- 易迪拓培训,专注于微波、射频、天线设计工程师的培养
基于RFID的交叉口流量检测
0 引 言
随着社会经济的发展,机动车的增加,城市道路的交通压力逐渐增大。在城市道路交叉口处,交通设施建设滞后以及管理措施不够完善等原因,致使交叉口的拥挤越来越严重,从而影响城市道路水平的发挥。城市道路交叉口的交通状况比较复杂,同时也成为制约城市道路功能的瓶颈。城市交通量是描述城市交通流特性的最重要的参数。调查交叉口交通量的目的,是为道路规划、建设及交通营运管理与控制,提供有关交通酌组成、分布及流向、车速、延误、停车等数据,以便对交叉口的道路运行效能做出准确的评价。因此,对平面交叉口交通特性进行研究是找出拥堵原因,提高交叉口通行能力的前提条件。
1 系统概述
本文采用RFID( radio frequency identifica-tion)技术检测进入交叉路口的车道流量数,RFID技术在交通信号控制系统中主要应用于交叉口车流量、分向流量、车速和排队长度的检测。能够对交叉口各相位信号进行配时优化提供精确的车流量统计,从而能够自适应的控制整个交叉口的车辆通行,保证车辆通行质量。
1.1 RFID简介及原理
1)简介。RFID是1种简捷的、短距离(约10多m)、抗冲突、利用散射原理的900 MHz频段的无线识别通信系统,它通过射频信号自动识别目标对象并获取相关数据。RFID技术用于识别、检测和跟踪物体。系统由1个询问器(或阅读器)和很多应答器(或标签)组成。
2)原理。RFID电子标签附着在车辆挡风玻璃内侧,电子标签中保存有约定格式的电子数据。阅读器可无接触地读取并识别电子标签中所保存的电子数据,从而达到自动识别物体的目的。阅读器通过发射天线发送一定频率的射频信号,当标签进入磁场时产生感皮电流获得能量;射频标签将自身编码等信息通过天线发送出去;系统接收天线收到从射频标签发送来的载波信号,经天线调节器传送到阅读器,阅读器对接收的信号进行解调和解码然后送到后台主机系统进行相关处理;进入磁场标签的合法性由主机系统根据逻辑运算来判断,针对不同的设定做出相应的处理和控制,发出指令信号控制执行机构动作。见图1。

1.2 国内外研究现状
RFID技术最早开始应用于第2次世界大战期间,至今已经有60多年的历史,使用RFID技术的是美国国防部军需供应局。随着RFID理论基础的确立,RFID技术逐渐从概念步入到商业应用阶段。
从全球的范围来看,美国政府是RFID应用的积极推动者,在其推动下美国在RFID标准的建立、相关软硬件技术的开发与应用领域走在世界前列。目前,美国、英国、法国、意大利和日本等国家均有较为成熟且先进的RFID产品。
目前美国及欧洲等国家在交通、车辆管理、身份识别、生产线自动化控制、仓储管理及物资跟踪等领域已经开始逐步应用RFID技术。
我国已经将RFID技术应用于铁路车号识别、身份证和票证管理、动物标识、特种设备与危险品管理、公共交通以及生产过程管理等多个领域。
如何将RFID技术应用于交叉口的各种数据参数检测,目前还没有相关的研究报告。
1.3 系统构成
RFID系统由3部分组成:
电子标签(tag)。由天线及芯片组成,每个标签具有惟一的电子编码,支持IS018000 - 6C或6B标准,安装在车辆上标识车辆牌号等信息,其中保存有约定格式的电子数据;受到无线电射频信号照射时,反射回携带有数字字母编码信息的无线电射频信号,供阅读器处理识别。其工作频率在国内为920~925 MHz.
阅读器( reader)。用以产生、发射无线电射频信号并接收由电子标签反射回的无线电射频信号,可远距离、无接触读取并识别电子标签中保存的车辆数据信息。从而达到自动识别车辆的目的。必要时,还可向标签写入信息,进一步通过计算机及计算机网络实现车辆信息的采集、处理及远程传送等管理功能。采用广播发射式射频识别和反射调制式射频识别。
高性能天线( antenna)。也称路测标识,用于在电子标签和阅读器间传递射频信号。见图2。

1.4 系统功能
在智能交通系统中,数据采集模块占有重要地位。系统根据前端采集的交通状态信息,有针对性地调整交通信号控制策略。信号配时的准确度与交通量的测量方法也有很大关系。在智能交通控制过程中,信号机要根据实时采集的车辆信息来选择路口控制模式。本设计基于RFID技术进行车流量的检测,可以成为智能交通系统中的数据采集模块,同时对信号控制配时研究起着重大的作用。这种方案只需对车辆粘贴相应的电子标签,在交叉口各进口停车线处安裟RFID读写设备对进入交叉口车辆进行车流统计。
RFID阅读器一体机安装于道路龙门架上,4个车道分别对应4个天线,实时读取车辆标签信息,并将该信息传送本地控制器作分析处理。本地控制器将分析完后的数据通过无线传输方式传送到信息中心服务器。这是系统的基本工作流程。信息中心系统对收集到的信息作进一步分析,获取如车辆流量、平均车速、占有率、车辆种类、车辆停止侦测及转向比等重要交通信息。见图3。

1.5 系统特点与优势
1)使用寿命长。RFID超高频无线电通信方式,可以应用于粉尘、油污等高污染环境和放射性环境,备具防水、防磁、耐高温、全天候工作性能;
2)全天候稳定工作。不受黑夜、雨雾、风雪、雷电、酷暑严寒、粉尘风沙等恶劣天气影响,系统工作稳定。
3)识别距离远、速度快:能正确采集识别高速行驶在120 km/h下的车辆信息;标签以20次/s左右的频率与阅读器进行读取通信,具有信息采集量与存储量大、数据准确、实时性高以及成本较低等优点;
4)动态实时通信。系统检测到车辆后即时传送到中心系统,具有非常高的实时性。
5)数据传输方式灵活。RFID检测设各可以适用于任何现状交叉口,即可通过无线方式也可通过有线方式进行数据传输。系统配置灵活、方便、快捷。
6)便于维护。RFID检测设备安装于交叉口杆件上,相对于线圈检测而言,维护更方便,效率更高。
2 方案实现
2.1 系统框架及采集流程
当车辆进入交叉口检测范围内,通过RFID阅读器对道路车辆数据进行采集,将采集的车流数据经网络传输至后台中央处理器,信息中心系统对收集到的车流数据信息作进一步分析处理,获取如车辆流量、平均车速、占有率、车辆种类、车辆停止侦测及转向比等重要交通信息,进行读取编码、相位车流量划分及车流统计。见图4。

2.2数据检测的处理模块
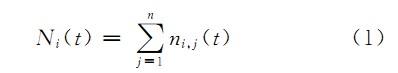
RFID阅读器通过微波天线不停地从指定区域收集车流数据,所有数据都通过网络传递到后台应用系统。阅读器读取装有电子标签的车流数据,并将标签数据作为车流数据传递到消息系统中。在消息系统中,将整个交叉口检查所得到的车流量数据建立相应的数据存储处理模型,此模型作为交叉口的实时动态车流量统计,建模宗旨是为了得到最优饱和长度为L(根据交叉口排队长度来确定取值)路段的进口道车流量数与转向车道的车流量数的关系模型,即为短时间内从t时刻到t+1时刻进入交又口流量相位划分的关系模型。RFID阅读器分别对各个进口道以及各进口车道进行车流量采集,交叉口的进口道数用i表示,交叉口进口车道数用J表示,下面以常规的4交叉口的1个进口道建立在饱和长度为L路段的进口道总的车流量与进口车道的转向车流量关系模型。见图5。
在交叉口各个进口道停车线处设置RFID检测读写器,在路段i的t时刻检测的进口道车流为Ni(t)(i=l,2,…,i为进口车道),停车线处的转向车道的车道流量为nj(t)(j=1,2,…,J为车道数),路段i在饱和长度为L下分为Nk个长度为i的小段,小段车道数记为λi。在交通控制的需求下,道路网络交通流模型为时空离散化的模型。交叉口进口路段i的第k小段在t时刻的交通状态用密度、速度和流量表示,分别记作Pik(t)、Vik(t)和qik(t),在t时刻,Ni(t)进入交叉口停车线的流量与转向车道流量建立模型为

式中:Ni(t+1)为进入交叉口停车线的动态变化的车辆数;n为进口车道数j的取值(n=l,2,…)。则在t+l时刻,进入饱和长度L路段变化的车流量Ni(t)的变化模型为

式中:T为模型取样周期;rikj=pikj/pij为交通组成比例。

RFID系统本身具有数据处理的功能,因应用的领域不同,数据处理规则不同。将RFID技术应用在交叉口做流量检测,根据各个交叉口的参数需求,自定义处理规则,建立相应的处理模型,完成系统相应的数据处理和管理任务,当事件满足一定条件时,会自动的触发相应的动作。
2.3交叉口安装具体位置
在交叉口进口停车线处(以4车道为例),安装道路龙门架上,分别对应4个车道设置4个天线,按典型交叉口道路环境预测,4个方向进口分别有左转1车道、直行2车道、右转1车道,按1个阅读器配2个天线计算,整个交叉口需要布量4个交通参数检测剖面、合计8台阅读器、4台4口交换机将全部阅读器进行联网,4个交通参数检测剖面将交通量数据实时送到信号机处理中心进行汇总处理。见图6。

3 结论与建议
1)本文所提出的基于RFID的交叉口流量检测,是1种新型的交叉口流量检测方法,是以RFID技术检测器作为基础的,将车辆检测器安装在交叉口进口停车线处,根据检测器的车辆数量和能够反映交通饱和程度的车辆时间占有率。
2) RFID在路费征稽、高速公路或各种停车场收费中的应用体现为不停车收费,高速公路不停车收费系统是RFID技术最成功的应用之一。
3)将RFID技术应用在交叉口流量检测,可以实时、高效的监管交叉口交通情况,并且能够为交叉口自适应信号配时提供精确的车流数据,及时发布信号灯相位信息,疏导交通,以达到强化交通指挥,有效提高交叉口的通行力的目的,从而实现交叉口的智能控制。
4)基于RFID技术的数据采集,在智能交通信息采集及交叉口管理中都具有很好的应用前景。
5)随着电子产品的发展,RFID技术的逐渐成熟,RFID产品价格也将在可取范围之内。
当然,基于RFID的交叉口流量检测,存在的问趣是进入交叉口的车辆必须安装有电子标签。本文只在流量检测上建立了相关的处理模型,对该模型的验证以及交叉口的其他重要参数的获取,还需要进一步探讨。为了提高交叉口通行能力,同时为了实现RFID技术能够应用于交叉口各种数据检测,还需要在实际的信号控制系统中得到充分验证。同时还希望与我国交通信号控制领域的工作者共同努力,对此技术作进一步改善,为实现自主创新的交通信号控制系统做出贡献,在智能交通中得到很好的运用。


