- 易迪拓培训,专注于微波、射频、天线设计工程师的培养
基于DSP的前向能见度仪测量原理
录入:edatop.com 点击:
能见度是指目标物的能见距离,即指观测目标物时,能从背景中辨认出目标物的最大距离。它是一个复杂的心理、物理现象,主要受制于悬浮在大气中的固体和液体微粒引起的大气消光系数,消光主要由光的散射而非吸收引起所造成的。能见度的测定主要受目标物光学特性、背景光学特性、自然界照明、大气透明度等较多因素的制约。人眼的对比视觉阈值ε=0.05,大气消光系数σ的数值为人眼最敏感的波长λ=0.05μm的值,则能见度公式为:



其中V为能见度值,单位为m。
由式(1)可见,只要测量了大气的消光系数就可以计算出大气的能见度。本系统采用的光路如图1所示。

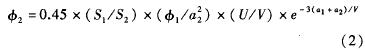
假设大气均匀分布,各向同性,吸收率为零,散射光强正比于散射系数,有如下公式:

其中Ф1为通过发射端透镜的光通量,Ф2为通过接收端透镜的光通量,S1为发射端透镜的截面面积,S2为接收端透镜的截面面积,α1为发射端透镜到取样空间的距离,α2为接收端透镜到取样空间的距离,U为取样空间气体的漫射体积,V为能见度。
上一篇:为什么不同兆欧表测出示值存在差异
下一篇:二氧化氮检测仪的原理工作原理


