- 易迪拓培训,专注于微波、射频、天线设计工程师的培养
噪声系数测量的三种典型方法
1引言
噪声系数是微波产品研制和生产过程中的一项主要测量参数,是表征接收机及其组成部件在有热噪声存在的情况下处理微弱信号能力的关键参数之一,噪声系数的计量测试更是噪声计量测试的重要内容。
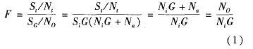
在工程上定义噪声因子(F)为若线性两端口网络具有确定的输入端和输出端,且输入端源阻抗处于290.K(室温)时,网络输入端信号噪声功率比与网络输出端信号噪声功率比的比值。

其中,Si为输入信号功率,Ni为输入噪声功率,So为输出信号功率,No为输出噪声功率,G为两端口网络增益,Na为两端口网络本身的噪声功率。
它明确地表明了由于网络产生噪声,使网络输入端信噪比经过该网络传输后信噪比恶化的倍数,也就是传输网络对其输出端总噪声功率贡献的大小。噪声系数(NF)为噪声因子的对数表达形式,定义如下:

可重复的、高精度的噪声系数测量方法是非常重要的,本文讨论其中三种典型方法:噪声测试仪法、增益法和Y系数法,并通过实验验证Y系数法的准确度。
2噪声测试仪法
使用噪声测试仪是测量噪声系数最直接方法,在大多数情况下也是最准确的。工程师可在特定的频率范围内测量噪声系数。噪声测试仪能够同时显示增益和噪声系数来帮助测量。噪声测试仪的测试原理图如图1所示。

图1噪声测试仪法原理图
噪声测试仪测试噪声系数的核心是Y系数法。首先,噪声测试仪本身是一台接收机,可以用来测试输人的噪声功率;其次噪声测试仪需要控制一个噪声源的加电和不加电状态,对被测件(DUT)进行测试。
噪声系数测试仪,如AV3984噪声系数分析仪,产生28VDC脉冲信号驱动噪声源(AV16604),该噪声源产生噪声驱动DUT.由于分析仪已知噪声源的输入噪声和信噪比,DUT的噪声系数可以在内部计算和在屏幕上显示。
使用噪声系数测试仪是测量噪声系数的最直接方法。测量人员可在特定的频率范围内测量噪声系数,通常噪声分析仪在超低的噪声测量中准确度更高一些,当测量很高的噪声系数时,测量结果会不准确。
3增益法
目前噪声系数的测量主要使用专用的噪声系数测试仪,但当不具备这种专用设备或者所要求测试频率范围不在其范围时,可以采用频谱分析仪测量噪声系数,即增益法,该方法对于频率在所用频谱仪频率范围内的被测件都能进行测量。
基于噪声系数的定义可以得到一个测量公式:

式(3)中,Pout是已测的噪声功率谱密度,-174 dBm/Hz是290°K(室温)时环境噪声的功率谱密度,BW是感兴趣的频率带宽,Gain是系统的增益。式(3)中每个变量均为对数,为简化公式,我们可以直接测量输出噪声功率谱密度(dBm/Hz),这时式(3)变为:

以接收机为例,测试原理如图2所示。

图2增益法测试框图
用信号源和频谱仪测量出接收机的增益(在接收机能够接收的电平范围都可以,如果感兴趣的是接近接收机小信号时的噪声系数,可以选择接近灵敏度电平,比如小于- 100 dBm的信号强度);为获得稳定和准确的噪声密度读数,选择最优的分辨带宽(RBW)与视频带宽(VBW),使频谱仪上的基底噪声看起来比较干净。视频带宽越小,频谱仪上显示的基底噪声越小,Pout读数越准确。
只要频谱分析仪允许,这种方法可以适用于任何频率范围。通常噪声分析仪在超低的噪声测量中准确度更高一些。对于系统增益非常高、噪声系数非常高的场合,这种方法也很准确。最大的限制来自于频谱仪的噪声基底。


