- 易迪拓培训,专注于微波、射频、天线设计工程师的培养
射频识别系统中数字处理核心模块的研究
录入:edatop.com 点击:
0 引言
射频识别(RFID,radio frequency identification)技术是一种自动识别技术,从20世纪90年代开始逐步走向商业应用.与其他传统识别系统相比,射频识别系统具有非接触式识别的优点,在完成识别工作时无须人工干预,可识别高速运动物体并可同时识别多个射频卡,操作快捷方便.射频卡可以反复使用,且不易损坏,特别适用于各类管理系统的信息自动化采集。
射频识别系统至少应包括读写器和射频卡(或称电子标签)2部分.读写器和射频卡之间通过无线收发模块及天线(或感应线圈)实现无线双向通信,读写器通过天线以电磁场的形式向外发射能量,处于该电磁场中的(无源)射频卡接收到电磁场能量后被激活并向读写器发送信息数据,读写器对收到的数据进行校验、解码、编码等一系列操作之后,通过接口模块与计算机实现信息交互。
RFID技术在生产、零售、物流、交通等多领域潜在的巨大应用前景,近几年尤其是2003年以后引起了国内外的广泛关注.很多知名公司如SAP、微软、IBM等纷纷投入到RFID专用软硬件的研发中,这使得RFID技术在国外进展迅速并开始走向商用.国内在RFID技术研发上相对滞后很多且大都处于研发起步阶段,倍受国外RFID技术专利和标准壁垒的限制,因此,尽早制定标准以及加大力度研发自主知识产权的技术与产品在目前显得尤为重要。
目前,RFID技术研究的重点集中于频率干扰、多卡识别干扰、信息数据安全、识别距离以及运动物体对识别的影响等问题上.数字处理核心模块作为读写器的核心部分,与这些核心问题的解决息息相关,也是决定技术成果的知识产权归属的重要因素。因此,独立自主地研究和设计数字处理核心模块,包括防碰撞算法和数据加密纠错等关键技术的研究,具有很重要的现实意义。
1 随机推迟防碰撞算法
针对RFID系统的多卡识别干扰,随机推迟防碰撞(anti-collision)算法可以使读写器同时对处于天线识别区域内的多个射频卡进行多卡识别.该算法采用硬件方式或软件方式,或者二者相结合的方式应用于读写器的数字处理核心模块中.采用软件方式来实现防碰撞,使系统简化且易于修改,但在以单片机为主体的数字处理模块中,由于响应时间相对较长而使应用场合受限,而在以高速DSP为主体的字处理模块中,这种受限度将会有所降低。
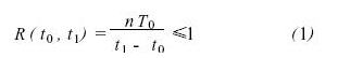
算法概述:RFID系统工作时,即使有多个射频卡同时在识别区域内,在某一时间片内也只能有1个射频卡和读写器通信,若定义信道占用率R(T0)为T0时长内平均占用信道的射频卡数量,则(RT0)≤1(T0为不发生碰撞时完成1次通信的时长).当碰撞发生时,对于n>1个同时申请信道的射频卡,算法提供信道的分配规则,并使信道占用率满足
该算法的状态转移图如图1所示.
状态S2:如有n(n≥1)个射频卡到达则分别申请占用信道。
状态S3:读写器收到申请后判断是否有碰撞发生。
状态S4:n=1不发生碰撞,射频卡占用信道至通信结束。
状态S5:n>1发生碰撞,读写器发给射频卡延时命令。
状态S6:射频卡按照算法延时等待后回到S2状态,重新申请信道。
状态S7:当射频卡的输入负载G大于某极限值时,碰撞次数急剧增加,系统吞吐量降低,进入不稳定状态.系统设计时应当避免超载状态S7。
计算机模拟实验和实际应用结果表明,该算法可以保证在发生碰撞时,系统迅速地将多个射频卡识别出来,达到了实用化程度。下面对该算法的平均响应时间和系统吞吐量进行数学分析。
很多情况下,电子标签任意2次到达的时间间隔Δt服从指数分布,其概率密度为
n>1时发生碰撞,令发生碰撞后所有争用信道的射频卡自行产生推迟时长kTA,其中k为射频卡时延随机因子,它是[0,K]内均匀分布的随机数,K为读写器设计给定的时限,k、K均为正整数.产生k的概率为
其中Pc表示到达的射频卡中能够成功完成通信的概率
当G≤(1+TA/T0)-1时,吞吐量随G的增大而上升,系统处于稳定状态,否则吞吐量随G的增大而急剧下降,系统在碰撞后将要根据算法产生时延因子k,由于0≤k≤K,碰撞后可能产生的时延在0到KTA之间.假设每个射频卡平均重发Nr次,则平均响应时间为
由上述的关系式可以得到平均响应时间τ和吞吐量S之间的关系曲线如图2所示.由图可见,S增大时,τ也增大。但当S过大时,系统的稳定性变差.
图2平均响应时间和吞吐量的关系曲线
本文根据射频识别通信系统AM调制抗噪声性能不强、数据量小、信道特性速率要求不高且发射功率受限等信道特性,提出了一种高效、实用的集加密纠错功能于一体的算法。
1)加密算法
设G是任意(n,k,2t+1)线形分组码的k×n阶生成矩阵,其中n为码长;k为信息组(明文)长;2t+1为码的最小距离.在GF(2)上找一个n×n阶置换矩阵P,设M是长为K的二进制明文,则加密算法描述为
Ek(M)=(MG+Z)P=MGP+ZP=C
式中,“+”为模2加,Z为二进制伪随机序列,G、P、Z由密钥决定,它们都是加密的,只有收、发双方已知.P为置换矩阵,因此也是一个满秩矩阵,存在逆阵P-1.
2)解密算法
当密文通过有扰信道传输到达接收端后,由于信道干扰,密文C成为R=C+E,E是信道错误图样,接收端收到R后,其解密算法如下:
①右乘P-1并模2加Z序列D1(R)=RP-1+Z=CP-1+EP-1+Z=MG+EP-1
②译码
D2(MG+EP-1)=M
3)算法说明
把信道错误图样A=(an-1an-2.a1a0)∈Vn(F2)中非零元素的个数称为向量A的Hamming权重,记为
由加密算法可以看出,该加密、纠错技术既有序列密码的伪随机密钥序列,又有不太大的分组加密算法,因此,它是将序列密码体制与分组密码体制相结合的密码体制,并且系统本身还具有较强的纠、检错能力。数据在信道中传输时,由于干扰的存在,不可避免地会产生随机错误和突发错误。作为差错控制用的纠错码,若要求同时纠正这2种错误,效果一般不理想。为此,可将它与交错码结合起来,利用交错码把长的突发错误分散开,离散成随机错误,最后按随机错误用线形分组码予以纠正,即按上述基本算法进行加密纠错编码后,再进行交错编码,这种算法可以适用于各种信道,既能纠随机错误,又能纠突发错误。
根据以上的算法理念,设计了可传输的加密与纠错相结合的通信系统结构如图3所示
数字处理核心模块主要负责完成基带信号处理并与主机进行通信.它主要由数字信号处理模块、编码模块、解码模块以及与主机通信的接口模块4部分组成.数字信号处理模块把从主机接收来的指令进行重新组合,装配成编码模块能够识别的指令,发送给编码模块;当射频卡响应指令返回数据时,数字信号处理模块把从解码模块接收到的数据进行组合,并进行CRC校验.若检验结果错误,则把错误信息报告主机,并请求或等待重发指令;若校验结果正确,则对数据进行一系列的处理操作,并与主机进行信息交互,报告相应的正确信息或等待主机进行下一步的操作指令。
数字处理核心模块对整个读写器系统是最为重要的一环,它在很大程度上决定着整个系统性能的优劣,鉴于这个原因以及需求复杂度上升的需要,有必要突破原先数字处理部分由单片机和可编程逻辑器件(CPLD)组成的设计方案,转而用具有高运算能力和高拓展性能的DSP芯片和CPLD来提升读写器的性能,这样不仅可以使RFID读写系统具备更高的运算处理能力以及更可靠的数据安全性能,而且可以提高系统的防碰撞性能并可同时识别更多的射频卡。
为确保所研制的RFID识别系统的性能逐步提升并保持较为先进的国内水平,确立下一步以数字处理核心模块的研究作为重点,研究和开发以DSP为主体的射频识别读写器(13.56MHz),拟定如下新一代研发计划。
①采用DSP芯片替代单片机,完成单片机的工作,并配合CPLD芯片实现防碰撞算法。
②使用一片CPLD代替原有的2个CPLD,完成编码、解码和差错控制工作。
③摒弃原电路设计采用的元器件的插装工艺,利用表贴技术开发RFID核心模块,以提高整个系统的组装密度,缩小产品体积,减轻重量,提高系统的可靠性和抗振能力。
④优化读写器性能,在不增大发射功率的前提下,增加读写距离。
图4是目前正在研发的新一代射频识别系统数字处理核心模块原理框图。
作为取得自主知识产权的重要因素,数字处理核心模块化的研究和设计是RFID技术应用研究的重心所在,围绕这个重心,本文讨论了在防碰撞算法、数据加密纠错技术以及模块化研发上取得的突破,应用结果表明,这些关键技术完全可以满足应用,且对RFID系统研发具有重要的借鉴意义。
射频识别(RFID,radio frequency identification)技术是一种自动识别技术,从20世纪90年代开始逐步走向商业应用.与其他传统识别系统相比,射频识别系统具有非接触式识别的优点,在完成识别工作时无须人工干预,可识别高速运动物体并可同时识别多个射频卡,操作快捷方便.射频卡可以反复使用,且不易损坏,特别适用于各类管理系统的信息自动化采集。
射频识别系统至少应包括读写器和射频卡(或称电子标签)2部分.读写器和射频卡之间通过无线收发模块及天线(或感应线圈)实现无线双向通信,读写器通过天线以电磁场的形式向外发射能量,处于该电磁场中的(无源)射频卡接收到电磁场能量后被激活并向读写器发送信息数据,读写器对收到的数据进行校验、解码、编码等一系列操作之后,通过接口模块与计算机实现信息交互。
RFID技术在生产、零售、物流、交通等多领域潜在的巨大应用前景,近几年尤其是2003年以后引起了国内外的广泛关注.很多知名公司如SAP、微软、IBM等纷纷投入到RFID专用软硬件的研发中,这使得RFID技术在国外进展迅速并开始走向商用.国内在RFID技术研发上相对滞后很多且大都处于研发起步阶段,倍受国外RFID技术专利和标准壁垒的限制,因此,尽早制定标准以及加大力度研发自主知识产权的技术与产品在目前显得尤为重要。
目前,RFID技术研究的重点集中于频率干扰、多卡识别干扰、信息数据安全、识别距离以及运动物体对识别的影响等问题上.数字处理核心模块作为读写器的核心部分,与这些核心问题的解决息息相关,也是决定技术成果的知识产权归属的重要因素。因此,独立自主地研究和设计数字处理核心模块,包括防碰撞算法和数据加密纠错等关键技术的研究,具有很重要的现实意义。
1 随机推迟防碰撞算法
针对RFID系统的多卡识别干扰,随机推迟防碰撞(anti-collision)算法可以使读写器同时对处于天线识别区域内的多个射频卡进行多卡识别.该算法采用硬件方式或软件方式,或者二者相结合的方式应用于读写器的数字处理核心模块中.采用软件方式来实现防碰撞,使系统简化且易于修改,但在以单片机为主体的数字处理模块中,由于响应时间相对较长而使应用场合受限,而在以高速DSP为主体的字处理模块中,这种受限度将会有所降低。
算法概述:RFID系统工作时,即使有多个射频卡同时在识别区域内,在某一时间片内也只能有1个射频卡和读写器通信,若定义信道占用率R(T0)为T0时长内平均占用信道的射频卡数量,则(RT0)≤1(T0为不发生碰撞时完成1次通信的时长).当碰撞发生时,对于n>1个同时申请信道的射频卡,算法提供信道的分配规则,并使信道占用率满足

该算法的状态转移图如图1所示.

图1防碰撞算法状态转移图
状态S2:如有n(n≥1)个射频卡到达则分别申请占用信道。
状态S3:读写器收到申请后判断是否有碰撞发生。
状态S4:n=1不发生碰撞,射频卡占用信道至通信结束。
状态S5:n>1发生碰撞,读写器发给射频卡延时命令。
状态S6:射频卡按照算法延时等待后回到S2状态,重新申请信道。
状态S7:当射频卡的输入负载G大于某极限值时,碰撞次数急剧增加,系统吞吐量降低,进入不稳定状态.系统设计时应当避免超载状态S7。
计算机模拟实验和实际应用结果表明,该算法可以保证在发生碰撞时,系统迅速地将多个射频卡识别出来,达到了实用化程度。下面对该算法的平均响应时间和系统吞吐量进行数学分析。
很多情况下,电子标签任意2次到达的时间间隔Δt服从指数分布,其概率密度为


n>1时发生碰撞,令发生碰撞后所有争用信道的射频卡自行产生推迟时长kTA,其中k为射频卡时延随机因子,它是[0,K]内均匀分布的随机数,K为读写器设计给定的时限,k、K均为正整数.产生k的概率为


其中Pc表示到达的射频卡中能够成功完成通信的概率



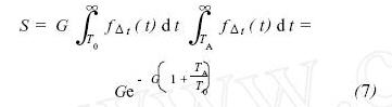
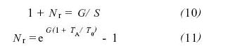
当G≤(1+TA/T0)-1时,吞吐量随G的增大而上升,系统处于稳定状态,否则吞吐量随G的增大而急剧下降,系统在碰撞后将要根据算法产生时延因子k,由于0≤k≤K,碰撞后可能产生的时延在0到KTA之间.假设每个射频卡平均重发Nr次,则平均响应时间为


由上述的关系式可以得到平均响应时间τ和吞吐量S之间的关系曲线如图2所示.由图可见,S增大时,τ也增大。但当S过大时,系统的稳定性变差.
图2平均响应时间和吞吐量的关系曲线

本文根据射频识别通信系统AM调制抗噪声性能不强、数据量小、信道特性速率要求不高且发射功率受限等信道特性,提出了一种高效、实用的集加密纠错功能于一体的算法。
1)加密算法
设G是任意(n,k,2t+1)线形分组码的k×n阶生成矩阵,其中n为码长;k为信息组(明文)长;2t+1为码的最小距离.在GF(2)上找一个n×n阶置换矩阵P,设M是长为K的二进制明文,则加密算法描述为
Ek(M)=(MG+Z)P=MGP+ZP=C
式中,“+”为模2加,Z为二进制伪随机序列,G、P、Z由密钥决定,它们都是加密的,只有收、发双方已知.P为置换矩阵,因此也是一个满秩矩阵,存在逆阵P-1.
2)解密算法
当密文通过有扰信道传输到达接收端后,由于信道干扰,密文C成为R=C+E,E是信道错误图样,接收端收到R后,其解密算法如下:
①右乘P-1并模2加Z序列D1(R)=RP-1+Z=CP-1+EP-1+Z=MG+EP-1
②译码
D2(MG+EP-1)=M
3)算法说明
把信道错误图样A=(an-1an-2.a1a0)∈Vn(F2)中非零元素的个数称为向量A的Hamming权重,记为

由加密算法可以看出,该加密、纠错技术既有序列密码的伪随机密钥序列,又有不太大的分组加密算法,因此,它是将序列密码体制与分组密码体制相结合的密码体制,并且系统本身还具有较强的纠、检错能力。数据在信道中传输时,由于干扰的存在,不可避免地会产生随机错误和突发错误。作为差错控制用的纠错码,若要求同时纠正这2种错误,效果一般不理想。为此,可将它与交错码结合起来,利用交错码把长的突发错误分散开,离散成随机错误,最后按随机错误用线形分组码予以纠正,即按上述基本算法进行加密纠错编码后,再进行交错编码,这种算法可以适用于各种信道,既能纠随机错误,又能纠突发错误。
根据以上的算法理念,设计了可传输的加密与纠错相结合的通信系统结构如图3所示

图3加密与纠错相结合的通信系统结构
数字处理核心模块主要负责完成基带信号处理并与主机进行通信.它主要由数字信号处理模块、编码模块、解码模块以及与主机通信的接口模块4部分组成.数字信号处理模块把从主机接收来的指令进行重新组合,装配成编码模块能够识别的指令,发送给编码模块;当射频卡响应指令返回数据时,数字信号处理模块把从解码模块接收到的数据进行组合,并进行CRC校验.若检验结果错误,则把错误信息报告主机,并请求或等待重发指令;若校验结果正确,则对数据进行一系列的处理操作,并与主机进行信息交互,报告相应的正确信息或等待主机进行下一步的操作指令。
数字处理核心模块对整个读写器系统是最为重要的一环,它在很大程度上决定着整个系统性能的优劣,鉴于这个原因以及需求复杂度上升的需要,有必要突破原先数字处理部分由单片机和可编程逻辑器件(CPLD)组成的设计方案,转而用具有高运算能力和高拓展性能的DSP芯片和CPLD来提升读写器的性能,这样不仅可以使RFID读写系统具备更高的运算处理能力以及更可靠的数据安全性能,而且可以提高系统的防碰撞性能并可同时识别更多的射频卡。
为确保所研制的RFID识别系统的性能逐步提升并保持较为先进的国内水平,确立下一步以数字处理核心模块的研究作为重点,研究和开发以DSP为主体的射频识别读写器(13.56MHz),拟定如下新一代研发计划。
①采用DSP芯片替代单片机,完成单片机的工作,并配合CPLD芯片实现防碰撞算法。
②使用一片CPLD代替原有的2个CPLD,完成编码、解码和差错控制工作。
③摒弃原电路设计采用的元器件的插装工艺,利用表贴技术开发RFID核心模块,以提高整个系统的组装密度,缩小产品体积,减轻重量,提高系统的可靠性和抗振能力。
④优化读写器性能,在不增大发射功率的前提下,增加读写距离。
图4是目前正在研发的新一代射频识别系统数字处理核心模块原理框图。

图4RFID系统数字处理核心模块原理框图
作为取得自主知识产权的重要因素,数字处理核心模块化的研究和设计是RFID技术应用研究的重心所在,围绕这个重心,本文讨论了在防碰撞算法、数据加密纠错技术以及模块化研发上取得的突破,应用结果表明,这些关键技术完全可以满足应用,且对RFID系统研发具有重要的借鉴意义。
13.56MHz NFC天线,13.56MHz RFID天线设计培训课程套装,让天线设计不再难
上一篇:卡式预付费表计的安全设计策略
下一篇:RFID电子标签在物流中的应用


