- 易迪拓培训,专注于微波、射频、天线设计工程师的培养
超声波料位仪的研制
1 引言
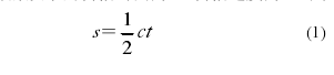
用于超声料位仪上的超声换能器品种繁多,按其振动模式可分为纵向振动和弯曲振动,以压电陶瓷材料制成的换能器结构主要为夹心式超声换能器和多波节复合弯曲换能器,当它们应用在多粉尘环境时,随着粘附在超声料位仪辐射面粉尘的增多,探头的灵敏度会显著降低;而径向振动圆管式换能器组成的超声波料位仪由于其辐射面与粉尘的运动方向垂直和圆管的径向振动,使得粉尘不易粘附在超声料位仪的辐射面上。超声波料位仪采用气介式脉冲回波定位方法,其基本原理是:发射换能器由超声波信号发射机提供的电振荡脉冲所激励,产生机械振动,向空中辐射出超声波,并以一定的速度向前传播,当到达反射接口后,一部分声能被反射回来,并作用到接收换能器上,接收换能器受到这种回波的作用后,产生机械振动并在换能器的两极板上激发起微弱的振荡电压[1]。这种回波信号经放大后,送入数据处理器(见图1)。声波从换能器到反射接口的距离为s,超声脉冲在气体媒质中的传播时间为t,传播速度为c,则

2 回波信号理论分析

超声波回波定位方法可以用来测量作业现场的液位或料位。两者测位的基本原理是回波定位,但实际上两者在应用声学原理时并不一样。简单地说,液面可以看作性能单一的镜面,遵循镜面反射原理,其反射波是相干的;而料面情况则非常复杂,物料的粒度分布、散射能力、吸声特性等都是无规则的,因此其反射波是非相干的散射波。一般情况下,料面的形状如图2(a)或(b)两种,声束与料面并不垂直,因此回波信号并不是由料面的反射波而是由料面上杂乱无章的散射波叠加而成,通过对回波信号的处理得到的料位是粉料的平均料位。

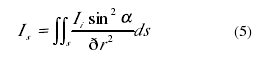
由于粉料料面是完全随机的表面,因此粗糙随机料面的散射回波可以借用水声学兰博特(lambert)定律对海底散射的分析方法来考虑
〔2〕。如图3所示,如果入射波I1以á倾角投射到料面的面元ds上,设散射倾角
,兰博特定律认为散射强度正比于散射角的正弦和入射波的功率,即

显然散射强度应与距离平方成反比,则

可以确定常数μ=1/e,并考虑反向散射情况:ψ=e α,故有


其中s为入射声束主瓣投射到料面上的面积,由于料面完全随机,故可认为各点处散射情况的平均值是一样的,于是接收的声强(回波强度) [p]

式中投射面积S≈e(rtg θ)2/sinα, θ为换能器声束主瓣的半宽角,而20IW/4eri=γ,故有

其中γ为聚集系数(有指向性声源的最大声强与同功率无指向性声源的声强之比),0W为发射声源的功率。式(7)表明,料位测量时料面的散射回波强度与频率无关。
3 换能器的设计
气介式脉冲回波定位方法的顺利实现有技术上的困难,其中主要是:缺少有效(带有高转换系数)的电声换能器,来保证可靠的将声信号辐射到气体介质中,并且接收从分接口反射回来的信号〔3〕。因此,评价一个超声物位计上的超声换能器,主要考虑到以下性能:最大工作量程、盲区、工作频率以及使用的温度范围、密封性、耐腐蚀性等。根据上面的理论分析,料位测量时料面的散射回波强度与频率无关,而在空气中,由于吸收衰减系数与频率的平方成正比,因此空气中的超声换能器通常工作在超声频率的低端范围20~60 kHz。经权衡,我们选择径向振动圆管式超声换能器,其工作频率在21kHz左右。图4为径向振动圆管式压电陶瓷换能器示意图,图中a为电极引线、b为匹配层、c为压电陶瓷圆管、d为硬质吸声泡沫层。
4 测试结果
超声波料位仪检测资料数据见表1,换能器的频率特性曲线见图5,激发和接收波形见图6。试验表明换能器的回波信号比较大,余振较小,保证了整个系统的稳定可靠。超声波料位仪测试资料表明本超声波料位仪满足设计要求,实际测量值与理论估计的性能参数值接近。




参考文献
[1]余瑞芬.传感器原理.第2版.北京:航空工业出版社,1995
[2]北京声学学会编.工程声学Ⅲ.北京:北京大学出版社,1988
[3]袁易全.超声换能器.第2版.南京:南京大学出版社,1995
上一篇:用激光平面千涉仪测量光学平板玻璃的平行差
下一篇:四点测球法在球坑自动检测中的应用


