- 易迪拓培训,专注于微波、射频、天线设计工程师的培养
数字滤波技术在精密测量仪表中的应用研究
摘要:数字滤波技术是信号处理中一种重要的去噪消除干扰方法。通过分析,在介绍嵌入式计算机和24位A/D数据采集系统在微弱信号测量仪表中应用的基础上,给出了数字滤波的一般方法和步骤,研究了平均值滤波、零点偏移滤波和输入短路本机噪声滤波3种数字滤波方法,实验结果表明数字滤波技术在精密测量仪表中能提高仪表的测量精度,具有良好的实用性。
0 引言
嵌入式计算机在测量仪表中的广泛应用,为精密测量仪表中实现数字滤波创造了良好条件,特别是在微弱信号测量仪表中,数字滤波的作用更加突出,不仅对抑制噪声、消除干扰能够起到辅助作用,而且对提高仪表的测量精度、减小测量误差具有重要作用。以下通过实验方法,对ZJL801纳伏电压标准装置研制中所采用的数字滤波方法进行实验研究与分析。
ZJL801纳伏电压标准装置是自行研制的一台低频超小电压标准装置,具有超强的噪声抑制能力和抗干扰能力,其自动控制、数据采集与处理部分由嵌入式PCI04/586计算机、逻辑控制电路板、24位A/D数据采集卡、液晶显示屏和面板控制键盘组成。
小电压及超小电压测量需要解决的难点和关键问题是消除噪声和干扰对测量结果的影响。交流小电压或超小电压经过前端放大、带通滤波、相关处理、低通滤波,转换为直流中电压,经计算机数据采集与处理后在液晶屏显示输出。信号相关处理是消除噪声和干扰的关建环节,但在数据采集与处理过程中采用数字滤波技术不仅能够起到降低噪声和干扰的辅助作用,而且还能减小测量误差,提高测量精度。纳伏电压标准装置在测量数据的自动采集与处理中采用了多种数字滤波方法,这里对其中的平均值滤波法、零点偏移滤波法和输入短路本机噪声滤波法进行了实验分析。
1 数字滤波方法与步骤
1.1 数学模型的建立
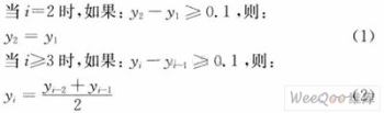
针对影响测量结果的某一因素建立数学模型。例如:因设计造成的放大倍数或衰减比例偏差而产生的系统误差可通过测量结果乘以相应的修正因子或除以相应的系数进行修正。如果要滤去因外界干扰造成的测量结果异常值或随机误差偏大的测量值,即剔除粗大误差,可建立以下数学模型:

式中:i=3,4,…,20,yi为依次采集的被测量的电压值。
1.2 经验值的选定
在所建立的数学模型中,代表某一特定规律的常数(如零点偏差、仪器输入短路本机噪声等)可通过实验测得经验值。
1.3 计算机数据处理
计算机所采集的原始数据一般都带有一定的误差。数据处理就是通过多次重复采集平均降低噪声的影响,减小随机误差,通过误差修正减小系统误差,或根据粗大误差的判别准则剔除非正常值,从而提高测量精度。
1.4 实验验证
将数字滤波后的测量结果与未经数字滤波的测量结果进行比较,对相应数字滤波方法的有效性和准确性进行实验验证,并对最后测量结果进行合理性分析。
2 平均值滤波法
2.1 数学模型

式中:i=l,2,3,…,20,y为电压测量结果,xi为依次采集的被测电压值。
2.2 实验结果
用5520A多功能校准源输出频率为30 kHz,幅度为100mV的交流电压,经105∶1同轴衰减器衰减后输入到ZJL801纳伏电压标准装置输入端,分别进行单次数据采集测量、lO次数据采集平均测量和20次数据采集平均测量。实验结果如表l所示。
表1中,测量值根据显示屏显示测量值变动范围和中心值出现的频率得到。

2.3 结果分析
实验结果表明:数据采集次数越多,测量结果波动范围越小,测量精度越高。但是24位A/D数据采集器采样速率受到较大限制,每组采集次数一般不超过20次。
3 零点偏移的消除
3.1 数学模型
y=x-k (4)
式中:y为已消除零偏的测量值,x为所采集一组数据的平均电压值,k为零点偏移经验值。
3.2 经验值的确定
本仪器的零点只是一个相对零点,很难真正调节到零状态,它会随着时间和温湿度的变化而漂移,一般情况下在量程的O.05%~0.5%之间变化,通电时间达到2 h以上时,可稳定在O.2%~0.3%之间。必要时可临时调节到量程的O.002%~O.01%之间。本实验选定的零点经验值为量程的O.25%。
来源:维库开发网
上一篇:基于JTAG仿真器的DSP中断检测处理技术
下一篇:数据中心测试面临的挑战


