- 易迪拓培训,专注于微波、射频、天线设计工程师的培养
基于MC145152-2芯片的频率合成器的设计
录入:edatop.com 点击:
1 引 言
频率合成技术是现代通信的重要组成部分,它是将一个高稳定度和高准确度的基准频率经过四则运算,产生同样稳定度和准确度的任意频率。随着大规模集成电路的发展,利用锁相环频率合成技术研制出了很多频率合成集成电路。其中,以摩托罗拉公司的MC14515x-2系列较为先进,本文将介绍一种基于MC145152-2芯片的频率合成器。这种锁相环频率合成器的稳定度和准确度与基准频率相当,不产生额外的误差。它在移动通信等领域有着广泛的应用。
2 MC145152-2芯片的特点及功能
MC145152-2芯片是摩托罗拉公司生产的锁相环频率合成器专用芯片。它是MC145152-1芯片的改进型。MC145152-2芯片具有下列主要特征:
(1)它与双模(P/(P+1))分频器同时使用,有一路双模分频控制输出MC。当MC为低电平时,双模分频器用(P+1)去除;当MC为高电平时,双模分频器用模数P去除。
(2)它有A计数器和N计数器两个计数器。它们与双模(P/(P+1))分频器提供了总分频值(NP+A)。其中,A、N计数器可预置。N的取值范围为3~1023,A的取值范围为0~63。A计数器计数期间,MC为低电平;N计数器计数(N-A)期间,MC为高电平。
(3)它有一个参考振荡器,可外接晶体振荡器。
(4)它有一个R计数器,用来给参考振荡器分频,R计数器可预置,R的取值范围:8,64,128,256,512,1024,1160,2048。
(5)它有两路鉴相信号输出,其中,ФR、ФV用来输出鉴相误差信号,LD用来输出相位锁定信号。
MC145152-2的供电电压为3.0 V~9.0 V,采用28脚双列封装形式。MC145152-2的原理框图如图1所示。
MC145152-2的工作原理:参考振荡器信号经R分频器分频后形成fR信号。压控振荡器信号经双模(P/(P+1))分频器分频,再经A、N计数器分频器后形成fV信号,fV=fVCO/(NP+A)。fR信号和fV信号在鉴相器中鉴相,输出的误差信号(ΦR、ΦV)经低通滤波器形成直流信号,直流信号再去控制压控振荡器的频率。
当整个环路锁定后,fV=fR且同相,fVCO=(NP+A)fV=(NP+A)fR,便可产生和基准频率同样稳定度和准确度的任意频率。
3 1 800 MHz频率合成器的设计〔1〕
3.1 1 800 MHz频率合成器元件的选取
锁相环频率合成器选用芯片MC145152-2。晶振选用10.24MHz的温补晶体,它的频率稳定度较高,可达10-8。低通滤波器选用运放芯片MC33171;双模分频器选用MC12054A芯片,模数P=128,工作频率为2.0 GHz;压控振荡器选用变容管电调谐介质振荡器。
3.2 MC145152-2芯片参数的设计

R的取值范围=512,RA2~RA0为100,
N的取值范围=703,N9~N0为1010111111,A的取值范围=16,A5~A0为010000。
R计数器、N计数器、A计数器可预置,各管脚接地为逻辑0,悬空为逻辑1。
3.3 1 800 MHz频率合成器电路的设计
1 800 MHz频率合成器电路图,如图2所示。
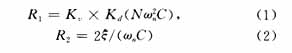
图2中,运放芯片MC33171构成了有源比例积分滤波器,在设计时首先选择合适的电容C,然后,再根据ωn、N、Kv、Kd和ξ计算R1和R2的值。

式(1)和式(2)中,Kv为压控振荡器电调灵敏度(rad/sV);Kd为比相器灵敏度,Kd=VDD/2π,VDD是运放的工作电压(VDD=5 V),Kd单位取V/rad;N为总分频次数;ξ为锁相环路的阻尼系数,ξ的合适取值范围是在0.5~1.0之间,通常选择最佳起始点ξ=0.707;ωn为环路自然谐振角频率,ωn值的选择将直接影响环路滤波特性和捕捉时间,为了保证环路对噪声有较好的抑制,ωn应该远小于鉴相频率ωd,通常可按式(3)选择
ωn=ωd/(30~1 000),(3)
当噪声来源于参考频率和分频器时,ωn可以选择得小些;当噪声来源于压控振荡器时,ωn可选择得大些。
具体计算如下:
Kd=VDD/(2π)=5/(2π)=0.796 V/rad,

故:R1选用4.7 kΩ电阻,R2选用120 kΩ电阻。
变容管电调谐介质振荡器〔2~4〕如图3所示,把变容管通过微带线与介质振荡器耦合形成电调谐电路,调谐电压加在变容管两端,改变变容管结电容,就可以实现谐振频率的调整。

这种介质振荡器体积小、高稳定、低噪声,能够满足锁相环路的要求。
4 测试结果
经测试,本频率合成器具有较低的相位噪声,在偏离载频100 Hz、1 kHz、10 kHz时,相位噪声分别为-35dBC、-65 dBC、-85 dBC(见图4)。它的频率稳定度也很高,在-20℃~+55℃范围内可以稳定在10-8以内。
5 结束语
本文将锁相环频率合成器专用芯片MC145152-2、变容管电调谐介质振荡器用于1 800 MHz频率合成器中,使该频率合成器具有较低的相位噪声、很高的频率稳定度。与传统频率合成器相比,性能有了很大的提高。该频率合成器在移动通信等领域将有着广泛的应用。
1 何 强.一种先进的N分数锁相环频率合成器.电子工程师,2002(12)
2 中国集成电路大全编委会.微波集成电路.北京:国防工业出版社,1995
3 B S Virdee.Current TechNIques for Tuning Dielectric Resonators.Microwave Journal,October 1998:130~1384 彭文峰,廖 佳,于小军.Ku波段高线性度DRO的设计.电子工程师,2002(12)
频率合成技术是现代通信的重要组成部分,它是将一个高稳定度和高准确度的基准频率经过四则运算,产生同样稳定度和准确度的任意频率。随着大规模集成电路的发展,利用锁相环频率合成技术研制出了很多频率合成集成电路。其中,以摩托罗拉公司的MC14515x-2系列较为先进,本文将介绍一种基于MC145152-2芯片的频率合成器。这种锁相环频率合成器的稳定度和准确度与基准频率相当,不产生额外的误差。它在移动通信等领域有着广泛的应用。
2 MC145152-2芯片的特点及功能
MC145152-2芯片是摩托罗拉公司生产的锁相环频率合成器专用芯片。它是MC145152-1芯片的改进型。MC145152-2芯片具有下列主要特征:
(1)它与双模(P/(P+1))分频器同时使用,有一路双模分频控制输出MC。当MC为低电平时,双模分频器用(P+1)去除;当MC为高电平时,双模分频器用模数P去除。
(2)它有A计数器和N计数器两个计数器。它们与双模(P/(P+1))分频器提供了总分频值(NP+A)。其中,A、N计数器可预置。N的取值范围为3~1023,A的取值范围为0~63。A计数器计数期间,MC为低电平;N计数器计数(N-A)期间,MC为高电平。
(3)它有一个参考振荡器,可外接晶体振荡器。
(4)它有一个R计数器,用来给参考振荡器分频,R计数器可预置,R的取值范围:8,64,128,256,512,1024,1160,2048。
(5)它有两路鉴相信号输出,其中,ФR、ФV用来输出鉴相误差信号,LD用来输出相位锁定信号。
MC145152-2的供电电压为3.0 V~9.0 V,采用28脚双列封装形式。MC145152-2的原理框图如图1所示。

MC145152-2的工作原理:参考振荡器信号经R分频器分频后形成fR信号。压控振荡器信号经双模(P/(P+1))分频器分频,再经A、N计数器分频器后形成fV信号,fV=fVCO/(NP+A)。fR信号和fV信号在鉴相器中鉴相,输出的误差信号(ΦR、ΦV)经低通滤波器形成直流信号,直流信号再去控制压控振荡器的频率。
当整个环路锁定后,fV=fR且同相,fVCO=(NP+A)fV=(NP+A)fR,便可产生和基准频率同样稳定度和准确度的任意频率。
3 1 800 MHz频率合成器的设计〔1〕
3.1 1 800 MHz频率合成器元件的选取
锁相环频率合成器选用芯片MC145152-2。晶振选用10.24MHz的温补晶体,它的频率稳定度较高,可达10-8。低通滤波器选用运放芯片MC33171;双模分频器选用MC12054A芯片,模数P=128,工作频率为2.0 GHz;压控振荡器选用变容管电调谐介质振荡器。
3.2 MC145152-2芯片参数的设计

R的取值范围=512,RA2~RA0为100,
N的取值范围=703,N9~N0为1010111111,A的取值范围=16,A5~A0为010000。
R计数器、N计数器、A计数器可预置,各管脚接地为逻辑0,悬空为逻辑1。
3.3 1 800 MHz频率合成器电路的设计
1 800 MHz频率合成器电路图,如图2所示。

图2中,运放芯片MC33171构成了有源比例积分滤波器,在设计时首先选择合适的电容C,然后,再根据ωn、N、Kv、Kd和ξ计算R1和R2的值。

式(1)和式(2)中,Kv为压控振荡器电调灵敏度(rad/sV);Kd为比相器灵敏度,Kd=VDD/2π,VDD是运放的工作电压(VDD=5 V),Kd单位取V/rad;N为总分频次数;ξ为锁相环路的阻尼系数,ξ的合适取值范围是在0.5~1.0之间,通常选择最佳起始点ξ=0.707;ωn为环路自然谐振角频率,ωn值的选择将直接影响环路滤波特性和捕捉时间,为了保证环路对噪声有较好的抑制,ωn应该远小于鉴相频率ωd,通常可按式(3)选择
ωn=ωd/(30~1 000),(3)
当噪声来源于参考频率和分频器时,ωn可以选择得小些;当噪声来源于压控振荡器时,ωn可选择得大些。
具体计算如下:
Kd=VDD/(2π)=5/(2π)=0.796 V/rad,

故:R1选用4.7 kΩ电阻,R2选用120 kΩ电阻。
变容管电调谐介质振荡器〔2~4〕如图3所示,把变容管通过微带线与介质振荡器耦合形成电调谐电路,调谐电压加在变容管两端,改变变容管结电容,就可以实现谐振频率的调整。


这种介质振荡器体积小、高稳定、低噪声,能够满足锁相环路的要求。
4 测试结果
经测试,本频率合成器具有较低的相位噪声,在偏离载频100 Hz、1 kHz、10 kHz时,相位噪声分别为-35dBC、-65 dBC、-85 dBC(见图4)。它的频率稳定度也很高,在-20℃~+55℃范围内可以稳定在10-8以内。
5 结束语
本文将锁相环频率合成器专用芯片MC145152-2、变容管电调谐介质振荡器用于1 800 MHz频率合成器中,使该频率合成器具有较低的相位噪声、很高的频率稳定度。与传统频率合成器相比,性能有了很大的提高。该频率合成器在移动通信等领域将有着广泛的应用。
参考文献
1 何 强.一种先进的N分数锁相环频率合成器.电子工程师,2002(12)
2 中国集成电路大全编委会.微波集成电路.北京:国防工业出版社,1995
3 B S Virdee.Current TechNIques for Tuning Dielectric Resonators.Microwave Journal,October 1998:130~1384 彭文峰,廖 佳,于小军.Ku波段高线性度DRO的设计.电子工程师,2002(12)


