- 易迪拓培训,专注于微波、射频、天线设计工程师的培养
顺序式波长色散X射线荧光光谱仪的运动系统控制
摘要:本文介绍了一种利用LPC1766微控制器实现顺序式波长色散X射线荧光光谱仪的电机系统控制方案。系统分析了顺序式波长色散X射线荧光光谱仪的电机系统控制需求,充分利用LPC1766丰富的PWM和GPIO中断功能,配合光电开关的逻辑顺序,控制直流电机运动,最终实现了光谱仪中晶体、准直器和滤光片的准确定位。测试结果符合《JJG 810-1993波长色散X射线荧光光谱仪检定规程》的要求。
引言
顺序式波长色散X射线荧光光谱仪是一种重要的大型科研仪器,可以对从Be-4到U-92的所有元素进行高含量、常量和微量检测,广泛应用于冶金、地质、矿物、石油、化工、生物、医疗、刑侦、考古、环保等诸多部门和领域。该仪器结构复杂,涉及高压控制、精密运动设计、真空静动密封设计、高速数字信号处理以及无标样算法等高难度技术研发工作。其中晶体、准直器、滤光片是光谱仪的重要组成部分,在《JJG 810-1993 波长色散X射线荧光光谱仪检定规程》中对这三者定位精密度有严格的要求,因此对它们的运动控制方案开发非常重要。本文研究并设计搭建了顺序式波长色散X射线荧光光谱仪的运动控制系统,是基于LPC1766的电机控制方案,利用LPC1766的PWM模块通过电机驱动芯片DRV8412分别控制三个直流电机正反转,再结合GPIO中断功能和光电开关的逻辑响应实现晶体、准直器和滤光片的精确定位。
1 顺序式波长色散X荧光光谱仪的结构、原理和运动控制需求
顺序式波长色散X荧光光谱仪(以下简称“光谱仪”)的工作原理是用X射线照射试样,使试样中的元素被激发出各自特征波长的荧光X射线;再通过光路设计,利用布拉格衍射原理,使用晶体将这些特征X射线按波长色散开来,并测量其强度,最终进行定性和定量分析。它的基本结构主要是由高压电源、X射线管、滤光片、原级准直器、分光晶体、二级准直器、探测器和测角仪组成。
在光谱仪中,滤光片的作用是消除或降低来自X射线管发射的原级X射线谱,尤其是靶材的特征X射线谱对待测元素的干扰,可以改善峰背比,提高分析的灵敏度。准直器分原级准直器和二级准直器两类。在样品和晶体之间的准直器称原级准直器(又称为入射狭缝),其作用是将样品发射出的X射线荧光通过准直器变为平行光束照射到晶体。晶体主要起分光作用,实际使用中需要多块晶体以满足不同的元素测试需求。光谱仪一般配备有4个滤光片、3个准直器和8个分光晶体。在分析测试样品时,为了获得最佳的分析结果,滤光片、准直器和晶体需要根据测试流程进行切换。切换过程中,上述器件的重复定位精度会影响到测量结果的精密度,同时也是《检定规程》必检项目。
2 设计实现过程
2.1 机械设计
由于准直器、晶体和滤光片的运动都是离散运动,不需要连续性。因此,在实际的运动系统控制过程中,主要依靠机械上的槽轮机构,在槽轮上设计有定位机构,通过弹簧和沟槽的组合,保证定位的重复性;用直流电机驱动配合光电开关反馈器件的实际到位情况,最终实现控制功能以达到运动器件的切换目的。如图1所示。

2.2 硬件设计
在硬件上,利用LPC1766微控制器的PWM波通过DRV8412芯片来控制电机,采用串口的方式来完成上位机和下位机的通讯。其结构框图见图2。DRV8412是具有先进保护系统的高性能全双桥马达驱动器,功率级效率可达到97%。设计中它是LPC1766与电机之间的桥梁。一个DRV8412芯片可以驱动两个电机,其PWM引脚和RESET引脚与微控制器LPC1766相连接。当其使能控制引脚RESET为高电平有效状态时,相应的电机才可以被正常驱动,改变PWM的输出状态就可实现电机的正反转。利用LPC1766丰富的IO口与光电开关连接来读取光电开关的状态,进而实现运动器件的位置判断,来确定器件的定位情况。

2.3 软件设计
在软件上,用Keil uVision4开发环境对LPC1766进行固件C语言编码和调试。LPC1766微控制器是ARMv7-M结构,100MHz的操作频率,32位ARM Cortex-M3微处理器。其UART支持RS-485、丰富的IO端口和强大的电机控制功能。本设计通过对其PWM功能模块中6路PWM的控制,输出3对波来分别驱动三个电机。每个电机有两根线与一对PWM相连接,当正转时,让一个PWM波一直为低电平,另一个控制正转的PWM呈一定占空比的矩形波输出。当互换两个PWM的波形输出状态,就会实现电机的反转。本设计利用LPC1766丰富IO口的特点,通过IO口读取光电开关的状态,来控制电机运动,进而实现滤光片、准直器和晶体的切换运动。

LPC1766的GPIO模块共有5个端口,可读可写,其中端口0和端口2还可提供中断的功能,可编程为上升沿、下降沿或边沿产生中断,它们与外部中断3共用相同的NVIC通道。本设计选用端口0的下降沿中断,将P0.0、P0.1和P0.2分别连接光电开关08、01和04来控制三个电机实时的转和停,再通过读取其余端口控制的光电开关的状态来判断滤光片、准直器和晶体的位置状态,从而决定电机的运动情况。滤光片使用三个光电开关09、10和11电平组合情况来表示逻辑001、011、101、110和111这5种位置状态;准直器使用两个光电开关02和03来表示逻辑00、01和10这3种位置状态;晶体使用光电开关05、06和07来表示逻辑000到111这8种位置状态。运动结构实物图如图3、图4和图5所示。
设计通过RS485由PC机串口发送命令给LPC1766来实现滤光片、准直器和晶体的位置选择。实现过程中应注意串口的波特率和端口配置,这里我们用的是UART3,设定波特率为9600bps。根据RS485通讯具有两根线,同一时间只能传输一个方向数据的特点,在收发数据时要对其收发使能引脚进行相应设置,且收发状态切换要加适当的延时,延时时间过短会使数据接收错误,延时时间过长则会出现死机现象,因此延时需要根据实际选用的串口波特率来计算确定。
当上位机发送命令后,下位机会判断当前的位置状态是否是需求的位置,是就直接返回,否则使电机继续运转,直至所需位置后停止返回。软件流程主框图如图6所示。

3 测试方法及结果
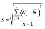
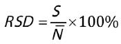
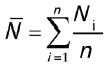
经上述控制方案的设计后,按照《JJG 810-1993波长色散X射线荧光光谱仪检定规程》的要求对各器件切换的精密度进行了检定。精密度以20次连续重复测量的相对标准偏差RSD表示。每次测量都必须改变晶体、准直器和滤波片的位置条件。
RSD计算方法如下:
(1)
(2)
(3)
(4)
式中:
Ii——i次测量的计数率;
T——测量的时间;
n——测量的次数;
——n次测量的平均计数;
S——n次测量的标准偏差。
连续20次测量中,如有数据超出平均值±3S,实验应重做。
通过不做任何变化的计数涨落试验、准直器重现性试验、晶体重现性试验和滤光片重现性试验分别测量时间10s,交替测量20次并记录与涨落试验同条件的CuKα辐射的计数率值。最后与国标同行的鉴定结果和其他同类仪器的性能对比如表1所示。

4 结论
基于LPC1766的电机控制设计可实现晶体、准直器和滤光片的正常切换和准确定位,且运动稳定。PWM 具有很强的抗噪性,且有节约空间、比较经济等特点。在对电机的转速控制方面,可大大节省能量,改变PWM的输出波形占空比可以提高工作效率,并且不会出现控制电机停止时的过冲现象。设计中GPIO中断功能,可实时响应来控制电机的转和停,使系统能及时地响应外部事件的变化。本设计方案实现了顺序式波长色散X荧光光谱仪中关键器件的准确切换,解决了运动系统控制难题,提高了整机测试性能,且已经优于国标要求。
参考文献:
[1]隋凤丽,李国兴,曲秋华. X射线荧光光谱仪原理和系统组成[A]. 中国体视学学会CT理论与应用分会.全国射线数字成像与CT新技术研讨会论文集[C].中国体视学学会CT理论与应用分会, 2012:5
[2]吉昂,陶光仪,卓尚军,罗立强. X射线荧光光谱分析[M].北京:科学出版社, 2003
[3]周立功.深入浅出Cortex-M3-LPC1700[Z].广州致远电子有限公司出版, 2009
[4]王宪章.关于PWM直流电动机控制系统的分析[J]. 科技资讯, 2009(13)
[5]Yong Zhou, Yufeng Zhang, Qixun Zhou, Qirui Li. A novel method for the control of multi-motor system based on embedded terminal[J]. Procedia Engineering. 2011, 24:219-225
[6]Zou Aicheng, Wang Qunying, Cao Yijie. Design of PWM DC Motor Control System Based on Single Chip[J]. Advanced Materials Research, 2014
[7]张建平.单片机与PC机简易串行通信的实现[J].现代电子技术, 1999,5(4):305-311
[8]孙安青.ARM Cortex-M3嵌入式开发实例详解[M].北京:北京航空航天大学出版社, 2012
[9]应晓浒,张卫星,陈晓东. 波长色散 X射线荧光光谱仪的性能测试方法介绍[J],光谱实验室, 2000,03:281-285
本文来源于中国科技核心期刊《电子产品世界》 2016 年第 4 期第 59 页,欢迎您写论文时引用,并注明出处。
上一篇:实现精确测量两大方法
下一篇:照明灯闪烁其中一个原因竟是它


