- 易迪拓培训,专注于微波、射频、天线设计工程师的培养
高阻器件低频噪声测试技术与应用研究--低频噪声测试技术理论(二)
2.1.2.2散粒噪声
在某些器件中会存在另外一种白噪声,这种白噪声不符合(2-4)式中热噪声的模型,并与器件有源区的载流子运动势垒有关,主要存在于二极管、双极晶体管、FET器件之中。由于这种噪声被扬声器放大后听上去像铅弹打到水泥上,因而被称为散粒噪声或散弹噪声(shot noise)。散粒噪声是由器件中的自由载流子穿过势垒导致的,所有穿过势垒的电子产生的电流脉冲效应在宏观上便体现为一个平均值一定的散粒噪声电流I,如下式所示:

由(2-5)式可导出散粒噪声的功率谱密度为:

(2-6)式中I是器件两端的直流电流,q为单位电荷。由此我们可以看到散粒噪声的一些特性。(2-6)式说明散粒噪声的功率谱密度与热噪声一样是常量,在功率谱密度坐标中是一条直线,该直线的量级与频率无关,因而散粒噪声同样是白噪声。从(2-6)式中我们还可以看到散粒噪声的幅度与器件两端所加电流成正比,是电流的一次函数,这反映了散粒噪声与热噪声的一个重要区别,即散粒噪声的存在依赖于电应力。当器件两端不加电压时,无直流电流流过,根据(2-6)式,此时器件两端散粒噪声为零,即没有电应力时,器件两端无散粒噪声。这里有一点值得注意,就是(2-6)式仅适用于中低频率。在高频时,散粒噪声会随频率的增高而增加,不再成为一条直线,因为在高频时少数载流子在势垒中的存在时间对散粒噪声的影响不可忽略。由于散粒噪声是一个与温度无关的物理量,因此降低温度对散粒噪声的影响不明显。若要降低散粒噪声的影响,只能通过降低器件两端的直流电压来实现。
2.1.2.3 1/f噪声
在四种噪声中,1/f噪声的研究具有最重要的价值,因此它成为目前低频噪声研究领域中研究最深入,最多的噪声成分。1/f噪声是指电子器件或材料中功率谱密度与频率成反比的噪声成分。
目前对于1/f噪声起因的研究中有两种并行的理论,支持两种理论的研究者曾经进行实验证实自己的理论并举出实验数据来证明另一种理论的错误[11],但是直到目前,1/f噪声的理论并不成熟,起因仍不明确。
迈克霍特在对1/f噪声的研究中第一次尝试对1/f噪声的起源做了解释,并提出了一种表面载流子涨落模型,随后这种模型不断被后来研究者发展。这种理论认为1/f噪声的起因是半导体中的自由载流子被表面氧化层中的陷阱所俘获,然后引起了载流子的涨落,这种涨落的宏观表现就是1/f噪声。虽然这种理论计算得到的结果都与实验结果有一定误差,然而还是被研究者广泛接受。
表面载流子涨落模型不能解释许多体材料中的1/f噪声。在这样的背景下,胡格提出了一种迁移率涨落模型来解释1/f噪声的起因,认为1/f噪声是由载流子迁移率涨落导致的。这种理论与体材料中的1/f噪声特性是一致的,但是却不适用于一些结构复杂的器件。
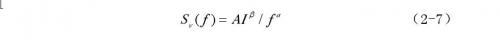
现在通常认为1/f噪声是由上述两种模型共同导致的,只不过不同的情况下不同的模型占据主导地位。1/f噪声的表达式如下:

(2-7)式中,I为通过器件的电流,A为跟器件性质有关的常量,α值为为0.8-1.2,通常取1,β通常取2.因此在对实际测得的功率谱密度进行分析或曲线拟合时,研究者们常会采用(2-7)式的简化形式:

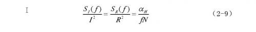
1/f噪声的电压功率谱密度如图2.3所示[9]。图2.3中Y轴S v(f)为电压的功率谱密度,单位为V 2 /Hz.1/f噪声的范围在10 -6 Hz-10 5 Hz之间,其转折频率受热噪声幅值影响。胡格提出了一个著名的经验公式:

该公式称为胡格公式。(2-9)式中,I是通过样品的电流;R是样品的电阻;N是样品中的载流子总数![]()
是由迁移率涨落决定的参数。

上一篇:负载电流的测量方法分析
下一篇:基于microblaze的手持示波函数表


