- 易迪拓培训,专注于微波、射频、天线设计工程师的培养
用激光平面千涉仪测量光学平板玻璃的平行差
平板玻璃是指两个表平面相互平行的玻璃板。,在加工中,由于加工设备、测量仪器等因素,不可能将两个表平面加工的绝对平行,总是会形成一定的角度,这个角度就是平行平板玻璃的平行性误差,用误差角习表示,见图1.

利用自准直望远镜测量平行平板玻璃的平行性误差是一种最基本的方法,它使用简便,很容易看出上下表面反射回象所分开的距离
![]()
所以被广泛使用。但由于人眼的鉴别力和自准直望远镜精度的有限(单管测角仪精度为6“)。所以,我们采用了精度较高的干涉法来测量平行平板玻璃的平行性误差。
测量原理
图2为用等厚干涉条纹测量平行平板玻璃的平行性误差装置(实际上就是一台不带标准平面的平面干涉仪)。图3所示激光光源把位于物镜焦面的小孔照亮,从物镜射出一束平行光,并且垂直地入射在被测玻璃板上。经过上下两个表面反射后形成两束相干光,干涉场位于被测玻璃板的中间,如图中虚线所示的位置。反射回去的光再经过物镜后会聚在观察孔处,两相干光在观察孔处形成两个相互稍稍分开的光源小孔象。人眼位于观察孔处,并调节至干涉场处,即可观察到干涉条纹。

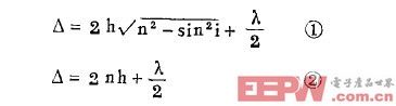
由物理光学中已经给出,当波长为入的单色光以入射角为i射到折射率为n的玻璃薄板时,由玻璃薄板上表面和下表面分别反射,形成两束相干光①和②,见图4。这两束相干光之间的光程差△可以写为:



如果被测玻璃板两个表面的平面度良好,则当没有平行性误差时,即厚度h处处相等,也就是光程差处处相等,此时所看到的干涉场应是一片均匀的亮度。若有平行性误差存在时,两表面有,二夹角0,厚度是变化的,此时光程差也是变化的,所以看到的干涉场内应有互相平行的亮暗间隔,并且间隔距离相等,如图2中所示在被测玻璃板的宽度为b的AB两端,厚度分别为hJ和h。 [p]
如果在干涉场中看到AB范围内共有N条干涉条纹,就可计算出平行性误差0。在A处,因为厚度为h;,则形成干涉条



这就是用等厚干涉条纹测最限行平辉玻璃平行性误差所用的关系式。其中入是在平面干涉仪上使用激光光源光的波长(入=0.6328*10-3mm),n为被测玻璃板材料对应所使用单色光波长的折射率n=1.5,b为测量时所取被测玻璃板的范围,N为在干涉场中所对应的范围内干涉条纹的数目。


则在干涉场内产生的干涉条纹数N 在整个干涉场内看不到一条干涉条纹,只能看到亮暗不均匀或只看到一条干涉条纹,此时已无法计算出它的条纹宽度,也就是说如果e小于上述数值即测量不出。.相反,如果被测玻璃板的平行差太大,那么于涉的条纹数目就太多太密,计数用难,,也不能采用。
[p]
利用平板玻璃自身的千涉条纹来判断平板玻璃的薄厚端
由于等厚干涉条纹所对应的光程差,完全是由厚度所决定的,而同一条干涉条纹对应同一光程差数值,也就是对应被测玻璃板同一厚度的地方,所以等厚干涉条纹可以看成是被测玻璃板的等厚线。很显然,当玻璃两表面度良好时,等厚干涉条纹的方向是与两表面相交梭线平行的

图5示出了干涉条纹密集的一端是平板玻璃的厚端,而干涉条纹光带宽的一端为薄端。不同厚度的地方有不同的光程差。而当两表面是低光圈时,光圈心向的方向为薄端,背向的地方为厚端,见图6。其因为低光圈时,两面的干涉条纹都向薄的地方偏向,所以出现了心薄的现象。

如果两表面均为高光圈或偏高时,其结果正好相反,即心向的方向为厚端,背向之为薄端,见图7。

以上几种情况还可以此类推来判断各种类型的薄厚端。
用激光平面干涉仪检验成盘平板玻璃的平行差
1.对采用在光胶垫板上加工平行平板玻璃,测量时,如果光学垫板的平行差较高,则可直接观察光学垫板和平板玻璃自身的干涉条纹,与单块平板玻璃同样对待。因为零件的底面和垫板上表面是由光胶而重合为一体,所以就很容易根据自身条纹来判断平行差大小和薄厚端。
2.但有时光学垫板本身平行差就低,此时我们可以采取给垫板背面涂上一层洋干漆的方法,来阻止垫板底面反射象的出现,只剩下垫板的上表面与零件的上表面反射象,先用单管测角仪测出两象分开的大小,并且垫板象在那边那边厚,因为第生面反射回的象是偏向厚的一方。当用单管测角仪观察两象完全重合时,这只能断定平行差达到了6”。如果需要更高精度时,人眼已无法区别,此时就需采用激光平面干涉仪来测定。
3.使用激光平面干涉仪测定成盘玻璃的平行差时,是利用垫板的上表面和玻璃上表面,采取比较干涉法来测定。
[p]
这种方法首先在光胶玻璃上涂腊,在涂腊过程中,应尽可能在垫板中心和四周留有透光的部分,如图8中所示黑的部分就是留透光孔的地方。调整干涉仪,使其标准平面

与垫板上表面发生的干涉条纹中调整到与垫板中心重合(图中黑色线表示干涉条纹,垫板的干涉条纹就是留出的小孔部分)。然后观察零件表面的千涉条纹,看其中心偏向那边。如果垫板零件表面都是低光圈时,心在那边,那边薄,背向即为厚端。最后修至垫板和零件表面干涉条纹成同心圆。
如果垫板光圈呈直线,即N0.1时,光圈圈不起来,无法对中心,这时只需把垫板光带调成最宽状声,中心已不见光带,只见一片均匀光,只能从边缘四个小孔中看到一点光带,见图9。此时垫板表面和标准平面的干涉条纹接近平行,即相当对准了中心。然后观察零件表面干涉条纹心偏向那边,那边为薄,然后压厚的一方继续修整。直至垫板条纹与零件条纹重合,就证明垫板表面与零件表面是平行状态,如图10所示。

此时即可下盘,一般4护以下是能够保证的。如果光胶时无尘,而且零件第一面光圈很好,N0.1,这时有的平行差可高至l“~2“。上边所讲都是垫板和零件表面是低光圈的现象。如果零件表面是高光圈时,薄厚端正好相反,见图11所示。心向的便是厚端,背向即为薄端。

从图12中可以可看出,由于零件表面高光圈,中心厚,应采取降光圈的方法,直至改至图13所示的情况

以上几种情况还可以此类推,如一面是高光圈,一面是低光圈,还要看那面高多少,那面低多少等。总之由于两个表面各点光程差不等,呈现出相应的干涉图样,通过对图样的观察、分析,具体情况具体对待。

上一篇:超声波液体流量计的二合一前置预处理
下一篇:超声波料位仪的研制


