- 易迪拓培训,专注于微波、射频、天线设计工程师的培养
数字万用表测量电容功能的扩展
摘 要:介绍使用普通数字万用表的直流电压档在线测量电容和扩展电容测量范围所使用的技术。 关键词:在线测量;电容;数字万用表 通用的三位半或四位半数字万用表都设有电容测量功能,但测量范围较窄及测量的准确度较低,而且一般没有在线测量功能。本文讨论如何扩展这些功能。 1 在线测量电容
根据微分积分电路性质,可将电容的测量转换成电压测量。测量原理和转换电路图如图1。
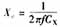
即,被测电容CX与输出电压C0成 正比,从而实现了CX→V转换。为了使电容基本档与数字万用表2V档对应,选文氏振荡器振荡频率为400Hz,电压有效值为1V,R1取20kΩ,C1取0.1μF。R2从200Ω-2kΩ-20kΩ-200kΩ-2MΩ变化,对应的测量电容量程为20μF-2μF-200nF-20nF-2nF。
2 测量小电容
一般的三位半数字万用表测量电容的量程为2000pF~20μF,它对1pF以下微小电容的测量显得无能为力。根据容抗法并采用高频信号可以实现对微小电容的测量,测量电路图如图2。CX为被测电容,Rf为反相端反馈电阻。当输入频率为f的正弦信号Vi时,CX上呈现的阻抗
,运算放大器的增益为:
当A、Rf一定时,正弦信号频率f与被测电容CX成反比。为测量较小的电容,使用高频信号测量。

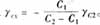
实现测量的电路原理方框图如图2(b)。测量过程为:高频信号发生器产生的高频正弦信号施加于被测电容上,将CX变换成容抗Xc,再通过C/ACV转换把Xc变成交流电压信号由放大器放大,隔离变压器输出送至相敏解调器解调;相敏解调器另一输入是高频正弦波通过波形变换器产生的方波(即解调信号),两路输入信号同频同相。解调后的信号经过低通滤波器加以滤波得到一与被测电容CX值成正比例的直流电压,送至直流电压表直接显示测量结果。波形变换器由反相输入的过零比较器构成,它将来自文氏振荡器的标准1MHz高频正弦波变成标准的反相方波。由于相敏解调器的输出是一个含有高频谐波的脉动直流电压,所以,为了得到一个稳定的、恒定的直流电压输出,采用了一级π型滤波器以滤除谐波成分。最后将对应的电压平均值送至直流电压表。为了使电容基本档与数字万用表2V档对应,高频正弦信号的频率选 为1MHz(频率太高要考虑分布参数),电压的有效值为1V,电路放大倍数与反馈电阻Rf的乘积为
,这样数字万用表直流电压档200mV对应电容档为0.2pF,200V对应电容档为200pF,测量范围为10-4~102pF,分辨率为10-4pF,测量准确度为±5%。
3 测量大电容
大电容的测量根据电容的串联特性进行。将被测的大电容CX与一已知标准的高精度小电容C1串联,串联的结果为C2。被测的大电容值CX=C2 C1/(C1-C2)。从理论上讲,被测的大电容可为无穷大,但考虑测量的范围、准确度及分辨率,能测量的大电容只可 以达到几千法拉。根据误差传递公式,即使不考虑标准电容C1的误差
,当C1与C2非常接近的时候,数字表测量极限的半个字误差的作用非常明显。例如,标准的小电容C1为1μF,若串联的结果C2为0.998μF,从理论上计算可得CX为499μF,但由于数字表的半个字误差(最末显示字有半个字误差),C2的结果在0.9975~0.9985μF之间,CX在399~666μF之间,这时误差可能高达30%,结果可信度太低;若串联的结果C2为0.990μF,从理论上计算可得CX为99μF,同样考虑半个字误差,C2在0. 9895~0.9905μF之间,CX在94~104μF之间,这时误差为5%左右,结果可信度较高。由此可见,被测的大电容为串联的小电容几十倍时,测量的准确度较高,误差较小。所以,串联10μF电容时测量几百μF的结果是可靠的,但若为几千μF时,其值只能作为参考,误差较大。
通过简单的电路设计,数字万用表的直流电压档就能对电容进行在线测量,并能准确测量出10-4pF~几百μF电容,电容的测量由6个数量级扩展到12个数量级(在线测量也能达到6个数量级)。电路的改变只在前级进行,不涉及数字万用表的内部,所以,实现起来简单易行。
参考文献
[2]沙占友.新型数字万用表原理与维修[M].电子工业出版社,1994.
上一篇:FTP中数字滤波器的优化设计
下一篇:下一代网络设备核心单元-网络处理器应用研究


