- 易迪拓培训,专注于微波、射频、天线设计工程师的培养
高速时域测量——实际改进技巧
不能简单地搬一台现成的示波器和随便从抽屉里取一根探头用于高速测量。当为高速测量选择合适的示波器和探头时,首先应该考虑:信号幅度、信号源阻抗、上升时间和带宽。
选择示波器和探头
目前有上百种示波器可供选择,从非常简单的便携式示波器到价格达几十万美元的专用台式数字存储示波器(有些高档探头本身 价格就可能达一万美元以上)。与这些示波器相配的各种探头种类也非常多,包括无源、有源、电流测量、光测量、高电压测量和差分信号测量探头。对现有每一种 示波器和探头种类进行全面彻底的描述超出了本文范围,因此我们将集中讨论使用无源探头适合高速电压测量的示波器。这里所讨论的示波器和探头通常用于测量具有宽带和短上升时间特性的信号。除了这些指标外,我们还需要知道电路对负载的灵敏度,包括阻性负载、容性负载和感性负载。例如,当使用大电容探头时,测量 快速上升时间的信号会产生失真;在有些应用中,电路根本不允许探头插入其中(例如,有些高速放大器,当将电容放在其输出端时会产生振荡)。了解电路的极限值和期望值会有助于您选择合适的示波器和探头组合以及使用它们的最佳方法。
首先,信号带宽和上升时间会限制示波器的选择。一般原则是示波器和探头的带宽应该至少是待测信号带宽的三到五倍。
带宽
不管待测信号出现在模拟电路还是数字电路,示波器都需要具有足够的带宽以如实地再现信号。对于模拟信号测量,待测信号的最高频率将决定示波器的带宽。对于数字信号测量,通常是上升时间 — 而不是重复频率 — 决定所需要的示波器带宽。
一般用-3 dB频率表示示波器的带宽,在-3dB处所显示的正弦波的幅度相对最大输入幅度下降到70.7%,即
![]() | (1) |
保证示波器具有足够带宽以使误差最小至关重要。绝不应该在示波器的-3 dB带宽附近做频率测量,因为这在测量正弦波时会自动引入30%的幅度误差。图1所示是幅度精度随待测信号频率与示波器带宽比变化的典型衰减曲线。

图1. 幅度衰减曲线
例如,300 MHz的示波器在测量300 MHz频率处误差会高达30%。为了将误差保持在3%以下,其能够测量的最大信号带宽大约是0.3×300 MHz或90 MHz。换句话说,为了精确地测量100 MHz信号(<3%误差),您需要至少300 MHz带宽的示波器。图1的衰减曲线说明了关键一点:为了保持幅度误差合理,示波器和探头组合的带宽应该至少为待测信号带宽的3到5倍。为了保证幅度误差 小于1%,示波器的带宽应该至少为信号带宽的5倍。
对于数字电路,上升时间特别重要。为了保证示波器将如实地再现上升时间,可以使用预期的上升时间来确定示波器的带宽要求。这种关系假设电路响应类似于一个单极点、低通RC网络,如图2所示。

对一个施加的电压阶跃信号的响应,其输出电压可以使用公式(2)计算。
![]() | (2) |
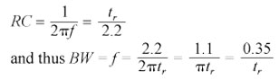
对一个阶跃响应的上升时间定义为其输出幅度从阶跃幅度的10%上升到90%所花费的时间。使用公式(2),阶跃幅度 10%对应的时间是0.1 RC,90%则对应2.3 RC。它们之间的差值是2.2 RC。因为-3 dB带宽(f)等于1/(2π RC),并且上升时间(tr)等于2.2 RC,所以
![]() | (3) |
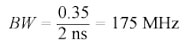
因此,对于单极点探头响应,我们可以使用公式(3)计算出信号的等效带宽,如果已知上升时间。例如,如果信号的上升时间是2 ns,则等效带宽为175 MHz。
![]() | (4) |
为了保持3%的误差,示波器和探头的带宽至少应该是待测信号带宽的3倍。因此应该使用600 MHz 带宽的示波器来精确测量2 ns的上升时间。
探头的构造
考虑到探头的简单性,它是一个非常值得注意的装置。探头由一个探讨尖端(它包含一个并联的RC网络)、一段屏蔽线、一个 补偿网络和一个地线夹组成。探头最重要的要求是在示波器和待测电路之间提供一个非侵入式接口 — 尽可能不影响电路,同时允许示波器能够几乎完美地再现待测信号。
过去为了测量栅级和板极电压时,需要高阻抗以减小信号节点的负载。所以先将探头放在在真空室几天,待开始测量时再取回。当今这个原理仍然非常重要。高阻抗探头不会对待测电路增加太大的负载,因此在测量节点上可提供真实信号的精确波形。
根据我的实验室经验,最常用的探头是10倍和1倍无源探头;10倍有源场效应晶体管(FET)探头是次常用的。10倍无 源探头将信号减少到原来的十分之一。1倍探头没有衰减,可以直接测量信号。它具有1MΩ输入阻抗,而且探头尖端的电容高达100 pF。图3示出是10倍衰减、10 MΩ探头的典型原理图。

图3. 探头原理图
Rp(9 MΩ)和Cp位于探头尖端内,R1表示示波器的输入阻抗,C1表示示波器的输入电容和探头补偿箱电容的组合值。为了精确地测量,两个RC时间常量(RpCp和R1C1)必须相等;任何不平衡都会引入上升时间误差和幅度误差。因此,在测量前总是要校准示波器和探头的工作非常重要。
校准
在获得一台可以工作的示波器和探头后应该要做的第一项工作是校准探头以保证其内部RC时间常量匹配。不要太频繁校准,因为没有必要。
图4示出如何正确地将探头连接到示波器的探头补偿输出。使用非磁性调节工具调节补偿箱中的调节螺螺丝完成校准一直观察到平坦的波形响应。

图4. 校正示波器的探头
图5示出了欠补偿、过补偿和合理补偿三种情况下探头产生的波形。
请注意欠补偿和过补偿探讨会引入很大的上升时间测量误差和幅度测量误差。有些示波器具有内置校正。如果您的示波器具有内置校正,请保证在测量之前进行校准。
![]() | ![]() | ![]() |
(a) | (b) | (c) |
图5. 探头补偿:(a)欠补偿;(b)过补偿;(c)合理补偿
地线夹和高速测量
地线夹固有的寄生电感会使其与实际高速测量相互排斥。图6示出示波器探头和地线夹的原理示意图。其中探头LC组合构成一个串联共振电路——共振电路是示波器的基础。

图6. 等效探头电路
这种附加的电感并不是所期望的特性,因为串联LC组合可能会对其它干净的波形的增加很大的过冲和振荡。这种过冲和振荡通 常不会引起注意,因为示波器的带宽有限。例如,如果使用一台100 MHz带宽的示波器测量一个包含200 MHz振荡波形的信号时,我们看不到振荡,因为信号受示波器带宽限制大幅度衰减。请记住,对于100 MHz带宽的示波器,图1示出在100 MHz处衰减3 dB,每倍频程会连续下降6 dB。因此200 MHz的寄生振荡会下降将近9 dB,大约减小到原信号幅度的35%,从而很难看到。然而,随着示波器测量速度的提高和带宽的增加,地线夹的影响能够明显地看到。
使用公式(5)计算地线夹的串联电感可估计地线夹引入的振荡频率。L表示单位为纳亨(nH)的电感,l表示以英寸(in)为单位的导线长度,d表示以英寸(in)为单位的导线直径。
![]() | (5) |
然后将公式(5)的结果带入公式(6)计算共振频率f(Hz)。L表示以亨利(H)为单位的地线夹电感,C表示探测节点的总电容(F)—— 探头电容和任何寄生电容的组合。
![]() | (6) |
现列举几个使用不同长度导线的地线夹的实例。在第一个实例中,使用一个带6.5 in长地线夹的11 pF探头测量一个快速上升的脉冲沿。测量结果如图7所示。乍一看脉冲响应很干净,但是仔细观察会发现一个幅度很低的100 MHz衰减振荡。

图7. 使用6.5 in地线夹的测量结果
现在我们用公式(5)和公式(6)表示探头的物理特性检查这个100 Mhz振荡是是否由接地引脚产生的。地线夹长度为6.5 in,导线直径为0.03 in;这会产生190 nH的电感。将该值带入公式(6),并且C=13 pF(11 pF示波器探头电容的和2 pF杂散电容)会产生大约101 MHz的振荡。这种与观察到的频率密切相关性允许我们断定6.5 in地线夹是产生低幅度振荡的原因。
现在考虑一个更加极端的情况,在这里施加一个2 ns上升时间的快速信号。这通常用于许多高速PC板。图8a示出使用TD2000系列示波器观察到的很大的过冲和延长振荡。原因是2 ns的快速上升时间和175 MHz的等效带宽具有足够大的能量激励探头引脚的100 MHz串联LC产生振荡。过冲和振荡大约是峰峰值的50%。来自典型接地的这种影响可以清楚地看到并且在高速测量中完全不能接受。
取消接地引脚后,可以更加真实地看到对施加输入信号的响应波形(见图8b)。
为高速测量准备探头
为了获得有意义的示波器测量波形,我们需要去掉地线夹电路并且要拆卸探头。一定要要对探头做正确地拆卸!要拆除的第一个 部件是按压式探头尖端适配器。接下来,旋开包在探头尖端外面的塑料套筒。然后要拆除的是地线夹。图9示出示波器探头改进前(a)和改进后(b)的探头外 形。图9(c)示出使用6 in地线夹测量脉冲发生器的上升沿;图(d)示出使用为高速测量准备的探头〔见图9(b)〕做相同测量的测量结果。如图8所示,改进的测量结果非常显著。
![]() | ![]() |
(a) | (b) |
图8. (a)使用6.5 in地线夹测量2 ns上升时间的阶跃响应; (b)没有地线夹时的阶跃响应。
![]() | ![]() |
(a) | (b) |
![]() | ![]() |
(c) | (d) |
图9. ( a)从箱子里取出未改进的探头;(b)为高速测量改进的探头;(c)使用未改进的探头的测量结果;(d)使用改进后探头的测量结果。

(a)

(b)

(c)
图10. 去掉示波器探头的接地方法
接下来,为了校准需要直接拆卸探头(见图4)。一旦完成校准,探头就可以准备使用了。探头直接靠近某个测试点同时将探头 的金属外套连接一个局部接地。关键是如何在示波器探头外套上做恰当的接地连接。这样可消除使用探头地线夹引入的串联电感。图10a示出使用改进探头的正确 测量方法。如果探头直接接地很不方便,可以使用一付金属镊子、一把小螺丝刀或甚至一个改进地线连接的纸夹子,如图10b所示。可以将一段短的裸线在探头的 金属外套上绕几圈(地线环),如图10c所示,从而可提高测量灵活性并且能够测量多点(在小范围内)。
如果可行的话,更好的方法是在PCB板上设计专用的高频测试点(见图11)。这种探头尖端适配器可提供上述使用裸探头尖端的所有优点,从而可以迅速准确地测量许多测试点。

图11. PCB到探头尖适配器
探头的电容效应
探头电容会影响上升时间和幅度测量;它也会影响某些器件的稳定性。
探头电容会直接增加被测节点的电容。附加的电容会增加该节点的时间常数,从而使得脉冲的上升沿和下降沿变缓慢。例如,如 果将一个脉冲发生器与一个任意的容性负载相连,其中CL=C1,如图12所示,然后利用公式(7)计算相关的上升时间,其中中Rs(=R1,见图12)是 信号源的阻抗。
![]() | (7) |

图12. 由RC负载决定的上升时间
如果Rs=50Ω,CL=20 pF,则tr=2.2 ns。
接下来,我们考虑使用一个具有10 pF电容、10:1衰减比的探头测量相同的电路。新电路如图13所示。现在总电容是31 pF,新的上升时间是3.4 ns,上升时间增加了54%!显然这无法让人接受,但是否有其它的选择呢?

图13. 附加的探头电容
有源探头是测量高速电路的另一种好的选择。有源探头或FET探头包含一只有源晶体管(通常是FET管)可以放大信号,而 无源探头只能衰减信号。有源探头的优点是具有极宽的带宽、高输入阻抗和低输入电容。测量高速电路的其它方案是使用具有高倍衰减比的示波器探头。通常,提高 探头的衰减比会减小其电容。
探头尖端的电容不仅会在测量上升时间时引起误差,还会使一些电路产生过冲和振荡,或者极端情况下使电路变得不稳定。例 如,许多高速运算放大器对其输出端和反向输入端的容性负载的影响很敏感。当在高速放大器的输出端引入附加电容时(在这种情况下,指示波器探头18 Analog Dialogue第41卷第1期尖端),放大器的输出阻抗和附加电容会在反馈响应中形成一个附加极点。该极点会产生相移并且减小放大器的相位裕量,从而会 导致不稳定性。这种相位裕量的损失会引起振铃、过冲和振荡。图14示出使用Tektronix P61131 示波器带10 pF电容和10:1衰减的探头,并且采用合适的高速接地测量高速放大器的输出。信号在产生了1300 mV的过冲并且伴随12 ns的振荡。显然,这个探头对该应用不合适。

图14. 使用10 pF探头测量高速放大器的输出
幸运的是有几种解决方案可以解决这个问题。首先,你可以使用一个较低电容的探头。在图15中,使用Tektronix P6204 1.1 GHz示波器带1.7 pF电容10:1衰减 FET管有源探头完成与图14所示相同的测量,并且也是使用正确的高速接地。

图15. 使用1.7 pF 电容FET管有源探头测量高速放大器的输出
在这种情况中,使用较低电容的有源探头显著减小了过冲(600 mV)和振荡时间(5 ns)。另外一种方法是加入一个很小的与示波器探头串联的电阻(通常是25 Ω~50 Ω)。这有助于将探头电容与放大器的输出隔离,并且减小振荡和过冲。
传播延迟
测量传播延迟的一种简单方法是同时测量待测设备(DUT)的输入和输出。传播延迟很容易从示波器的显示屏上读出两个波形之间的时间差。
然而,当测量短传播延迟(<10 ns)时,必须注意保证示波器两个探头的长度相同。由于导线的传播延迟大约是1.5 ns/in,不同长度的两个探头会产生相当大的误差。例如,使用3英尺(ft)的探头和6 ft的探头产生的信号传播延迟误差大约是4.5 ns — 当进行单位数或双位数纳秒(ns)测量时该误差相当大。
如果没有两根长度相等的探头(经常会遇到这种情况),请按如下操作:将两根探头连接到同一信号源(例如脉冲发生器)并且记录传播延迟差,称为“校准因子”。然后将从长探头的读数中减去“校准因子”,从而可校准测量结果。
结论
虽然高速测量并不是太复杂,但当冒险在实验室做高速时域测量时必须考虑许多因素。示波器的带宽、校准、上升时间和探头的选择以及探头尖端和地线长度都对测量的质量和完整性起重要作用。使用这里介绍的一些方法有助于加速测量过程并且改进测量结果的总体质量。
上一篇:低固定增益差分放大器的噪声测量
下一篇:两种简单、精确、灵活的热电偶温度测量方法


















