- 易迪拓培训,专注于微波、射频、天线设计工程师的培养
高分辨率傅里叶变换透镜
1 引 言
光学信息处理是将电通信理论中振幅、频率等基本概念和滤波、调制等技术引进到光学领域而产生的一门学科。光学成像透镜具备二维图像的傅里叶变换特性,而傅里叶变换是完成光信息处理任务的基本途径。但是,对于一般光学透镜而言,傅里叶变换特性只在近轴区内才正确,要使镜头在整个孔径和视场范围内准确地实现傅里叶变换,必须设计一种对衍射光成像的特殊镜头—傅里叶变换透镜。
傅里叶变换透镜广泛用于光信息处理领域[1],如图像转换与传输、空间滤波、全息术中的傅里叶全息存储等,由于其衍射场就是屏函数的傅里叶频谱面,可以运用透镜的傅里叶变换性质,通过改变频谱来改造图像,进行信息处理。例如,在其频谱面上放置滤波器既能抑制高频噪声和限制带宽,又不衰减低频信号。利用傅里叶变换透镜对图像进行变换,可以测试难以直接测量的流场、粒子场[223]等。随着光信息处理的发展,其对高分辨率的傅里叶变换透镜的需求也越来越多。本文阐述了一种用于记录粒子场的高分辨率傅里叶变换透镜的设计、研制和检测方案。
2 傅里叶变换透镜对粒子的变换
为获得清晰的夫琅和费衍射图像和正确的傅里叶变换关系[4],傅里叶变换透镜应满足以下成像要求:具有相同衍射角的光线经透镜变换后聚焦于焦平面上一点;不同衍射角的光线经透镜变换后聚焦于焦平面上不同点处,形成各级频谱。

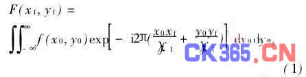
傅里叶变换透镜原理如图1所示。L1、L2分别为第一、第二傅里叶变换透镜;P1面为系统的输入面(也称为物面);P为频谱面;P2为系统的输出面(也称为像面)。根据阿贝成像理论,粒子经过傅里叶变换透镜变换后,其像面P2上的振幅分布可视为物面P1的振幅分布经两次衍射而得。第一次衍射是物面的目标振幅分布f(x0,y0)到频谱面的傅里叶变换,即:

式中(x0,y0)为物面坐标,(xf,yf)为频谱面坐标。
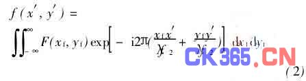
第二次衍射是由频谱面到像面的傅里叶变换,即:

式中(x′,y′)为像面坐标。根据透镜的傅里叶变换原理可知,粒子像面坐标(x′,y′)与物面坐标(x0,y0)的关系为:

3 光学设计
根据所测微粒场的需求,把物方视场定为Φ25 mm,工作波长为532 nm,分辨率优于3μm,前组镜头的焦距f1为221 mm,后组镜头的焦距f2为422 mm。
3.1 频谱面直径计算[526]
根据对系统分辨率的要求,可知系统要处理的空间频率:
![]()
最高空间频率Nmax,镜头焦距f1和频谱面直径D要满足以下关系:

3.2 像差控制的一些考虑
设计傅里叶变换透镜时,要控制两对物像共轭位置的像差,第一对物像共轭位置是以输入面处衍射后的平行光作为物方,对应的像方是频谱面;第二对物像共轭位置是以输入面作为物方,对应的像方在无穷远处。所以要控制共轭位置的像差,既需控制物面像差,又需控制光瞳像差。本设计中采用物方远心光路,即“物”在前焦面,孔径光阑在后焦面,入瞳在物方无穷远。因此,控制第一对物像共轭位置的像差就是控制前焦面物体成像在频谱面上的S1、S2、S3、S4。而控制频谱面处的球差、彗差就相当于控制光瞳球差和彗差
。在设计中采用了对称结构,很好地消除了残留的畸变。
利用ZEMAX软件对光学系统进行设计并优化,其结构型式如图2所示,其调制传递函数曲线如图3所示。


4 光机结构设计与分析
在设计光机结构时[7],除了考虑装调时保证透镜间的同轴度、光学间距等常规要求外,还通过在频谱面处放置光阑,并保持频谱面处为真空来减小外界环境对光学系统成像质量的影响,以便获得良好的图像。设计的光机总体结构如图4所示。
4.1 光阑设计
在频谱面处放置光阑,可以滤除高频噪声(如杂散光),对低频信号也没有损失。在研制过程中,也发现加光阑后成像质量得到明显改善。为满足光学系统的要求,设计时光阑与镜筒的配合公差为H7/g6,并在两部件之间设计修整垫片。

4.2 真空腔设计与分析
在频谱面处抽真空,不但可以减小空气扰动,而且可以抽出空气中的一些细小颗粒,减小外界环境对实验的影响。抽真空后,在频谱面处的折射率更接近1,而真空腔两端的透镜的光学间距减小。在设计中采取加厚镜筒的方法减小因外界大气压的影响而产生的光学间距的变化。利用有限元软件分析了抽真空后结构的变形情况,结果表明:抽真空后光学间距减小了1.5μm,透镜面形的最大PV值约为30 nm,在光学系统设计的允许范围内,变形放大后的情况分别如图5、6所示。把有限元分析结果输入ZEMAX软件进行分析后表明:抽真空对本系统的成像质量影响微乎其微,可以忽略。

系统利用真空泵获得100 Pa以下的真空,并用真空计实时监测,真空泵和真空计与镜筒的连接方式如图7所示。为能够长久保持低真空,设计时在镜筒与镜筒、镜筒与真空设备的连接处采用标准的真空设计,真空腔处镜筒与透镜的连接采用密封圈加灌胶的密封方法。
5 装调与检测
对系统的低真空保持时间和分辨率进行了检测。反复实验表明:系统可以保持12 h的低真空(100 Pa以下),能够满足各类实验的真空要求和操作时间;应用目视显微镜法对系统的分辨率进行的检测表明:该系统可以看清1号鉴别率板中号码为23的单元,对应分辨率为2.81μm,并且抽真空后系统的成像质量有所改善。
6 结 论
根据现代光信息处理领域的需求,研究了傅里叶变换透镜,并应用此类光学系统理论完成了一种高分辨率傅里叶变换透镜的设计、加工和检验。实验和检测结果表明:光阑的设计和抽真空改善了系统的成像质量,系统的分辨率达到了2.81μm,并可以保持12 h的低真空(100 Pa以下)。该系统已在某微粒子实验过程中成功对3μm粒子进行了观测。该系统在结构设计和光学设计等方面,为高分辨率傅里叶变换透镜的设计与研究提供了参考,在全息术、流场和粒子场鉴测等领域有广泛的应用前景。
参考文献:
[1] 张海涛,巩马理,赵达尊.4f滤波系统抑制混淆[J].光学技术, 2001,27(4):2972298.
ZHANG H T, GONG M L, ZHAO D Z. Anti2aliasing using 4f filtering systems[J].Optical TechNIque,2001,27(4):2972298.(in Chinese)
[2] 李保生,刘勇,于清华,等.光纤傅里叶变换光谱仪采样系统[J].光学精密工程,2007,15(1):17221.
LI B SH, LIU Y, YU Q H,et al.. Sampling system of optical fiber Fourier transform spectrometer[J].Opt. Precision Eng.,2007,15(1):17221. (in Chinese)
[3] 刘志刚,叶梓丰,王家骅.4f傅里叶变换透镜系统对粒子场全息记录的影响[J].航空学报,1989,10(9):5072510.
LIU ZH G, YE Z F,WANG J H. The effect of 4f fourier lens system on the holographic measurement of particlesfield[J].Acta Aeronautich ET Astronautica Sinica,1989,10(9):5072510.(in Chinese)
[4] 郁道银,谈恒英.工程光学[M].北京:机械工业出版社,2003.
YU D Y, TAN H Y.EngineeringOptics[M]. Beijing: Mechanical Industry Publishing House, 2003.(in Chinese)
[5] 王之江,陈兴蒲,陆汉民,等.光学技术手册[M].北京:机械工业出版社,1987.
WANG ZH J, CHEN X P, LU H M,etal.. OpticsTechnical Manual[M]. Beijing: Mechanical Industry Publish2ing House, 1987. (in Chinese)
[6] 李志刚,齐文宗,李福田.软X射线一真空紫外傅里叶变换光谱仪及其光谱分辨率研究[J].光学精密工程,1998,6(5): 84289.
LI ZH G, QI W Z, LI F T. Soft X2ray and VUV Fourier transform spectrometer and spectral resolution[J].Opt.Precision Eng.,1998,6(5): 84289. (in Chinese)
[7] 《光学仪器设计手册》编辑组.光学仪器设计手册[M].北京:国防工业出版社,1972.
OPTICAL INSTRUMENT DESIGN HANDBOOK EDITION GROUP.Optical Instrument Design Handbook[M]. Beijing: Defense Industry Publishing House,1972. (in Chinese)
作者简介:张 雷(1982-),男,山东菏泽人,中国科学院长春光学精密机械与物理研究所博士研究生,主要研究方向为光学仪器设计与分析。E2mail:zhangleisong@tom.com
金 光(1958-),男,吉林长春人,中国科学院长春光学精密机械与物理研究所博士研究生导师,主要研究方向为天基空间光学成像技术。E2mail:jing@ciomp.ac.cn
上一篇:基于SystemView的GSM系统电路设计
下一篇:1.3
m主镜的支承设计


