- 易迪拓培训,专注于微波、射频、天线设计工程师的培养
一种RFID电子卡稳定性设计及实现
录入:edatop.com 点击:
0 引言
射频识别(Radio Frequency Identification,RFID)技术是一种非接触式自动识别技术,其原理是利用射频信号和空间耦合传输特性,实现对被识别物体的自动识别。RFID技术有别于传统意义的自动识别技术,它在使用过程中已逐渐显示其优越性,正成为IT业主要发展趋势之一。RFID技术应用领域广阔,在国内外的汽车安全管理及自动收费系统领域中,RF1D技术应用比较成功。目前,汽车的使用越来越普遍,汽车数量也正在呈几何级数增长。对于汽车的管理问题,已成为摆在人们面前的一个刻不容缓的急迫问题。如何对汽车进行管理,如何提高管理的效率,这一系列问题显得越来越突出。RF1D 电子卡被应用于汽车的身份识别及其自动收费管理系统中,有助于一系列车辆管理问题的解决。
RFID电子卡载波幅度调制电路采用常用的三点式LC谐振电路,随着载波频率点的提高,LC谐振电路工作时,参数的不匹配会导致RFID电子卡产生载波频率点漂移、偏移以及其它频率波的产生,在某些特定的环境中,这种载波频率点漂移、偏移以及杂波的产生甚至会导致RFID电子卡不能有效的工作。通过分析这些存在稳定性问题的RFID电子卡,得出导致RFID电子卡工作不稳定的各种因素,从而有利于对存在问题的RFID电子卡参数进行修改、调整及其稳定性设计提供依据。
最后,给出了部分改进后的RFID电子卡印刷板电路。
实验结果表明,改进后的RFID电子卡,其稳定性进一步增强,基本上可以满足在各种场合下对汽车管理提出的稳定性要求。
1 RFID电子卡的工作原理及实现
1.1 RFID电子卡的工作原理
在采用RFID电子卡参于管理的停车场管理系统中,在停车场的出入口都配有RFID 电子卡阅读器。阅读器会实时不间断地发送唤醒RFID 电子卡的特定信号,汽车在经过停车场出人口时,汽车携带的RFID电子卡就会被这种特定信号唤醒,标识汽车ID身份的RFID电子卡就会进入工作状态,把标识自己唯一的ID号通过无线信号发送出去,停车场出人口阅读器接收到RFID电子卡发出的ID号后,系统会对RFID电子卡的合法性进行判断,如果合法,就允许配有该RFID电子卡的车辆正常出入,否则将进行拦截,从而实现对进出停车场车辆的有效管理。RFID电子卡与阅读器之间的通信工作原理图如图1所示。
该RFID 电子卡的硬件实现框图如图1所示,RFID电子卡由唤醒信号接收电路、收发信号处理电路、载波幅度调制电路、无线数据发射电路和天线五部分组成。其中载波幅度调制电路是影响RFID电子卡的稳定性的主要因素,下面详细分析载波幅度调制电路。
1.2.1 RFID电子卡载波幅度调制电路
RFID电子卡的载波幅度调制电路是通过三点式LC振荡电路和数据信号的加载电路两部分组成。载波幅度调制电路如图2所示。
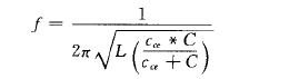
(1)式中,C为C 的电容量,L为L 的电感量, 为高频管的集电极与发射极之间的结电容,厂为振荡电路的振荡频率。
2 载波频率点漂移、偏移和杂波产生的分析
2.1 RFID电子卡载波频率点漂移和偏移
采用频谱仪进行分析,RFID 电子卡工作稳定时, 中心频率点为单一、固定的频率433.9MHz,如图4所示。
2.2 RFID电子卡载波频率点漂移和偏移的原因
(1)在RFID电子卡的印刷电路板上,螺旋绕制电感容易发生形变,形变的结果会使螺旋绕制电感的参数发生变化。电感L2的电感量变为L ,RFID 电子卡的载波频率点由公式(2)决定。
(4)电池在电池槽中的位置歪斜,可能出现电路时断时通,电源的不稳定会引起频率点漂移。
(5)在高频电路中, 电感的感抗随温度变化,不同材料的螺旋绕制电感,其电感感抗随温度的变化也不同,引起的振荡频率依据公式(2)。
2.3 RFID电子卡载波频率点偏移及杂波的出现
2.3.1 电子卡存在杂波和频率点偏移
实验中发现,RFID电子卡通讯出现时有时无,距离越来越短,电池电量相对消耗快。RFID 电子卡除了产生有用的载波频率之外,同时还伴随其它频率波的产生,实际频谱类似如图6所示。
实验中还发现不能通讯的RFID电子卡,存在载波频率点发生偏移的同时,还伴随有其它频率波的产生,这些杂波出现的现象跟如图6所示的杂波类似。
2.3.2 电子卡频率点偏移并伴随杂波产生的原因
(1)RFID电子卡载频波中夹杂有其它频率波, 主要是LC振荡电路中的螺旋绕制电感L2形状严重发生形变,导致其螺旋电感参数发生变化,比如实际中常存在螺旋绕制电感线圈的长度拉长,螺旋绕制电感线圈的间距不等,存在寄生电容、电感。一个环路满足公式(6),并且在环路中包含有寄生电容、电感组成的LC谐振电路,就会产生振荡,就会有其它频率波的产生,这就是寄生振荡的缘故。
︱AF ︱≥ 1 (6)
其中公式(6)的A表示振荡环路的放大系数,F表示振荡环路的反馈系数。
(2)对于焊接后焊盘上的聚集焊锡形状应为圆锥型,多余的引线剪切位置如有尖锐毛刺,在RFID电子卡电路中,这些毛刺存在分布电容、电感,如果满足随机寄生振荡的条件,也会导致其它频率波的产生。由于这种原因存在RFID电子卡工作时随机出现不同频率的杂波。
(3)载波频率点偏移的同时伴随有其它频率波的产生,其实是由引发载波频率点偏移的因素和引发寄生振荡因素共同作用的结果。
3 载波幅度调制电路的改进设计
3.1 载波幅度调制电路改进的原理
RFID电子卡出现的不稳定,如载波频率点漂移、偏移以及其它频率波的产生,RFID电子卡敏感器件容易受实际工作环境因素的影响,这些都会使RFID电子卡不能充分发挥其功能。载波幅度调制电路的改进如图7所示。
RFID电子卡上的螺旋绕制电感易受到诸多因素影响,又由于微带线受影响的因素小,采用在印刷电路板上制作微带线来代替螺旋绕制电感,下面是RFID电子卡微带线具体设计。微带线电感的长度选择: 当
时,z为感性,当L
时,Z为容性,且Z与频率呈非线形关系,其中k 为微带线上的波长。RFID电子卡的载波频率为433.9 MHz,微带线电感的长度
,实际选择的长度为L=85.26 mm 。
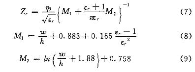
微带线的特性阻抗z0的计算公式为:
为自由空间的波阻抗,
为空气介电常数,w为微带线的宽度,h为微带线离地的高度,
为印刷电路板的介电常数,t为微带线实际的厚度,如图9中实际微带线的结构。
式中,ZC 为微带线的特性阻抗;
为微带线的电导,L为微带线的长度。
与频率相关的电感感抗公式:
Z=jwL 由公式(10)和(11)可得出电感量L,然后带入公式(1),得出振荡电路选择电容的电容量。从而实现阻抗的匹配。
4 RFID电子卡主要指标的提升
(1)传输距离:通过实际对比改进前后测量RFID 电子卡的传输距离,RFID电子卡传输的有效距离由原来的8~9m提高到13~15m。
(2)使用寿命:改进后的电路功耗明显降低,使用相同电量的电池,改进后的RFID电子卡使用寿命延长1年。
(3)稳定性:改进后的RFID电子卡消除了载波频率点漂移、偏移及杂波的出现。
(4)成本降低:改进后的RFID电子卡上不再使用螺旋绕制电感, 电路简单,性价比好。
5 实验与总结
通过分析RFID 电子卡不稳定的各种因素,重新设计RFID电子卡载波幅度调制电路,消除了RFID 电子卡载波频率点偏移、漂移以及其它频率波的产生,RFID 电子卡的稳定性效果明显增强,这对目前RFID电子卡稳定性问题的解决具有实际意义。
射频识别(Radio Frequency Identification,RFID)技术是一种非接触式自动识别技术,其原理是利用射频信号和空间耦合传输特性,实现对被识别物体的自动识别。RFID技术有别于传统意义的自动识别技术,它在使用过程中已逐渐显示其优越性,正成为IT业主要发展趋势之一。RFID技术应用领域广阔,在国内外的汽车安全管理及自动收费系统领域中,RF1D技术应用比较成功。目前,汽车的使用越来越普遍,汽车数量也正在呈几何级数增长。对于汽车的管理问题,已成为摆在人们面前的一个刻不容缓的急迫问题。如何对汽车进行管理,如何提高管理的效率,这一系列问题显得越来越突出。RF1D 电子卡被应用于汽车的身份识别及其自动收费管理系统中,有助于一系列车辆管理问题的解决。
RFID电子卡载波幅度调制电路采用常用的三点式LC谐振电路,随着载波频率点的提高,LC谐振电路工作时,参数的不匹配会导致RFID电子卡产生载波频率点漂移、偏移以及其它频率波的产生,在某些特定的环境中,这种载波频率点漂移、偏移以及杂波的产生甚至会导致RFID电子卡不能有效的工作。通过分析这些存在稳定性问题的RFID电子卡,得出导致RFID电子卡工作不稳定的各种因素,从而有利于对存在问题的RFID电子卡参数进行修改、调整及其稳定性设计提供依据。
最后,给出了部分改进后的RFID电子卡印刷板电路。
实验结果表明,改进后的RFID电子卡,其稳定性进一步增强,基本上可以满足在各种场合下对汽车管理提出的稳定性要求。
1 RFID电子卡的工作原理及实现
1.1 RFID电子卡的工作原理
在采用RFID电子卡参于管理的停车场管理系统中,在停车场的出入口都配有RFID 电子卡阅读器。阅读器会实时不间断地发送唤醒RFID 电子卡的特定信号,汽车在经过停车场出人口时,汽车携带的RFID电子卡就会被这种特定信号唤醒,标识汽车ID身份的RFID电子卡就会进入工作状态,把标识自己唯一的ID号通过无线信号发送出去,停车场出人口阅读器接收到RFID电子卡发出的ID号后,系统会对RFID电子卡的合法性进行判断,如果合法,就允许配有该RFID电子卡的车辆正常出入,否则将进行拦截,从而实现对进出停车场车辆的有效管理。RFID电子卡与阅读器之间的通信工作原理图如图1所示。

图1 RFID电子卡的工作原理及硬件实现框图
该RFID 电子卡的硬件实现框图如图1所示,RFID电子卡由唤醒信号接收电路、收发信号处理电路、载波幅度调制电路、无线数据发射电路和天线五部分组成。其中载波幅度调制电路是影响RFID电子卡的稳定性的主要因素,下面详细分析载波幅度调制电路。
1.2.1 RFID电子卡载波幅度调制电路
RFID电子卡的载波幅度调制电路是通过三点式LC振荡电路和数据信号的加载电路两部分组成。载波幅度调制电路如图2所示。

图2 载波幅度调制电路

图3 载波幅度调制电路的关键点信号图
(1)
(1)式中,C为C 的电容量,L为L 的电感量, 为高频管的集电极与发射极之间的结电容,厂为振荡电路的振荡频率。
2 载波频率点漂移、偏移和杂波产生的分析
2.1 RFID电子卡载波频率点漂移和偏移
采用频谱仪进行分析,RFID 电子卡工作稳定时, 中心频率点为单一、固定的频率433.9MHz,如图4所示。

图4 RFID电子卡的正常工作频谱

图5 载波频率点偏移、漂移的典型频谱
2.2 RFID电子卡载波频率点漂移和偏移的原因
(1)在RFID电子卡的印刷电路板上,螺旋绕制电感容易发生形变,形变的结果会使螺旋绕制电感的参数发生变化。电感L2的电感量变为L ,RFID 电子卡的载波频率点由公式(2)决定。
(2)
(3)
(4)
(5)
(4)电池在电池槽中的位置歪斜,可能出现电路时断时通,电源的不稳定会引起频率点漂移。
(5)在高频电路中, 电感的感抗随温度变化,不同材料的螺旋绕制电感,其电感感抗随温度的变化也不同,引起的振荡频率依据公式(2)。
2.3 RFID电子卡载波频率点偏移及杂波的出现
2.3.1 电子卡存在杂波和频率点偏移
实验中发现,RFID电子卡通讯出现时有时无,距离越来越短,电池电量相对消耗快。RFID 电子卡除了产生有用的载波频率之外,同时还伴随其它频率波的产生,实际频谱类似如图6所示。

图6 RFID电子卡频谱中夹杂有杂波
实验中还发现不能通讯的RFID电子卡,存在载波频率点发生偏移的同时,还伴随有其它频率波的产生,这些杂波出现的现象跟如图6所示的杂波类似。
2.3.2 电子卡频率点偏移并伴随杂波产生的原因
(1)RFID电子卡载频波中夹杂有其它频率波, 主要是LC振荡电路中的螺旋绕制电感L2形状严重发生形变,导致其螺旋电感参数发生变化,比如实际中常存在螺旋绕制电感线圈的长度拉长,螺旋绕制电感线圈的间距不等,存在寄生电容、电感。一个环路满足公式(6),并且在环路中包含有寄生电容、电感组成的LC谐振电路,就会产生振荡,就会有其它频率波的产生,这就是寄生振荡的缘故。
︱AF ︱≥ 1 (6)
其中公式(6)的A表示振荡环路的放大系数,F表示振荡环路的反馈系数。
(2)对于焊接后焊盘上的聚集焊锡形状应为圆锥型,多余的引线剪切位置如有尖锐毛刺,在RFID电子卡电路中,这些毛刺存在分布电容、电感,如果满足随机寄生振荡的条件,也会导致其它频率波的产生。由于这种原因存在RFID电子卡工作时随机出现不同频率的杂波。
(3)载波频率点偏移的同时伴随有其它频率波的产生,其实是由引发载波频率点偏移的因素和引发寄生振荡因素共同作用的结果。
3 载波幅度调制电路的改进设计
3.1 载波幅度调制电路改进的原理
RFID电子卡出现的不稳定,如载波频率点漂移、偏移以及其它频率波的产生,RFID电子卡敏感器件容易受实际工作环境因素的影响,这些都会使RFID电子卡不能充分发挥其功能。载波幅度调制电路的改进如图7所示。

图7 载波幅度调制电路的改进

图8 载波调制电路改进后的关键点波形
RFID电子卡上的螺旋绕制电感易受到诸多因素影响,又由于微带线受影响的因素小,采用在印刷电路板上制作微带线来代替螺旋绕制电感,下面是RFID电子卡微带线具体设计。微带线电感的长度选择: 当
时,z为感性,当L
时,Z为容性,且Z与频率呈非线形关系,其中k 为微带线上的波长。RFID电子卡的载波频率为433.9 MHz,微带线电感的长度
,实际选择的长度为L=85.26 mm 。 微带线的特性阻抗z0的计算公式为:

为自由空间的波阻抗,
为空气介电常数,w为微带线的宽度,h为微带线离地的高度,
为印刷电路板的介电常数,t为微带线实际的厚度,如图9中实际微带线的结构。 
图9 微带线在印刷电路板上的截面图

式中,ZC 为微带线的特性阻抗;
为微带线的电导,L为微带线的长度。 与频率相关的电感感抗公式:
Z=jwL 由公式(10)和(11)可得出电感量L,然后带入公式(1),得出振荡电路选择电容的电容量。从而实现阻抗的匹配。

图10 微带线的印刷板图
4 RFID电子卡主要指标的提升
(1)传输距离:通过实际对比改进前后测量RFID 电子卡的传输距离,RFID电子卡传输的有效距离由原来的8~9m提高到13~15m。
(2)使用寿命:改进后的电路功耗明显降低,使用相同电量的电池,改进后的RFID电子卡使用寿命延长1年。
(3)稳定性:改进后的RFID电子卡消除了载波频率点漂移、偏移及杂波的出现。
(4)成本降低:改进后的RFID电子卡上不再使用螺旋绕制电感, 电路简单,性价比好。
5 实验与总结
通过分析RFID 电子卡不稳定的各种因素,重新设计RFID电子卡载波幅度调制电路,消除了RFID 电子卡载波频率点偏移、漂移以及其它频率波的产生,RFID 电子卡的稳定性效果明显增强,这对目前RFID电子卡稳定性问题的解决具有实际意义。
13.56MHz NFC天线,13.56MHz RFID天线设计培训课程套装,让天线设计不再难
上一篇:RFID 电子标签与条型码之比较
下一篇:基于RFID的无线护理信息系统设计与实现


