- 易迪拓培训,专注于微波、射频、天线设计工程师的培养
基于RFID的车辆自动驾驶模拟试验装置研制
录入:edatop.com 点击:
传统的自动驾驶车辆主要依靠2种方式进行导航:机器视觉导航,如文献[1—2]中的视觉导航自主车,此种导航方式与人类通过眼部感知、处理外界信息雷同,但受限于黑夜、低能见度等情形下的光照条件,地埋磁体导航,如文献[3]中基于磁道钉导航的智能车路系统。此方式在克服诸如光照等外界干扰因素方面具有优势,但面对复杂的交通环境时,其地面有效信息不全的弱点逐渐突显。射频识别技术(radio frequency identification,RFID)是利用射频信号通过空间耦合实现信息无接触传输,从而达到身份识别目的的一种新兴技术。现行的RFID技术仍主要应用于身份识别领域,为此,采用遵循IS014443标准的RFID硬件模块,并选用与之匹配的道路仿真模型和车辆模型建立比例微缩模拟试验装置,为方便研究试验工作在此装置上展开。
1 RFID 导航原理及工作流程
利用地面信息发射装置导航的车辆自动驾驶系统工作示意如图1所示。
2.1 导航设备与仿真车辆
试验装置的设计中,作为导航设备的RFID硬件模块将嵌入在实时仿真循环中,该硬件模块采用Philips RF RC500作为读写器芯片,遵循ISO14443标准中定义的Type A通信协议,即发送载波信号时采用改进的Miller编码方式,调制深度为100 的幅度键控(ASK)信号。天线采用印刷电路板内置线圈,尺寸为55 mm×40 mm,RFID标签选用无源式圆形智能卡,内含IC芯片和LC谐振回路,直径为18 mm 所示.读写器与标签通信速率为106 kB,载波频率为13.56MHz,感应距离约为50 mm,符合微缩条件下信号传输的可靠性要求。
车辆实体为电动车辆模型,微缩比例1:10,其纵向控制采用后置动力四轮驱动,驱动电机为7.2 V直流微型电机,横向控制选用6 V舵机控制仿真车辆转向传动系。系统上、下位机均安装在仿真车辆中,下位机中央处理单元为AT89S5x单片机,主要职责为:(1)控制RFID硬件模块定时向地面发送以及接收RFID无源标签反射回来的载波信号;(2)将读写器芯片处理过的标签信息上传至上位机,以及接收上位机下传的仿真车辆控制指令;(3)根据上位机下传控制指令控制车辆模型。上位机主体为工业控制机主板,可配置CPU、内存及硬盘等,实测试验时可将显示器、鼠标及键盘等外部设备移除.上位机主要负责将接收到的各种信息进行运算决策,然后下发控制指令控制车辆模型运行,上下位机通过RS232串口协议通信,可充式锂电池为仿真车辆整体供电。
2.2 仿真道路
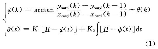
供车辆行驶的道路是一系列平直线、圆曲线和缓和曲线的组合,在微缩条件下,仿真道路的设计忽略道路起伏和坡度等因素,利用若干RFID无源标签在试验场地内进行有序排列可形成道路。某段仿真道路示意图如图3所示,不同道路线形采用不同的方式进行标签圈围。对于平直道路上的车辆,其转向机构保持零偏转,车辆保持直线行驶,RFID无源标签沿平直道路两侧边缘依次埋设;当车体与道路边缘斜交时,位于车辆前方的RFID硬件模块天线感应并接收RFID无源标签发出的位置信息
,结合上次“碰边”位置
(如未曾“碰边”,P‘card则为道路入口标签位置信息),得出车体方位角
,仿真车辆再根据
,以及在进入道路时读取到的标签信息时得到的该道路出口位置信息,得出仿真车辆从即刻起至t时刻的前轮转角
( t).在平直道路上发生“碰边”时,仿真车辆车体方位角
及前轮转角
计算公式为
为车辆方位角修订值;K为感应顺序;Ⅱ为平直道路方向角,与车辆所在平直道路相关并在进入时获取;t在车辆感应到RFID无源标签后开始计时;K1,K 2为车辆方位角与平直道路方向角误差调节系数,在实验测试过程中调节。另外,设定RFID无源标签在平直道路横向距离w 小于车辆两前轮之间距离;纵向间距D根据道路限速在实测中调整。
式中:
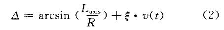
为仿真车辆前后轮传动轴长;
为基于车速的调节系数,用以补偿车辆因速度变化引起的误差。
2.3 系统软件设计
仿真车辆的下位机采用带有单片机系统的RFID硬件模块,本身带有RS232串口通信接口方便与上位机通信,执行机构中的驱动电机由电机驱动控制芯片L298管理,正反转动及使能信号采用TTL电平驱动;舵机控制端亦可直接由TTL电平驱动。下位机系统软件主要实现RFID标签信息传递以及车辆控制信息解析与执行,上位机系统软件采用模块化设计面向对象的程序设计方法进行构建,其系统软件结构如图4所示。
3 场地试验
3.1 直道保持试验
在室内平整地面上,将RFID无源标签按横向距离w 为0.22 m、纵向间距D为0.1 m进行铺设,形成平直道路,进出口处摆放标签个数横向均匀紧密铺设,试验采用间隔为0.055 m埋设一个,仿真车辆在不同车速V条件下在平直道路上行驶,在“碰边”后修正前轮转角偏转值
以保持车辆位于平直道路中间区域,仿真车辆前轮转角偏转值
与时间t之间的对应关系如图5所示。
3.2 弯道转向试验
弯道转向试验基于前述直道保持试验,弯道半径R设置为0.4 m,为保障车辆顺利完成转弯动作,可在车辆可能经过的途中埋设无源芯片通知其校正并更新自身前轮转角。记录仿真车辆在转弯过程中的前轮转角偏转值△与时间t之间对应关系如图6所示,仿真车辆在直道上保持并平稳行驶至出口处,此时车载RFID读写器天线感应到标签为出口标识,即可根据式(2)将前轮转角转至与弯道R相应的△值通过弯道.在前轮转角保持为△值的过程中,车载RFID读写器天线感应到平直道路人口标签信息即认为进入下一平直道路并将其前轮转角复位,保持直道行驶状态。
利用模拟试验装置在室内场地开展基于RFID的车辆自动驾驶系统试验,不仅能快速构建试验方案,减少成本,而且能保障人员安全,其试验数据和结果的直观性或可信度也高于一般意义上的数字仿真。值得注意的是,仅依靠模拟试验装置测试得出的原型系统不能直接移植至实车自动驾驶系统中的,该模拟试验装置主要用于车辆自动驾驶控制及其车路交互信息等模型的建立与测试,由此可推知,提高模拟试验装置内仿真车辆的控制精度,RFID作为导航手段的可靠度,道路标签埋设的合理性,以及制定车辆自动驾驶试验方案标准流程和规范等,是提高整个模拟试验装置效益的有力举措,以上工作将在后续研究中展开。
1 RFID 导航原理及工作流程
利用地面信息发射装置导航的车辆自动驾驶系统工作示意如图1所示。


2.1 导航设备与仿真车辆
试验装置的设计中,作为导航设备的RFID硬件模块将嵌入在实时仿真循环中,该硬件模块采用Philips RF RC500作为读写器芯片,遵循ISO14443标准中定义的Type A通信协议,即发送载波信号时采用改进的Miller编码方式,调制深度为100 的幅度键控(ASK)信号。天线采用印刷电路板内置线圈,尺寸为55 mm×40 mm,RFID标签选用无源式圆形智能卡,内含IC芯片和LC谐振回路,直径为18 mm 所示.读写器与标签通信速率为106 kB,载波频率为13.56MHz,感应距离约为50 mm,符合微缩条件下信号传输的可靠性要求。
车辆实体为电动车辆模型,微缩比例1:10,其纵向控制采用后置动力四轮驱动,驱动电机为7.2 V直流微型电机,横向控制选用6 V舵机控制仿真车辆转向传动系。系统上、下位机均安装在仿真车辆中,下位机中央处理单元为AT89S5x单片机,主要职责为:(1)控制RFID硬件模块定时向地面发送以及接收RFID无源标签反射回来的载波信号;(2)将读写器芯片处理过的标签信息上传至上位机,以及接收上位机下传的仿真车辆控制指令;(3)根据上位机下传控制指令控制车辆模型。上位机主体为工业控制机主板,可配置CPU、内存及硬盘等,实测试验时可将显示器、鼠标及键盘等外部设备移除.上位机主要负责将接收到的各种信息进行运算决策,然后下发控制指令控制车辆模型运行,上下位机通过RS232串口协议通信,可充式锂电池为仿真车辆整体供电。
2.2 仿真道路
供车辆行驶的道路是一系列平直线、圆曲线和缓和曲线的组合,在微缩条件下,仿真道路的设计忽略道路起伏和坡度等因素,利用若干RFID无源标签在试验场地内进行有序排列可形成道路。某段仿真道路示意图如图3所示,不同道路线形采用不同的方式进行标签圈围。对于平直道路上的车辆,其转向机构保持零偏转,车辆保持直线行驶,RFID无源标签沿平直道路两侧边缘依次埋设;当车体与道路边缘斜交时,位于车辆前方的RFID硬件模块天线感应并接收RFID无源标签发出的位置信息
,结合上次“碰边”位置
(如未曾“碰边”,P‘card则为道路入口标签位置信息),得出车体方位角
,仿真车辆再根据
,以及在进入道路时读取到的标签信息时得到的该道路出口位置信息,得出仿真车辆从即刻起至t时刻的前轮转角
( t).在平直道路上发生“碰边”时,仿真车辆车体方位角
及前轮转角
计算公式为 
为车辆方位角修订值;K为感应顺序;Ⅱ为平直道路方向角,与车辆所在平直道路相关并在进入时获取;t在车辆感应到RFID无源标签后开始计时;K1,K 2为车辆方位角与平直道路方向角误差调节系数,在实验测试过程中调节。另外,设定RFID无源标签在平直道路横向距离w 小于车辆两前轮之间距离;纵向间距D根据道路限速在实测中调整。 

式中:
为仿真车辆前后轮传动轴长;
为基于车速的调节系数,用以补偿车辆因速度变化引起的误差。 2.3 系统软件设计
仿真车辆的下位机采用带有单片机系统的RFID硬件模块,本身带有RS232串口通信接口方便与上位机通信,执行机构中的驱动电机由电机驱动控制芯片L298管理,正反转动及使能信号采用TTL电平驱动;舵机控制端亦可直接由TTL电平驱动。下位机系统软件主要实现RFID标签信息传递以及车辆控制信息解析与执行,上位机系统软件采用模块化设计面向对象的程序设计方法进行构建,其系统软件结构如图4所示。

3 场地试验
3.1 直道保持试验
在室内平整地面上,将RFID无源标签按横向距离w 为0.22 m、纵向间距D为0.1 m进行铺设,形成平直道路,进出口处摆放标签个数横向均匀紧密铺设,试验采用间隔为0.055 m埋设一个,仿真车辆在不同车速V条件下在平直道路上行驶,在“碰边”后修正前轮转角偏转值
以保持车辆位于平直道路中间区域,仿真车辆前轮转角偏转值
与时间t之间的对应关系如图5所示。 
3.2 弯道转向试验
弯道转向试验基于前述直道保持试验,弯道半径R设置为0.4 m,为保障车辆顺利完成转弯动作,可在车辆可能经过的途中埋设无源芯片通知其校正并更新自身前轮转角。记录仿真车辆在转弯过程中的前轮转角偏转值△与时间t之间对应关系如图6所示,仿真车辆在直道上保持并平稳行驶至出口处,此时车载RFID读写器天线感应到标签为出口标识,即可根据式(2)将前轮转角转至与弯道R相应的△值通过弯道.在前轮转角保持为△值的过程中,车载RFID读写器天线感应到平直道路人口标签信息即认为进入下一平直道路并将其前轮转角复位,保持直道行驶状态。

利用模拟试验装置在室内场地开展基于RFID的车辆自动驾驶系统试验,不仅能快速构建试验方案,减少成本,而且能保障人员安全,其试验数据和结果的直观性或可信度也高于一般意义上的数字仿真。值得注意的是,仅依靠模拟试验装置测试得出的原型系统不能直接移植至实车自动驾驶系统中的,该模拟试验装置主要用于车辆自动驾驶控制及其车路交互信息等模型的建立与测试,由此可推知,提高模拟试验装置内仿真车辆的控制精度,RFID作为导航手段的可靠度,道路标签埋设的合理性,以及制定车辆自动驾驶试验方案标准流程和规范等,是提高整个模拟试验装置效益的有力举措,以上工作将在后续研究中展开。


