- 易迪拓培训,专注于微波、射频、天线设计工程师的培养
基于LabVIEW 的汽轮机转子温度监侧系统
摘要:汽轮机转子的温度场是汽轮机组安全平稳运行的重要参数。在LabVIEW虚拟仪器开发平台上构建了具有温度数据采集、显示、分析、存储和报警等功能的汽轮机转子温度监测系统。该监测系统利用蒸汽温度测量数据通过数学模型得出汽轮机转子温度,具有精度高、可靠性好、构建方便等优点
汽轮机组在起、停机或者变负荷过程中,由于蒸汽温度的变化,汽轮机转子内部将产生很大的温度梯度,使得转子承受很大的热应力和热变形,导致转子工作损耗。汽轮机转子高、低温度变化形成热应力的循环,经过多次作用后,会在转子表面和中心孔壁形成裂纹,当裂纹达到临界值就会发生转子断裂,造成事故。为此,本文采用美国国家仪器公司的图形化编程软件LabVIEW[1]作为监测系统的开发平台,构建汽轮机转子温度监测系统。通过对汽轮机转子温度的监测与分析,寻找出温度对转子的影响因素,以便在汽轮机组的运行中合理控制温度参数,降低转子的寿命损耗。
1 方案设计
以C50-8.83/0.98型汽轮机为研究对象,利用蒸汽温度测量数据通过数学模型得出汽轮机转子温度。汽轮机转子温度系统主要有数字滤波及显示、信号处理、数据存储、温度报警等功能。由于该监测系统的温度数据是计算温差得到的,其结果的正确性依赖于监测模型的准确性。汽轮机转子物理模型见图1,该模型根据转子的运行工况及温度分布特征简化后得到,共19级。

汽轮机转子温度监测系统采用图形以数字和温度计2 种方式显示转子温度的分布,以便直观地观察温度变化趋势(图2)。

2 温度场计算模型
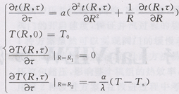
将汽轮机转子简化为有中心孔的无限长圆柱体,其数学模型及边界条件[2]为:

式中:T为转子温度;R为转子任一点的半径;r为时间;a为热扩散率;T0为初始温度;a为蒸汽与转子表面间的换热系数;Ts为与转子外表面接触的蒸汽温度;R1、R2分别为转子内、外径,λ为转子材料的导热系数。
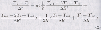
据数学模型,采用一维差分法得到克兰克-尼科尔森差分[2] (2):

式中:T′i、T′i-1、T′i+1分别为下一时刻节点i、节点i-1、节点i+1的温度值;Ti、Ti-1、Ti+1分别为该时刻节点i、节点i-1、节点i+1的温度值;△τ为间隔时间;Ri为节点i处的半径;ΔR为分层厚度。
将得到的差分方程采用公式节点在LabVIEW中进行运算,其程序如图3所示。

3 数据处理
数字信号处理模块是汽轮机转子温度监测系统中的重要组成部分,其主要对采集的数据进行分析和处理。在实际测试和数据采集过程中,对监测系统自身振动和外界干扰(电磁干扰、噪声)等,可在信号滤波模块加入低通滤波器抑制环境中50Hz或60Hz噪声干扰并对数据进行频谱分析[3]。利用仿真信号模拟温度传感器信号,再加入各种噪声信号对汽轮机转子温度监测系统进行测试,表明经数字信号处理模块运行后得到的汽轮机转子温度数据完全符合要求。其程序框图如图4所示。

4 数据存储及报警
汽轮机转子温度监测系统具有数据存储的功能,可查看和分析历史温度数据,以便指导汽轮机的运行。该系统采用 LabVIEW 文件存储方式,并按照一定的时间周期生成报表。记录数据时,应注意避免在同一时间内因计数器被重复调用而生成多余数据。
汽轮机转子温度监测系统具有温度报警功能,对转子设置了最高温度限制和最低温度限制闭,当实时的转子温度超过或者低于设置温度时,监测系统将产生报警。
5 结语
利用LabVIEW图形软件编制的汽轮机转子温度监测系统,通过测量蒸汽温度并根据机组特性计算出转子温度,实现转子温度监测。由汽轮机转子温度的变化,可判断转子的热应力变化,为及时发现故障和降低转子寿命损耗提供了保障,提高了汽轮机运行的安全性、稳定性、经济性。基于LabVIEW的汽轮机转子温度监测系统不仅实现了传统汽轮机转子温度监测仪器的各种功能,而且扩展了监测功能,使监测更加开放、灵活,并具有图形化的编程方式,开发时间短,维护费用少等优点。
[参考文献]
[1] 胡仁喜,王恒海,齐东明,等.labVIEW8.2.1虚拟仪器实例指导教程[M].北京:机械工业出版社,2008.
[2] 刘彦丰,郝润田,高建强.汽轮机转子温度场在线计算模型研究[J].华北电力大学学报,2007,34(4), 69-72.
[3] 张丙才,刘琳,高广峰,等.基于LabVIEW的数据采集与信号处理[J].仪表技术与传感器,2007(12):74-75.
[4] 毕仲波,杨建柱,王学同.影响汽轮机转子热应力及寿命的因素分析[J].山东电力技术,2002(3):5-9.


