- 易迪拓培训,专注于微波、射频、天线设计工程师的培养
扫频测量分享:如何进行射频陶瓷贴片电容的测试?
贴片电容模型
射频陶瓷贴片电容的外形示意图如图1所示。

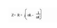
其等效模型如图2所示。

其中,C为电容,L为电极等效串联电感,R为电极和介质交流漏电阻的等效串联值,这样,一个射频电容的阻抗Z为:

测试夹具
本实验使用特性阻抗Zc为50Ω的共面波导作为测试夹具,将待测电容横跨接在共面波导的内外金属条带之间,其横截面图如图3所示。并接在共面波导上的被测电容构成的双端口网络如图4所示。

计算与结果
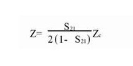
网络分析仪测量并结合一定的校准方法(TRL)可算出电容的散射参数S21o由微波网络理论可知:

取Z的虚部(电抗)X,运用实验数据处理中的最小二乘法并由(1)式知,X的拟合模型为?L-1/?C。通过一系列频点?i的测试计算数据Xi(i=1,2,。,n),寻找最优的参数L和C使得:

现对5个标称值已知的片式电容在300M~3000MHz的频率范围内测量,所得数据与生产厂家给出的电容标称值进行比较,如表1所示。

由上表可见,片式电容的测量值均落在标称值的容许误差范围内。
其中5号电容的测量计算电抗值X与拟合模型?L-1/?C的曲线如图5所示。

从上图可以直观地看出,被测电容的电抗符合模型所描述的规律。
采用扫频法测量阻抗值并用最小二乘法拟合计算,不仅可以得出电容值,还可以得出等效串联电感和电阻(由于生产厂家没有给出相应的标称值进行比较,这里不再列出)。应注意扫频带宽不宜过大,否则会因电容器内电介质的色散而使电容值有一定的变化,通常可在3G的频宽内测量。
上一篇:ICT在线测试基本原理
下一篇:利用功率循环测试以分析汽车IGBT芯片的材料性能


