- 易迪拓培训,专注于微波、射频、天线设计工程师的培养
利用差频电路实现微电容式传感器检测电路的温漂抑制
对于t0时刻Vin的上升沿与Vck下降沿重合的情况,分析与上面完全类似,可得到相同的结果。
下面考虑更一般的情况。当Tin不是△T的整数倍时,仍假设t0时刻输入不同频率,不同占空比时Vout和Vck同为下降沿,分析过程同上,不同的是,在Vout经过λTck的时间后,由于Tin不是△T的整数倍,Vin和Vck无法再次同时达到下降沿,对于下一周期的分析将无法套用以上的过程。
因此考虑一个相对长的时间内,t0到t0+T之间各信号频率的关系。Vin走了T/Tin个下降沿,T/Tin或T/Tin+1个上升沿,Vck走了T/Tck个下降沿。Vin比Vck多走了T/Tin-T/Tck个周期。按以分析方法可得出,Vout会有T/Tin-T/Tck个下降沿,可以认为Vout周期为:

由式(13)可以看出,通过两个相同电路的频率求差,电源、阈值电压和温度对频率的影响中各自最主要的一项被消去,大大降低了对电容-频率特性的影响。
2.3接口电路的温漂特性
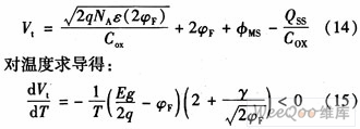
根据半导体理论,MOS管阈值电压可表示为:

分别将-40℃~60℃代入式(14)、式(15),最终得到各温度下对应的阈值电压值。从而知道阈值电压的绝对值随温度的升高而减小,又已知输出频率受工艺波动成正比关系,由此推断输出频率随温度升高而降低。这将在后面的仿真测试中得到进一步验证。
3设计和模拟结果
作为传感器的接口电路,希望在环境温度变化的情况下可以得到稳定的输出频率。在温度变化范围在-40℃~60℃、参考电容为14.5 pF的情况下,对图1检测电路分别进行了仿真和测试。观察图6、图7可以发现:输出频率与温度近似成反比关系,进一步验证了上述对温漂特性分析结论的正确性;差频后的温度系数大约为14 Hz/℃,对于灵敏度为46 fF/hPa的气压传感器,相对于10.04:Hz/fF的灵敏度温度的影响是可以忽略的;差频前的测试数据曲线与仿真的数据曲线有一个距离,这是与电流源在实际工作中的电流值偏小有关,但并不影响整体电路输出结果的检测;测试曲线的斜率绝对值大于仿真曲线斜率绝对值,这是由于仿真中只考虑了温度变化引起的阈值电压变化,而实际测试中温度变化引起的工艺参数和器件参数的变化以及搭建电路受到的测试环境的各种干扰都将影响测试的数据。这可以在后续工作中通过考虑封装提高可靠性。结果表明,差频结构可滤去绝大部分影响,以至将温度的影响完全抑制在精度的允许范围内。

本电路的目的是为本实验室新一代传感器提供一个读出接口。通过前期对传感器的准确测试,传感器的基本电容约为10 pF,变化从7 pF到14 pF。该电路的参考电容值为14.5 pF,为了使传感器一级输出频率大于参考频率并满足2fd/3
4 结束语
通过SPICE仿真,可以看出,改进后的电路结构满足了提出的各项目标。由于该电路是用频率的变化反映敏感电容的变化,具有准数字输出的特点,只要用一个计数功能的单片机,即可实现信号的采集。
工艺的波动会对电路的电容-频率转换特性产生影响,从而引起流片结果个体间的差异。因此,必须对每个传感器分别定标,这样,工艺的波动才不会使单个传感器产生偏差。


