- 易迪拓培训,专注于微波、射频、天线设计工程师的培养
一种无线传感器网络分簇路由算法研究
0 引 言
随着微电子工艺和无线通信技术的飞速发展,无线传感器网络(WSN)的研究越来越受到人们的重视。传感器网络(sensor network)是由部署在观测环境附近的大量微型廉价低功耗传感器节点组成,通过无线通信方式组成一个多跳的无线网络系统。由于无线传感器网络通常部署在人无法接近或者高危险区域,且数量众多,这使得随时更换节点能量变得非常困难。在监测区域内传感器节点采集的相关信息,通常携带一次性电池且能量有限,在经过一段时间的数据采集后,无线传感器网络存在严重的能量约束问题。所以,传感器网络协议的首要设计目标就是要高效地使用传感器节点的能量,延长网络的存活时间。将传感器节点组织成簇的形式,以有效地减少能量消耗,许多能量高效的路由协议都是在簇结构的基础上进行设计的。
LEACH是一个典型的自适分簇协议,网络中节点通过随机方式自组织形成簇,在分配给的时隙向簇首发送数据,簇首对收到的数据融合后在每帧结束后直接与基站通信。节点轮流担任簇首,均衡了网络的能耗,但簇首在当选时,没有考虑节点的能量高低,若节点能量很低,仍要担当簇首时,会加速它死亡。另外,数据直接发送到基站,会使距基站较远的节点能耗很大,导致局部节点提前死亡,产生监控盲点。
由于LEACH算法没有考虑节点的剩余能量及与基站的距离等因素,很多文献提出了相应的改进算法,如EBAC胡是在LEACH协议的基础上,周期性地选用当前轮剩余能量最大的节点担任下一轮簇头。LEACH-D是基于LEACH的多跳路由算法。文献[6]提出了构建能量均衡簇群的方法,LEACH-L综合考虑了节点的位置和能量的多跳路由算法。
本文在LEACH协议的基础上,以降低簇头直接和基站远距离通信的能量损耗为首要目标,同时在二层簇头选择时综合考虑了节点的剩余能量和基站的距离.并且改进了簇头间的多跳路径,避免使用低能量的节点。通过Matlab仿真表明,该算法能进一步均衡簇头节点的能量消耗,延长网络的生命周期。
1 系统模型
N个传感器节点随机均匀分布在一个正方形区域内,周期性地收集周围环境信息,并且具有如下性质:
(1)所有传感器节点部署后不再移动,且都有1个惟一的标识ID;
(2)基站惟一,且位于离采集区域较远的一个固定位置;
(3)所有节点具有相似的能力(处理/通信),都具备数据融合功能;
(4)若已知对方的发射功率,节点可以根据接收信号的强度计算出发送方离它的近似距离;
(5)节点的能量不能补充,节点的发射功率可控。
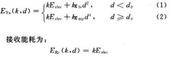
这里采用与文献[2]相同的无线通信模型:根据距离阈值d0,分别采用自由空间模型和多路衰减模型。发送方发送k比特的数据到距离为d的接收方所消耗的能量为:

2 CAED算法描述
在LEACH基础上,提出一个基于能量和距离的分簇算法(clustering algorithm based on energy anddistance)。该算法按轮运行,每轮分为二层簇头的建立,簇内节点数据转发和稳定数据的传输。
2.1 二层簇头的建立
在簇建立阶段,首轮担任簇头的节点由基站随机确定。簇头的个数根据监测区域的位置、大小及网络规模来确定。被选中担任簇头的ID由基站依次在网络中进行广播,网内节点对逐次收到的ID与自己的进行对比,相同的即为本轮的簇头。簇头全部选出以后,再向全网广播簇头ID。簇内节点在每轮数据传输的最后一帧,把剩余能量等信息一起发送至各自簇头。簇头对各簇内节点的剩余能量进行比较,选举剩余能量最大的节点作为下一轮簇头,这样建立了第一层簇头。
第二层簇头的建立和通信模式与LEACH有较大的区别。每轮选出的第一层簇头成为第二层簇头的普通节点,在LEACH中这些节点直接与基站通信。由式(1)可以看出,放大器能耗远大于电路能耗,且放大器能耗中与通信距离d有直接关系,因此在产生第二层簇头时,充分考虑了节点的剩余能量和节点与基站间距离等因素。产生第二层簇头的阈值按如下公式计算:
![]()
式中:Eresidual(i)标识为i的簇头的剩余能量;BSdistance(i)标识为i的簇头与基站之间的距离。每轮在产生完第一层簇头且簇头能量高于某一个值Eth(若节点低于Eth就认为节点失效)时,各簇头比较Tch值,找出其中Tch最大值为第二层簇头。因此,第二层簇头既有较高的能量,又距基站较近,这样既能减少转发数据时所消耗的能量,又能保证节点能量不会很快耗尽,而影响数据的采集。
2.2 簇内节点数据转发
每轮第一层簇头选出来后,节点依据收到广播信号的强度选择要加入的簇,此时簇内通信采用自由空间模型。与第一层簇内节点数据通信不同,由于第二层簇内节点距离簇头较远,有些可能远远超过了d0值,而数据通信采用的自由空间模型不一定正确,另外,直接与簇头通信的能量消耗较大。因此,假设远离簇头的节点可与临近的、能量高于自己的节点通信,且数据经过多路转发直至簇头,满足上述假设条件如式(4)所示:

由于每一轮每个簇头在簇中的位置以及簇内节点的个数会发生动态变化,为便于分析式(4)的最佳临近节点,在图1中列出了某种状态下4种典型的数据转发方式。
作者:刘 琼 成 运 来源:21IC电子网
上一篇:基于DSP与FPGA的全姿态指引仪的设计
下一篇:一种基于DSP自相关算法的高灵敏度数字接收机在卫星地面干扰源查找中的应用


