约1m的范围。UHF RFID系统工作在860~960MHz以及2.4GHz的工业科学医疗(ISM)频段。其具有更长的工作距离,对无源标签而言典型工作范围为3~10m。标签从阅读器的射频信号接收信息和工作能量。如果标签在阅读器的范围内,就会在标签的天线上感应出交变的射频电压。该电压经过整流后为标签提供直流(DC)电源电压。通过调制天线端口的阻抗来实现标签对阅读器的响应。这样一来,标签将信号反向散射给阅读器。
阅读器通过位速率范围在26.7至128kbps之间的双边带幅移键控(DSB-ASK)、单边带幅移键控(SSB-ASK)或者反相幅移键控(PR-ASK)调制来实现对射频载波的调制,将信息发送给一个或多个标签。采用脉冲间隔编码(PIE)格式来实现调制。此时,数据通过对载波在不同的时间间隔进行脉冲编码来表示0或1b,并将其发送给标签。通过频带分配和数据协议的标准化,EPC-Global最先通过统一世界范围内的不同系统来降低整体成本。这一行动将采用相对廉价的CMOS技术来抵消设计新的复杂IC所产生的高昂费用。
采用更新的工艺节点预计将减少芯片面积的20%。由于涉及到数量,降低系统成本的努力主要集中在无源标签的单位成本。其目标是将成本降低一个数量级,减少到每个标签仅几美分。
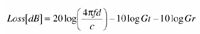
无源标签的调制不同于一般的射频通信方案,这是因为阅读器的信号还为标签供电。在无源反向散射系统中,距离是通过标签可以获得的辐射功率由前向链路(阅读器到标签)来决定的。新式的Gen-2标签的设计目标是将阅读距离最大化,并同时实现与该协议的兼容。距离方程(公式1)决定了理论距离,此时标签将接收到足够的电源来对阅读器做出响应。
![]() |
其中,EIRP=有效各向同性辐射功率、Ptag=标签天线输出所要求的功率、Gtag=标签天线增益、λ=射频载波的自由空间波长。
关闭阅读器电源减少了标签所获得的电源。由于该调制方案中信号在大部分时间处于其最大值,因此具有极大优势。然而这种调制效率极低。这导致相对宽的信道或低的数据速率。
每个EPC Class 1 Gen 2指标,阅读器传输的功率高达4W EIRP。在950MHz的载波频率下,信道损耗在3m距离处是36.9dB。那么,标签天线的功率是-0.88dBm。
![]() |
在这一少量的可用功率和低直流功率转换效率(整流器效率平均约为20%)下,CMOS标签电路一般工作在仅几微安电流的一伏特电压下。由于无源RFID标签必须具有低成本并节省功耗,将标签设计为采用相对简单的幅度调制(AM)技术来实现从阅读器接收信号。UHF RFID标签模拟前端包括了几个内部模拟子模块。该模拟前端实现了DC电源、接收信号检测/解调制和发送调制等全部的模拟处理。图1中的模块图表示了典型UHF RFID标签的模拟前端以及数字状态机。
![]() |
整流器通过天线将接收到的射频能量转换为DC电源,为所有的其他模块供电。接下来是作为电压调节器的稳压器,其限制并调整了由整流器产生的电压。复位子模块提供了复位信号,来表明经过整流的电压已经达到了可靠的和规定的水平。就其本身而言,包络检测器检测并解调制阅读器的数据信号,还产生数字解调信号。环路振荡器产生用于数字状态机的时钟。调制器通过改变天线端口的负载阻抗将调制信号调制到标签天线。所有模拟前端电路通过Ansoft的Nexxim电路仿真器采用Cadence Virtuoso设计环境以及TSMC 0.18μm标准CMOS工艺库进行仿真。
为了将足够低的输入电压转换达到可能满足CMOS电路工作的电压,图2中的整流器模块采用具有倍增级联单元的级联Dickson电压倍增电路。该设计基于采用二极管连接、最小栅长PMOS晶体管的四级电荷泵作为整流器。这些PMOS晶体管的衬底端被连接到栅和漏端(反向偏置),以此来减少有效的阈值电压。通过采用Nexxim的谐波平衡仿真进行优化,来获得该晶体管的尺寸和金属-绝缘层-金属(MIM)电容的值。整流器的输出直接提供给电压调节器。
![]() |
通过在稳压器电路之后采用电压限幅器来实现电压调节。该限幅器电路确保了电压调节器的输入电压水平低于3.3V晶体管的击穿电压。该电压调节器包括了启动和自偏置电路、带隙参考电路以及电压调节器。该稳压器的输出电压水平被设为1.25V,这将是数字电路以及其他模拟电路的电源电压。仿真表明稳压器的静态电流消耗小于200nA。当电荷泵电路产生的电源电压足够高时,复位信号变为“低”状态来初始化数字电路的状态机。为了避免错误触发,复位电路提供了必要的迟滞特性。
解调器和环路振荡器
解调器是由快速电荷泵、峰值检测器和比较器组成。快速电荷泵检测经过ASK调制的射频信号的包络。此后,包络由峰值检测器作进一步的处理后来获得其缓慢变化的均值,该峰值检测器是由二极管连接的MOSFET和电容形成的。然后,包络信号及其缓慢变化的部分相比较来产生数字格式的解调信号。该比较器如图3中所示,其被设计为轨到轨共模输入范围满足宽的标签工作范围。其迟滞输入—输出特性还使得其可以工作在噪声环境下。环路振荡器是按照Sundaresan等人报导的方式进行设计的。作为标签IC的时钟产生器,该设计提供了4MHz的额定振荡频率。其对工艺和温度的变化都不敏感。
![]() |







