- 易迪拓培训,专注于微波、射频、天线设计工程师的培养
低固定增益差分放大器的噪声测量
图1显示可选增益(1、2或3)差分放大器ADA4950-1后接低噪声、低失真运算放大器AD8099。 AD8099将差分输出转换为单端信号,增益设为10。与ADA4950-1相比,AD8099的1nV/√Hz等效输入电压噪声可忽略不计。 ADA4950-1的输出放大10倍,其噪声也成比例放大。利用0.5pF补偿电容和10倍增益,AD8099具有足够的带宽来测量ADA4950-1的 噪声;在系统的频率响应开始滚降之前,工作频率最高可达10 MHz。

图1. 利用低噪声、低失真运算放大器A D8099测量可选增益差分放大器ADA4950-1的噪声
AD8099的输出电压为:
(1)
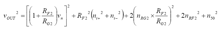
当输入接地时,测得的AD8099噪声贡献视为测量系统的噪底,然后测量包括ADA4950-1的总输出噪声,ADA4950-1的噪声即为RSS(和的平方根)方法,用总噪声减去AD8099的噪声贡献。如式2所示;其中Vn1为ADA4950-1的输出噪声,Vn2为AD8099的输出噪声。
总输出噪声为:
(2)
为了精确测量系统噪声,还采用了其它几项技术:
- 测量AD8099的噪声时,其输入通过SMA连接器接地,SMA连接器的芯线对连接器的接地引脚短路。此外,SMA连接器焊在一起,直接在连接器上形成共用接地连接,而不是通过电路板。
- AD8099和ADA4950-1使用模拟控制电源。与数字控制电源相比,模拟控制电源能更好地抑制60Hz电力线耦合的噪声和谐波。
- 所有邻近仪器均关闭,除非测量需要使用。这可以最大程度减少由这些仪器控制器数字电路而产生的振荡,这些振荡可以通过空气耦合至放大器。出于同样的原因,使用4英尺电缆将电路板连接到频谱分析仪,频谱分析仪会拾取显示器的刷新频率,从而影响AD8099的输出。
- 为使AD8099的噪声贡献较小,使用低值电阻(RF = 250 ; RG = 25 )配置其增益。较低的值会引起AD8099振荡。当用短电缆将ADA4950-1与AD8099相连时,在250 MHz时可观察到振荡。当使用1英尺电缆时,振荡消失。
AD8099本身的噪声贡献非常小:
(3)
其中vn为输入电压噪声,ni+和ni-为AD8099的输入电流噪声。
因为需要一个大反馈电阻来放大该噪声,但内部反馈电阻值无法改变,所以不可能测量ADA4950-1的电流噪声。
图2所示的是测量结果,测量100 kHz及以下的噪声使用的是Stanford Research Systems SR785,测量100 kHz以上的噪声使用的是Agilent E4440 PSA频谱分析仪。

图2. 测试结果
上一篇:电流波形交越失真问题分析
下一篇:高速时域测量——实际改进技巧


