- 易迪拓培训,专注于微波、射频、天线设计工程师的培养
示波器无源探头
目录
1 示波器无源探头的优缺点2 示波器无源探头的原理分析3 示波器无源探头的校准4 示波器无源探头的附件使用5 示波器无源探头的参数

1示波器无源探头的优缺点 无源探头一般作为示波器的标配提供给工程师,为通用探测提供了极好的解决方案,在测量一般的信号和电平时,无源探头使用方便,而且价格便宜,是工程师案头的必备之选。相比有源探头,无源探头具有很多优点:电压动态范围大、物理性能和电气性能强健、适合浏览设计。但是,由于无源探头本身的固有特性,它也具有很多缺点:电容负荷大、没有足够的带宽、受地线影响、探头尖端不够尖(且尖端容易损坏)、很难连接表面贴装器件。对于无源探头,工程师最头疼的是它的电容负荷太大,工程师希望市场上能提供对被测设备影响最小的无源探头。2示波器无源探头的原理分析

图1是工程师常用的10倍无源电压探头的原理图,其中,Rp (9 MΩ)和Cp位于探头尖端内,Rp为探头输入阻抗, Cp为探头输入电容, R1 (1 MΩ)表示示波器的输入阻抗,C1表示示波器的输入电容和同轴电缆等效电容以及探头补偿箱电容的组合值。为了精确地测量,两个RC时间常量(RpCp和R1C1)必须相等;任何不平衡都会带来测量波形的失真,从来引起使一些参数如上升时间、幅度的测量结果不准确。因此,在测量前需要校准示波器的探头的工作以保证测量结果的准确性。 从探头的信号模型我们可以分析, 对于信号的DC量测,输入容性Cp和C1等效为开路。信号通过Rp和R1进行分压,最终示波器的输入为: Vout=[R1/Rp+R1]*Vin=1/10* Vin
示波器输入信号衰减为待测输入信号的1/10。对于较高频率的输入信号,容抗对于信号的影响会大于阻抗。例如,一个标准的1MΩ~10pF的无源电压探头,输入信号的频率为100MHz,此时,探头输入容抗为Xc(Cp) = 1/(2×π×f×C)=159Ω,容抗远远小于9MΩ的探头阻抗,信号电流更多的会通过输入电容提供的低阻回路,9MΩ阻抗的高阻回路等效为旁路。也可以理解为159 Ω和9MΩ的并联之后等效阻抗为159 Ω。此时,实际输入到示波器的信号幅度(AC/高频)是由探头的输入电容以及回路总电容的比值决定,等效为: Vout=[Cp/Cp+C1]*Vin
一般来说,无源探头的电缆存在8-10pF/foot的容性负载(1 foot 英尺=12 inches 英寸=0.3048 metre 米),1.5nS/foot的上升时间。 对于一个6feet的电缆就存在60pF容性,加上一般示波器的20pF的输入电容以及一些杂散,大致为90pF左右。根据1:10的分压,探头的输入电容应该为10pF左右才能满足 Vout/Vin=[10/10+90]=1/10 输入衰减10倍的特性。考虑到探头和电缆容性的一些误差,需要使用探头补偿电容箱来进行一个回路补偿,由于误差,无源电压探头的输入容性一般为8~12pF之间。目前主流的10倍无源电压探头的输入负载模型一般都是输入电容8~12pF,输入电阻9M欧.
3示波器无源探头的校准
简化探头模型为一个更简单的阻容分压电路如下:

让我们来进行一个简单的推导计算:
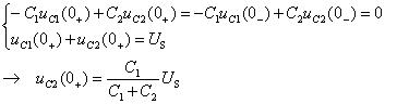
1.计算初始值uC2(0+) 由于电容电压发生跃变,要根据电荷守恒定律和 KVL 来确定

2.计算稳态uC2电容开路时,按照电阻分压公式得到

3. 计算时间常数

4.用三要素公式得到电容电压uC2(t)

我们可以看到 ,波形有3种情况:
1.完全补偿

2.过补偿

3.欠补偿

以下图示给出了欠补偿、过补偿和合理补偿三种情况下探头产生的波形。

探头欠补偿波形图

探头过补偿说明图

探头完全补偿说明图
所以, 在获得一台可以工作的示波器和探头后应该要做的第一项工作是校准探头以保证其内部RC时间常量匹配。这时需要将探头连接到示波器的探头补偿输出。然后使用非磁性调节工具调节补偿箱中的调节螺螺丝完成校准一直观察到平坦的波形响应。不要太频繁校准,因为没有必要。
4示波器无源探头的附件使用

首先从地线说起。通常探头标配的15cm 长的黑色的地线夹可以实现比较方便的地线连接,但是这么长的地线由于电感效应在测高频信号时会产生比较大的振荡,再有开关电源的场合还会耦合进很大的噪声。可能很多人都不知道,常用的500MHz 的无源探头在使用这种长地线时带宽有个200MHz~300MHz 就算不错了。所以如果要做高频测量,就需要换用相应的短地线,比如一些接地的弹簧针或弹簧片等。使用这种短的接地线所带来的一个问题是可能探测点附近找不到合适的接地点,而再引长线的话又会增加电感,所以通过相应的接地铜片把参考地引到探测点附近。由于铜片本市的横截面积比较大,所以其电感很小,可以提供一个比较理想的地参考点。以下是用弹簧接地片配合接地铜片进行测试的例子。

再说一下信号的探测问题。大家都知道探头前面的探钩拔掉后可以用前面的探针做测量,但是这个探针如果太粗的话不方便测一些高密度的管脚,而太细的话永久了又有可能会损坏。所以有些探头还有一些探针的备件提供,可以方便用户更换。更换时用个钳子把原有探针拔下换上新的就行了。

对于有些密度比较高的QFP 或DIP 封装器件来说,如果想用探针直接在芯片的管脚上做探测通常是比较危险的,因为探针有可能会滑开从而造成相邻的两个管脚短路。针对这种应用,有些探头还提供了一些塑料的IC 探测头。使用时把这些探测头套在探头前端,其楔形的结构可以保证探头尖在可靠接触的同时不会滑开,从而避免了测量中的风险。这些IC 探测头根据不同的芯片管脚间距用不同的颜色区分,这种测量方法可以支持的管脚间距从0.5mm 到1.27mm 不等。

对于板上信号测试的另一种方法是使用套筒或非常小的抓钩。套筒比较适合与直接连接板上的插针,而套筒前面附带的抓钩则可以非常方便地勾在芯片的管脚或针脚上。当然,这种方法由于使用的地线和信号线比较长,在提供方便性的同时也会影响探头的带宽。小的抓钩也可以支持到最小0.5mm 的管脚间距。

对于一些特殊的应用,也有相应的探头附件可供选择。比如对于一些板上的关键信号,如果希望尽可能方便、可靠的测量,可以在实际时在PCB 上预留一个探头的适配器。需要测试时只需要把探头插在适配器上就行了,这样即保证了带宽,又方便了测量。另外如果被测信号直接可以提供同轴连接器的输出,比如BNC接口,那还可以通过探头的BNC 适配器和BNC 电缆直接相连,也是非常可靠方便。

还有一些测试比如抖动、眼图、模板等测试由于要测量时间较长,所以需要脱手测试。手持的的方法虽然方便但不可靠也不能持续很长时间。最简单的脱手测试方法是把探头套在一个2 腿的探头夹上,依靠重力压在被测点上。对于一些复杂的场合,还可以选择3维的探头手臂,其可以把探头夹住并根据需要调整探测的位置和角度。这种3 维的探头架要做得好的话价格很贵,甚至会超过一个普通无源探头的价格,所以只在一些特殊测场合才会用到。
手持的的方法虽然方便但不可靠也不能持续很长时间。最简单的脱手测试方法是把探头套在一个2 腿的探头夹上,依靠重力压在被测点上。对于一些复杂的场合,还可以选择3维的探头手臂,其可以把探头夹住并根据需要调整探测的位置和角度。这种3 维的探头架要做得好的话价格很贵,甚至会超过一个普通无源探头的价格,所以只在一些特殊测场合才会用到。

除此之外,无源探头通常还会配个小起子用来调整匹配电容,或者有些色环可以套在探头上以区分不同的通道。
5示波器无源探头的参数 60MHz Switch Selectable x1/x10/Ref Probe

上一篇:数字示波器的检定系统
下一篇:影响示波器测试的几个因素


