- 易迪拓培训,专注于微波、射频、天线设计工程师的培养
基于正交矢量放大的MRS信号采集模块设计----核磁共振信号采集模块的原理及分析
录入:edatop.com 点击:
2.3 MRS信号的提取原理及仿真
2.3.1 MRS信号参数的提取
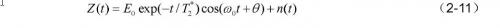
地面核磁共振找水信号表达式为:

其中E0为初始振幅,ω0为Lamor角频率,θ为初始相位,T2*为弛豫时间。由于核磁共振找水测量根据地磁场大小可计算出信号的Lamor频率,同时该信号是单频信号,故可用正交矢量放大方法检测提取其包络曲线:

从而获得MRS信号的E0、T2*、θ等各参数。
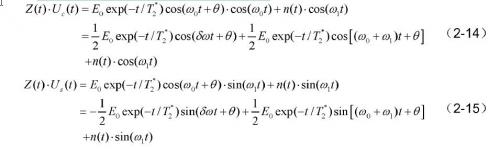
我们设MRS信号经过信号通道后为:

n(t)为噪声。
两路正弦波分别为

δω=ω0-ω1为频率差。
经过相敏检测器PSD实现信号相乘:

再经过低通滤波器LPF,滤除高频部分,得到:

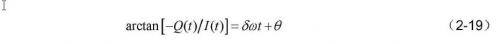
将I(t)、Q(t)经过数学计算:


再经过数据拟合就可以获得MRS信号的E0、T2*、θ等各参数。
2.3.2 MATLAB仿真
整个MRS信号包络提取过程可以用MATLAB来进行仿真.设MRS信号的初始振幅E0 = 200mV,Lamor频率f0 = 2300Hz,初始相位θ=π/3,弛豫时间T2* = 100ms.可以得到标准的MRS信号如图2.8所示。

与同频率的正余弦参考信号相乘后,经过数字低通滤波器(截止频率设为10Hz),可以得到标准的MRS信号的包络如图2.9所示。

实际测量中,MRS信号伴随有一定的噪声,而且参考信号也不可能完全与MRS信号同频率。图2.10和图2.11所示为含有高斯白噪声(信噪比为0.6)的MRS信号波形以及与频率为2290Hz的正弦波正交后得到的信号包络。可以看出本设计中使用的正交矢量放大方法可以很好地改善信噪比。


经过式(2-18)和式(2-19)所示的数据拟合,拟合结果如表2.1所示。



