- 易迪拓培训,专注于微波、射频、天线设计工程师的培养
基于CCD16点数学模型的全自动焦度计光学 像系统的设计
全自动焦度仪光学系统是产品设计的核心,为了提高自动焦度计的测量精度,提出一种新的测量图像。该图像在建立了16点数学模型并推导了镜片相关参数的计算方法。该算法将16个点分为四组进行计算,并取各组计算结果的平均值作为最终测量结果。根据16点数学模型的算法要求,设计了以FPGA和面阵CCD为核心的测量系统及16点图像二值化处理的算法。实验数据表明,该系统在测量精度及稳定性上都优于原有的基于4点测量图像的自动焦度计;该测量系统的技术指标已达到国家相关检验标准。
焦度仪主要用于测量眼镜镜片(包括角膜接触镜片和多焦点镜片)的顶焦度、柱镜度、棱镜度、光学中心及确定眼镜镜片的散光轴位方向等,在未切边的眼镜镜片上打印标记,并可检查眼镜镜片是否正确安装在镜架中的精密光学计量仪器。焦度仪又称屈光度计、镜片测度仪,广泛应用于医院眼科、眼镜店和镜片厂家。
目前,国内生产的自动焦度计主要基于两种测量原理:自动调焦原理和投影原理。基于自动凋焦原理的焦度计多采用高分辨率、双线阵CCD获取光路信号,通过数字信号处理系统进行信号采集、分析和计算,并驱动步进电机进行自动对焦,从而得到镜片的相关参数。基于投影原理的自动焦度计采用高分辨率面阵CCD获取图像,通过FPGA对图像位置形状进行处理,得到被测镜片的相关参数。与基于自动调焦原理的焦度计相比,投影式自动焦度计具有测量速度快、加工成本低等优点。但是,该焦度计采用四个测量点建立数学模型,光学系统的容错能力较差。光路中一旦存在障碍物,如分划板上落有灰尘,系统会出现错误的测量结果或停止测量。
文中所研究的焦度计是基于投影原理的自动焦度计。但是,与国内同类产品不同的是,本文所研究的自动焦度计采用了一种新的测量图像建立数学模型,其测量精度和稳定性较国内同类产品有了较大的提高。
1 全自动焦度计光学算法推导
1.1 全自动焦度计的工作原理
图1为自动焦度计的光路原理图。点光源发出的光,经准直镜准直,照射到被测眼镜片上发生偏折,再经过分光光阑和测量透镜投射到CCD上,在CCD上得到含有数学模型的图像。由于被测镜片的屈光状态不一样,在CCD上所成像的大小、位置和形状会发生变化,通过CCD接收和微机对图像位置形状的处理,可得到被测镜片的相关参数。

1.2 16点数学模型
图2为无测量镜片,即OD时,CCD上的成像分布图。当被测镜片为负球面镜时,十六个光斑相对于初始位置对称地扩张;当被测镜片为正球面镜时,十六个光斑相对于初始位置对称地收缩。将16个光斑按图3虚线所示分成四组。分别求出X方向或者Y方向上两个像点之间的距离,即可得到被测球镜的顶焦度S值。设四组光斑求出的顶焦度值为S1、S2、S3和S4,则S值为


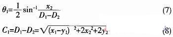
当被测镜片为柱面镜时,CCD上的光斑分布图如3所示。由于柱面镜含有两个主顶焦度,因此,16个光斑成不对称分布。现以其中一组光斑(4个测量点)为例推导柱面镜主顶焦度的计算方法。设A点与C点在X轴方向上的距离为x2,在Y轴方向上的距离为y1;设B点与D点在X轴方向上的距离为x1,在Y轴方向上的距离为y2。假设D1、D2分别为柱面镜的两个主顶焦度,θ为柱面镜的轴角。有以下方程成立

上一篇:ZigBeeSoC的设计研究
下一篇:锗化硅(SiGe)技术在测试技术中的应用


