- 易迪拓培训,专注于微波、射频、天线设计工程师的培养
基于电调谐LC滤波器的研究与设计分析
录入:edatop.com 点击:
1 引 言
通信对抗系统需要在复杂的信息环境下实现对信号的处理,需要滤波器实现信号的选择,滤波器主要应用于分离信号、抑制干扰,这是滤波器最广泛和最基本的应用。在这种应用中,他使所需要频率的信号顺利通过,对不需要的频率产生抑制。当前的通信系统随着实际的需要,要求滤波器低插损、低带内波动、高信号选择性,同时体积尽可能小,以满足灵敏度和动态范围的要求。电调滤波器具有体积小、工作频带宽的优点,可很好地抑制二阶组合信号,有着广阔的应用前景。
本文利用微波电路CAD设计软件,结合可靠的设计理论来进行电路设计,可以避开复杂的理论计算,极大地提高设计准确性和效率,有效缩短研制周期,降低成本。Agilent公司的ADS软件由于其强大的功能而广泛应用于射频微波电路的仿真和优化设计。
2 理论分析
100~250 MHz的电调滤波器可采用LC电调谐振滤器设计方法,改变变容二极管的可调电容进行电调滤波,根据带宽,插入损耗,幅度一致性的综合要求对滤波器进行优化设计。
LC电调谐滤波器实际上就是同步调谐滤波器,他由若干个中心频率调谐于W0的并联谐振回路组成之所以用并联形式,由于串联时偏置回路复杂,至少需要一个电阻且电感的杂散电容不易被吸收。选择同步调谐滤波器的一个关键要素在于这种滤波器能够以简单的电路形式实现电调谐,而其他形式的滤波器并非不能实现电调谐而是要实现电调谐的电路较复杂,且所需变容管种类多,其电特性也极不易同时满足需要。设计LC电调谐滤波器实际相当于设计谐振放大器,只是这里变容管成为电路的核心。现对变容管谐振电路略做讨论和分析。
2.1 变容二极管谐振回路
图1和图2给出2种基本变容二极管并联谐振回路。

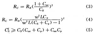
在图1所示电路中,调谐电压通过扼流电感和偏置电阻RB加到变容管上,串联电容CS使交流电路闭合,同时把变容管的负极与并联电感隔离开,从而使调谐电压能正确加载。电路中还并联了一个固定电容Cp。放在偏置电阻前的退耦电容容量很大,相当于交流接地,故在后续的讨论中可不予考虑。对高频交流信号而言,偏置电阻和串联电容是并联的。通过网络变换将其变换到并联谐振回路中,该等效并联电阻RC为:

可见由偏置电阻RB引起的阻性损耗RC是频率的函数。如果串联电容CS的值不是充分大,则有可能导致调谐电路的带宽和频率无关。

图2表明所示为调谐电压直接加载到变容二极管上时的情况,此时由偏置电阻RB产生的并联损耗电阻可以表示为:

该假设具备一般的代表意义,因为实际电路中,串联电容GS的值取通常取得尽可能大,而并联电容Cp取值则尽量小。这种电路中,偏置电阻RB的影响要比在图1所示电路大。所以一般说来,图1比图2所示电路更为可取。但在希望通过偏置电阻RB增加谐振电路在频率高端处的衰减时例外。
2.2 变容管谐振回路中的并联和串联电容
电容通常和变容二极管串联,为了闭合交流电路,同时考虑到加直流电压的便利,一般把变容管的一端和电路其他部分隔开,使调谐电压能直接加在二极管上,串联电容CS应尽量大以便有效电容变化不受影响,然而在一些情况下却不是如此,例如在接收机的振荡电路中,中频和接收频率处于同一数量级时,串联电容的影响必需考虑。在变容管结电容Ctot串联一个电容CS后,调谐电容值减少为:

此时,调谐电容的有效Q值增加到(Q是变容管的品质因素)

有效电容变化比减少为:

式(8)中Cmax,Cmin分别是变容二极管的最大结电容值和最小结电容值。另一方面,由于串联电容分压,加在变容二极管上的交流电压幅度减小,这样调谐电压的下限值变小,必然是变容二极管的最大结电容Cmax,可用电容变化比就更高,因此串联电容产生的影响要比上式估计值略低。
图1到图2所示的并联电容Cp总是存在的。因为电感线圈匝间电容是不可避免的,每个电感均有其自电容,把这个自电容等效为并联的电容Cp,且认为是无耗的,则总的调谐电容值升高。如果CS足够大,可以忽略他的影响,则得到有效调谐电容为:

由式(11)不难看出,即使并联电容相Cp当小,也能引起有效电容变比的明显下降。因此设计电路时就必须使电感的自电容尽可能地小。
2.3 变容管谐振回路的调谐范围
考虑图1所示变容管谐振电路,不难看出回路的频率调谐范围依赖于变容管的有效电容变比和电路中并、串联电容的大小。
经过简单的计算可得到如下调谐比表达式:

在多数情况下,串联电容取值足够大,他的影响可以忽略。上式可以简化为:

由式(13)可得到要获得规定的频率调谐范围时,谐振电路中所需要变容管的参数——最大结电容和最小结电容比。
2.4 变容管谐振回路的跟踪
一些设备要求在调谐时,2个或多个同时调谐的电路之间的频率关系保持恒定,即称之为跟踪(Tracking)。这要求各变容管在任意调谐电压时的偏差均很小。在要求覆盖相同的频率宽度,但各自的起止频率不同时。(比如超外差式接收机中本振和射频电路就是这样),就需要特别留意减小跟踪误差。根据前述对不同的变容管,可以通过串联或并联不同的电容来减小跟踪误差,其所必须预先考虑的频偏可描述为:

电路仿真
通常,电调谐滤波采用双极点调谐滤波,谐振回路分为串联谐振回路和并联谐振回路,通过电感或电容进行耦合。此电调滤波器采用的是并联谐振回路,用电感进行耦合。在进行仿真之前,需要建立仿真模型和设计各种参数。基于以上模型,利用ADS软件对电调滤波器进行电路设计和仿真。由于系统要求对该电调滤波器进行AGC控制,所以在仿真时加入双栅FET。传输函数S21、频率范围设在10~350 MHz、电容在2.6~39 pF之间变化,仿真使用的放大器是NE25118。最终的ADS模型仿真结果如下面两组曲线所示。若LC滤波器不使用放大器,仿真结果中可以看出滤波器的插损在2~3 dB左右。

4 试验结果及讨论
仿真后依照仿真的结果选择印制板材料FR4,厚度,设计PCB微带线宽高比,在进行结构设计及装配时,一定要考虑结构紧凑、合理,最后用惠普公司的网络分析仪来测试滤波器。
元件品质因素Q不够大,会在截至范围内使频率响应下凹或变圆滑,有限的Q值也将引起任意阻带的零点附近的抑制变差,使得滤波器的插入损耗增加。所以使用Q值较大的变容二极管和电感时,滤波器波形得到明显改善,但由于实际原因,测试时用的是国产变容管ZTV9800,Q值较低,所以对波形有一定的影响。由于考虑到在系统中,对此电调滤波器将进行AGC控制,即电路自适应地调整信号通道增益的装置能保证模拟信号不超出模拟器件的线型范围,所以项目采用工作频率在100~1 300 MHz的双栅FETS888T作为放大器,由于实际采用的放大器和设计时用的放大器存在差异,放大倍数也不相同,故测试结果和仿真结果相比,得到的S21值不同,且波形也存在一定差异,这些问题有待进一步解决。图5,图6为在各个调谐电压(DC)下的测试结果。

加上不同的直流偏压时,变容二极管的电容值会发生改变,单个谐振器的谐振频率也发生变化,滤波器的中心频率相应地发生移动,从而实现滤波器的电调。
从测试中可以看出,调谐频率100~250 MHz,随着中心频率的增大,相对带宽虽略有所增大但变化不大,都是窄带滤波器。在增益方面,放上放大器以后,100~250 MHz频段内增益在7.5~12 dB之间,全频段幅度一致性在4 dB以内,带外抑制大于40 dB,并具有良好的温度性能和较小的插入损耗(选用GaAs高Q值的变容管可得到进一步改善),符合实用要求,也和仿真结果相符合。
在理论上,滤波器的波形左右两边应该是大致对称的,但在测试结果中100 MHz左右有一个很陡的衰减是因为放大器的下限工作频率在100 MHz以上,所以100 MHz以下的信号没有得到放大而造成的。若能采用工作频率的起始频率在100 MHz以下的放大器,上图低频段的波形将会改善很多。值得一提的是,在有源滤波器中选择放大器时要慎重考虑放大器的直流失调和摆率限制等问题。
5 结语
电调滤波器的设计是一个需要不断研究并且完善的领域,设计中可以看出电调滤波器调谐元件的Q值对滤波器的性能影响非常大,所以采用Q值较高的器件调谐元件或设计补偿低Q值的幅度均衡器很有必要。在采用电压调谐时,选用的隔直电容也会参加调谐,当电调滤波器指标要求较高时,也应该慎重选择。此电调滤波器体积小,只有30 mm×30 mm×15 mm。其主要性能均达到设计要求,且调试简单,稳定可靠,成本低廉,同时也可使小型化系列产品更加完善。
通信对抗系统需要在复杂的信息环境下实现对信号的处理,需要滤波器实现信号的选择,滤波器主要应用于分离信号、抑制干扰,这是滤波器最广泛和最基本的应用。在这种应用中,他使所需要频率的信号顺利通过,对不需要的频率产生抑制。当前的通信系统随着实际的需要,要求滤波器低插损、低带内波动、高信号选择性,同时体积尽可能小,以满足灵敏度和动态范围的要求。电调滤波器具有体积小、工作频带宽的优点,可很好地抑制二阶组合信号,有着广阔的应用前景。
本文利用微波电路CAD设计软件,结合可靠的设计理论来进行电路设计,可以避开复杂的理论计算,极大地提高设计准确性和效率,有效缩短研制周期,降低成本。Agilent公司的ADS软件由于其强大的功能而广泛应用于射频微波电路的仿真和优化设计。
2 理论分析
100~250 MHz的电调滤波器可采用LC电调谐振滤器设计方法,改变变容二极管的可调电容进行电调滤波,根据带宽,插入损耗,幅度一致性的综合要求对滤波器进行优化设计。
LC电调谐滤波器实际上就是同步调谐滤波器,他由若干个中心频率调谐于W0的并联谐振回路组成之所以用并联形式,由于串联时偏置回路复杂,至少需要一个电阻且电感的杂散电容不易被吸收。选择同步调谐滤波器的一个关键要素在于这种滤波器能够以简单的电路形式实现电调谐,而其他形式的滤波器并非不能实现电调谐而是要实现电调谐的电路较复杂,且所需变容管种类多,其电特性也极不易同时满足需要。设计LC电调谐滤波器实际相当于设计谐振放大器,只是这里变容管成为电路的核心。现对变容管谐振电路略做讨论和分析。
2.1 变容二极管谐振回路
图1和图2给出2种基本变容二极管并联谐振回路。

在图1所示电路中,调谐电压通过扼流电感和偏置电阻RB加到变容管上,串联电容CS使交流电路闭合,同时把变容管的负极与并联电感隔离开,从而使调谐电压能正确加载。电路中还并联了一个固定电容Cp。放在偏置电阻前的退耦电容容量很大,相当于交流接地,故在后续的讨论中可不予考虑。对高频交流信号而言,偏置电阻和串联电容是并联的。通过网络变换将其变换到并联谐振回路中,该等效并联电阻RC为:

可见由偏置电阻RB引起的阻性损耗RC是频率的函数。如果串联电容CS的值不是充分大,则有可能导致调谐电路的带宽和频率无关。

图2表明所示为调谐电压直接加载到变容二极管上时的情况,此时由偏置电阻RB产生的并联损耗电阻可以表示为:

该假设具备一般的代表意义,因为实际电路中,串联电容GS的值取通常取得尽可能大,而并联电容Cp取值则尽量小。这种电路中,偏置电阻RB的影响要比在图1所示电路大。所以一般说来,图1比图2所示电路更为可取。但在希望通过偏置电阻RB增加谐振电路在频率高端处的衰减时例外。
2.2 变容管谐振回路中的并联和串联电容
电容通常和变容二极管串联,为了闭合交流电路,同时考虑到加直流电压的便利,一般把变容管的一端和电路其他部分隔开,使调谐电压能直接加在二极管上,串联电容CS应尽量大以便有效电容变化不受影响,然而在一些情况下却不是如此,例如在接收机的振荡电路中,中频和接收频率处于同一数量级时,串联电容的影响必需考虑。在变容管结电容Ctot串联一个电容CS后,调谐电容值减少为:

此时,调谐电容的有效Q值增加到(Q是变容管的品质因素)

有效电容变化比减少为:

式(8)中Cmax,Cmin分别是变容二极管的最大结电容值和最小结电容值。另一方面,由于串联电容分压,加在变容二极管上的交流电压幅度减小,这样调谐电压的下限值变小,必然是变容二极管的最大结电容Cmax,可用电容变化比就更高,因此串联电容产生的影响要比上式估计值略低。
图1到图2所示的并联电容Cp总是存在的。因为电感线圈匝间电容是不可避免的,每个电感均有其自电容,把这个自电容等效为并联的电容Cp,且认为是无耗的,则总的调谐电容值升高。如果CS足够大,可以忽略他的影响,则得到有效调谐电容为:

由式(11)不难看出,即使并联电容相Cp当小,也能引起有效电容变比的明显下降。因此设计电路时就必须使电感的自电容尽可能地小。
2.3 变容管谐振回路的调谐范围
考虑图1所示变容管谐振电路,不难看出回路的频率调谐范围依赖于变容管的有效电容变比和电路中并、串联电容的大小。
经过简单的计算可得到如下调谐比表达式:

在多数情况下,串联电容取值足够大,他的影响可以忽略。上式可以简化为:

由式(13)可得到要获得规定的频率调谐范围时,谐振电路中所需要变容管的参数——最大结电容和最小结电容比。
2.4 变容管谐振回路的跟踪
一些设备要求在调谐时,2个或多个同时调谐的电路之间的频率关系保持恒定,即称之为跟踪(Tracking)。这要求各变容管在任意调谐电压时的偏差均很小。在要求覆盖相同的频率宽度,但各自的起止频率不同时。(比如超外差式接收机中本振和射频电路就是这样),就需要特别留意减小跟踪误差。根据前述对不同的变容管,可以通过串联或并联不同的电容来减小跟踪误差,其所必须预先考虑的频偏可描述为:

电路仿真
通常,电调谐滤波采用双极点调谐滤波,谐振回路分为串联谐振回路和并联谐振回路,通过电感或电容进行耦合。此电调滤波器采用的是并联谐振回路,用电感进行耦合。在进行仿真之前,需要建立仿真模型和设计各种参数。基于以上模型,利用ADS软件对电调滤波器进行电路设计和仿真。由于系统要求对该电调滤波器进行AGC控制,所以在仿真时加入双栅FET。传输函数S21、频率范围设在10~350 MHz、电容在2.6~39 pF之间变化,仿真使用的放大器是NE25118。最终的ADS模型仿真结果如下面两组曲线所示。若LC滤波器不使用放大器,仿真结果中可以看出滤波器的插损在2~3 dB左右。

4 试验结果及讨论
仿真后依照仿真的结果选择印制板材料FR4,厚度,设计PCB微带线宽高比,在进行结构设计及装配时,一定要考虑结构紧凑、合理,最后用惠普公司的网络分析仪来测试滤波器。
元件品质因素Q不够大,会在截至范围内使频率响应下凹或变圆滑,有限的Q值也将引起任意阻带的零点附近的抑制变差,使得滤波器的插入损耗增加。所以使用Q值较大的变容二极管和电感时,滤波器波形得到明显改善,但由于实际原因,测试时用的是国产变容管ZTV9800,Q值较低,所以对波形有一定的影响。由于考虑到在系统中,对此电调滤波器将进行AGC控制,即电路自适应地调整信号通道增益的装置能保证模拟信号不超出模拟器件的线型范围,所以项目采用工作频率在100~1 300 MHz的双栅FETS888T作为放大器,由于实际采用的放大器和设计时用的放大器存在差异,放大倍数也不相同,故测试结果和仿真结果相比,得到的S21值不同,且波形也存在一定差异,这些问题有待进一步解决。图5,图6为在各个调谐电压(DC)下的测试结果。

加上不同的直流偏压时,变容二极管的电容值会发生改变,单个谐振器的谐振频率也发生变化,滤波器的中心频率相应地发生移动,从而实现滤波器的电调。
从测试中可以看出,调谐频率100~250 MHz,随着中心频率的增大,相对带宽虽略有所增大但变化不大,都是窄带滤波器。在增益方面,放上放大器以后,100~250 MHz频段内增益在7.5~12 dB之间,全频段幅度一致性在4 dB以内,带外抑制大于40 dB,并具有良好的温度性能和较小的插入损耗(选用GaAs高Q值的变容管可得到进一步改善),符合实用要求,也和仿真结果相符合。
在理论上,滤波器的波形左右两边应该是大致对称的,但在测试结果中100 MHz左右有一个很陡的衰减是因为放大器的下限工作频率在100 MHz以上,所以100 MHz以下的信号没有得到放大而造成的。若能采用工作频率的起始频率在100 MHz以下的放大器,上图低频段的波形将会改善很多。值得一提的是,在有源滤波器中选择放大器时要慎重考虑放大器的直流失调和摆率限制等问题。
5 结语
电调滤波器的设计是一个需要不断研究并且完善的领域,设计中可以看出电调滤波器调谐元件的Q值对滤波器的性能影响非常大,所以采用Q值较高的器件调谐元件或设计补偿低Q值的幅度均衡器很有必要。在采用电压调谐时,选用的隔直电容也会参加调谐,当电调滤波器指标要求较高时,也应该慎重选择。此电调滤波器体积小,只有30 mm×30 mm×15 mm。其主要性能均达到设计要求,且调试简单,稳定可靠,成本低廉,同时也可使小型化系列产品更加完善。


