- 易迪拓培训,专注于微波、射频、天线设计工程师的培养
基于CCD的新户外全彩LED显示屏的方法
LED(LightEmittingDiode,发光二极管)是当今世界发展最为快速的产业之一。LED高亮度、低能耗、长寿命的特点使得LED显示屏在户外平板显示领域优势明显。但是,LED间存在的光、电学特性差异通常会引起LED显示屏亮度、色度不一致,进而破坏显示屏的白平衡,降低显示品质,严重时还会造成花屏、马赛克等问题。在解决这一问题时,以往的研究主要集中在单个LED的光电学特性差异上面,目的在于找到RGB(红、绿、蓝)三基色LED合适的补偿曲线以修正其驱动控制参数来改善显示效果。这类检测和校正方案能较好解决花屏、马赛克等严重问题。可是,即便是同一基色、同一批次的LED间也存在特性差异,且LED全彩显示屏包含的LED像素点多,在生产、制造的过程中都难免会出现各种问题,将导致某个LED像素点不亮,或产生亮度、色度差。所以,这类检测方案对单个LED像素点的校正效果较差,显示效果改善有限。作为补偿方案,人工目测也只能检测出个别差异明显的LED像素点,且对检测人员的调试经验要求较高;同时,LED的高亮度也加大了检测人员的工作强度,致使检测效率低。
因此,本文从户外全彩LED显示屏整体着手,运用数字图像处理的方法对显示屏上的每个LED像素点进行快速检测,目的在于提高检测速度和准确度,从而改善户外全彩LED显示屏的显示效果。
1 检测原理
如图1所示,计算机通过图像采集/控制模块将CCD(ChargeCoupledDevices,电荷耦合器件)传感器采集到的LED显示屏的显示图像进行处理。处理过程主要包括LED像素点的定位和亮度、色度的快速检测两部分。
1.1 LED像素点的定位
要确定LED像素点的位置,首先要对采集的LED显示屏图像进行二值化。由基于直方图的图像阈值分割方法可以知道:图像由可以分离的具有不同灰度等级的一种或多种物体和背景组成。根据这一原理,图像的直方图中将会呈现多个峰值,每个峰值对应一种物体或是背景,要将不同的物体分离开,可以以谷值点为阈值来划分相邻峰值。
由于LED显示屏的点阵特性,实际检测中发现采集的图像(如图2(a)其灰度直方图(如图2(b))双峰分布特征十分明显。对于这类情况,采用式(1)的最大方差阈值法来自动选择分割阈值,不仅效果好,而且速度快。

式中T表示分割阈值,w0、w1分别表示灰度值小于T、大于T的像素点在图像中所占的比重, 0、1分别表示图像整体的灰度平均值、灰度值小于T的那部分图像的灰度平均值、灰度值大于T的那部分图像的灰度平均值。
利用式(1)计算出的阈值T对图2(a)的灰度图像进行二值化处理后得到图2(c),再对图2(c)分别进行水平和垂直投影,就可以计算出LED像素点在显示屏上的位置。

2(a)采集的蓝色图像 2(b)灰度直方 2(c)二值化图像
1.2 LED像素点亮度、色度的快速检测
借鉴成功用于PAL(PhaseAlternatingLine,逐行倒相制)制式的电视系统中的YUV颜色模型(Y表示亮度,U和V是构成彩色的两个分量),将图像中采用的RGB颜色模型转换成式(2)的颜色模型,可以方便、快捷地计算出各像素点的相对亮度值。

根据色度学中的加色法原理,户外全彩LED显示屏由RGB三基色LED构成显示屏上的每个像素点,通过控制每个像素点中的某基色LED的发光强度,就可以配出各种颜色,在显示屏上显示出丰富多彩的彩色图像。在CIE(国际照明委员会)rg色度图中,色度坐标反映的是三基色各自在三刺激值总量中的相对比例,一组色度坐标表示了色相相同和饱和度相同而亮度不同的那些颜色的共同特征。
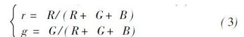
而LED显示屏上的每个像素点总是能在待测图像中找到对应的区域。因此,可通过其对应区域内图像数据中的RGB值来确定该像素点的色度,其计算公式如式(3)。

设测得的LED像素点的亮度值为Y1,色度坐标为(r1,g1),分析Y1、(ri,g1)的离散性,就能确定LED显示屏上亮度和色度不一致的LED像素点。
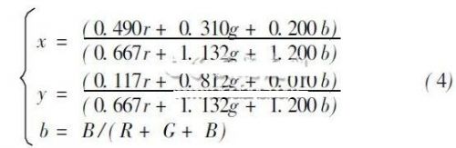
为验证检测方法的有效性, 本文用AvaSpec-2048微型光谱仪对同一户外全彩LED显示屏的单元模块进行了亮度和色度的对比测试。为减小计算量和方便调试, 本文采用了CIErg色度坐标系,这与光谱仪采用的国际通用的CIExy色度坐标系不同。因此,测试时要对色度坐标进行转换,如式(4)所示。

上一篇:开发针对ECU测试的硬件在环、高速仿真与数据采集系统
下一篇:使用NI
VeriStand实现汽车ECU的HIL测试-汽车电子


