- 易迪拓培训,专注于微波、射频、天线设计工程师的培养
LC振荡电路测量电容和电感的设计原理
1 测量原理
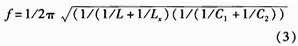
采用LC振荡器的振荡原理,LC振荡器选择L或是C参数为固定值。通过LC的组合,振荡器起振,当测量电容时电感固定,测量电感时电容固定。通过LC振荡器的频率计算公式
其中
可以计算出待测的电容或电感数值。
2 电路工作原理
2.1 电路框图设计
如图1所示。框图包括输入切换部分、振荡部分、分频部分、单片机部分、显示部分和键盘部分。此系统由STC89C51单片机作为控制核心,输入切换部分采用双刀双掷继电器完成待测电容或电感的线路切换,振荡电路工作在放大谐振状态,频率有高频管9018的集电极输出,由于频率较高,所以需经过信号分频,再者由于输出的电压幅度大,此处无需再加一级驱动,以74LS393数字分频芯片,把分频端级联实现100分频,最终信号进入单片机,由单片机计算出频率,经过算法设计,实现未知电容或电感参数的测定。图1给出了系统的总体框架图。
2.2 输入切换电路
输入切换电路使用双刀双掷继电器实现,主要负责电容和电感的输入切换,当连接上电容时系统通过继电器K2,如图2所示。连接单片机,K2的固定端直接连接单片机的引脚IO3和IO4,常开节点连接待测电容或电感的引脚两端,并且初始设置两个引脚一个为逻辑高电平5 V,一个为逻辑低电平0 V,当给K2通电,固定端和常闭端连接,由于IO3和IO4分别为5 V和0 V。电容对直流是开路,所以IO3和IO4电平维持原来的状态。若为电感,由于电感对直流相当于导线,那么5 V的IO会被0 V的拉低。两个IO都为0 V。由此得出没有短路在一起时,单片机判断为电容,从而选择测量电容的方法,此时通过单片机对IO1脚的设置把另一个双刀双掷开关K1,开关拨到上,上为与电容C2并联,如图2所示。而短路在一起时,单片机判断为电感,单片机选择测量电感的方法,此时通过单片机对IO1脚的设置把另一个双刀双掷开关K1开关拨到下,即与电感L并联。
2.3 振荡电路原理
振荡电路采用LC振荡电路,振荡的频率由L和C确定。振荡管采用9018,Rb1和Rb2为基极偏置,Rc为限流电阻,电容C1、C2和电感L构成正反馈选频网络,反馈信号取自电容C2两端。该电路也称为电容3点式振荡电路。输入信号和反馈信号同相。在测量过程中,当测量电感时,输入电路自动把待测电感Lx并联到L的两端。当测量电容时,输入电路自动把要测量的电容Cx并联到C1的两端。
2.4 分频电路原理
分频电路采用74LS393数字分频芯片,分频端级联实现100分频,高频管9018的集电极输出振荡信号,之后把振荡器输出的信号100分频,频率将降到单片机测量的范围之内。2.5 单片机实现电容和电感的计算
当把待测的电容或电感接入时,系统自动进行判断,根据判断结果确定算法。当判断到是电容时,系统计入电容的计算方式,电容的计算方式采用公式
根据测量得到频率和已知的L和C2,从而计算出Cx的值。当判断为电感时,系统进入电感的计算方式,电感的计算方式采用公式
根据测量到的频率和已知的C1、C2、L计算出Lx的值。
3 算法设计
系统上电初始化并且清屏,单片机初始化完成后,进入键盘扫描程序,当要进行电容或电感测量时,选择测量按键,系统进行自动判断并进行电容或电感的测量。当判断为电容时,系统选择电容的计算方法。当判断为电感时,系统选择电感的计算方法。计算完成后在液晶屏上显示测量结果。下面是具体的程序流程图,如图3所示。
4 实际测量数据及其分析
4.1 提高测量精度的方法
采用该系统进行电容和电感的测量,由于元器的热稳定性和外界对电路的干扰影响,测量的结果会有所跳动,是因为三极管的结电容随着温度的变化而变化,从而影响测量结果,这也是电容三点式振荡电路不稳定的关键原因。基于以上原因,在测量过程中可以采用多次测量求平均值的方法提高测量精度。
4.2 实际测量
电路的固定参数如下:Rb1=10 kΩ,Rb2=10 kΩ,Rc=4 kΩ,Re=4.7 kΩ,Cb=1μF,Ce=0.1μF,选择不同的电容分别测试3次,得到表1。选择不同的电感分别测试3次,得到表2。由表得出测量值与标称值几乎接近,表明系统设计方案的正确性,满足一般的实验室和工程设计用到的电子元器件参数测试精度要求。
5 结束语
本系统采用单片机和振荡器起振的组合,计算电容和电感值。系统拥有比较智能的测量方法和简易的操作方法。单片机进行全自动的判断和测量,通过单片机的IO口判断来确认所要测量的对象。然后进行频率的测量和测量结果的计算,最终计算出被测对象的真实值。该系统通过相应的实验和实际的测量,能准确地测量电容和电感的数值,测量范围为0.001~22μF和0.01~100 mH,测量精度在5%以内。
上一篇:基于I2C总线的锅炉温度测量系统的设计与实现
下一篇:电容的检测方法


