- 易迪拓培训,专注于微波、射频、天线设计工程师的培养
开关变压器伏秒容量的计算与测量
录入:edatop.com 点击:
下面是开关电源设计务必掌握的知识:
1、开关变压器的伏秒容量
2、变压器磁芯的磁化曲线
3、开关变压器初级线圈匝数的计算
4、开关变压器磁芯气隙的选取
5、开关变压器的直流迭加特性
希望从事开关电源设计的工程师对此感兴趣!
1.概述
伏秒容量是开关变压器的一个极其重要的参数,但很多人在设计开关变压器的时候都把这个重要参数忽视了。很多人在设计开关变压器的时候,都是根据开关电源的工作频率和输出功率来计算开关变压器的初级线圈电感量,而在实际应用中,这种方法有很大的局限性,因为变压器铁心的导磁率并不是一个常数,它的初始导磁率和有效导磁率相差非常大,即变压器线圈的静态电感量和动态电感量相差很大。如图1所示,图中,B为变压器铁心的初始磁化曲线,为导磁率变化曲线,为励磁电流。
另外,单端磁化开关电源变压器一般都需要留气隙,气隙的大小对变压器线圈的电感量影响非常大,因此,有人通过调整气隙的长度来调整变压器线圈的电感量,显然这中方法是错误的。用这种方法设计出来的开关变压器,不是容易出现磁饱和就是初、次级线圈漏感过大,使开关管过流或过压损坏,并且还容易产生EMI干扰和降低工作效率。

1.1开关变压器的工作原理
图2反激式开关电源变压器的工作原理图,由于反激式开关电源在开关接通期间,变压器只存储能量,不输出功率,因此,在开关接通期间,图2电路可以等效成图3电路。
在图3电路中,当开关接通时,电源E对电感L1进行充磁,并产生励磁电流i1,如果把L1看成是一个常数,则i1由下式表示:

很多人就是根据(2)式和(3)式来确定开关变压器初级线圈的电感量的。

1.2开关变压器的磁化工作曲线
由于变压器铁芯的导磁率与工作点有关,它不是一个常数,所以,图3中的电感也不是一个常量,它会随着磁化工作点不断改变,而磁化工作点则由脉冲宽度和消磁电流来决定。
开关变压器的消磁电流,主要是流过变压器次级线圈的电流,流过次级线圈的电流越大,磁回线的面积就越大,即剩磁就越小,变压器线圈存储的能量就越多。因此,变压器铁芯的剩磁大小不是固定的,它会随着开关电源输出电压的脉冲宽度以及输出电流不断地在变化。如图4。

为此,我们引入变压器伏秒容量的定义是必要的。
1.3开关变压器伏秒容量的定义
根据图2、图3、图4,我们可以列出下面方程式:
…………(4);式中:
………(5)
对(5)进行积分:
…(6);得:
…(7)
(7)式就是我们用来计算开关变压器初级线圈匝数的公式。式中:N1为初级线圈的匝数,E为初级线圈两端的电压(伏),τ为脉冲宽度(秒),S为变压器磁芯的面积(厘米平方),Bm为最大磁通密度(高斯),Br为剩余磁通密度(高斯),一般带气隙的变压器磁芯取Br=0.2~0.3Bm,Br取值大小与气隙长度有关。
在这里,我们把(7)式中的脉冲幅度与脉冲宽度的乘积定义为变压器的伏秒容量,即:

伏秒容量VT表示:一个开关变压器能够承受多高的输入电压和多长时间的冲击。在开关变压器伏秒容量一定的条件下,输入电压越高,开关变压器能够承受冲击的时间就越短,反之,输入电压越低,开关变压器能够承受冲击的时间就越长;而在一定的工作电压及脉冲宽度条件下,开关变压器的伏秒容量越大,开关变压器的铁芯中的磁通密度就越低,开关变压器铁芯就不容易饱和。
如果我们把(8)式的分子和分母都乘以一个电流I,就很容易看出:伏秒容量也是一个物理量,它表示单位电流在开关变压器中存储的能量,或单位电流在开关变压器中所做的功。
伏秒容量:
单位电流所做的功。
由此我们可以看出,用来计算变压器初级线圈匝数的(7)式,其方法就是通过计算单位电流在带磁芯的变压器线圈中存储的能量多少来确定变压器线圈的匝数,即,在电流和磁芯材料参数一定的条件下,变压器线圈的匝数越多,存储的能量就越多。
这里需要说明的是,图4中的Bm值与Br值都不是固定的,Bm值的大小取决于励磁电流的大小(与脉冲宽度和电感量有关,而与负载无关),而Br值的大小则取决于流过变压器次级线圈N2的电流(瞬时值),流过N2的电流也称消磁电流,其大小与负载有关。
我们还可以通过磁化曲线图(图5)来理解伏秒容量的意义,即,伏秒容量的大小与磁通增量大小有关,还与脉冲宽度有关。
由于变压器磁芯的剩磁Br值与消磁电流有关,Br值并不是固定的,因此,变压器的伏秒容量也在不断地变化的,当我们计算变压器伏秒容量的时候,一般都是计算变压器的最大伏秒容量VTm。消磁电流就是流过变压器次级线圈的电流(瞬时值)。
由图5可以看出,利用伏秒容量的概念来计算变压器初级线圈的匝数,要比利用电感量的概念来计算变压器初级线圈的匝数的方法要合理很多。
当我们运用(7)式计算变压器初级线圈匝数,或运用(8)式计算伏秒容量的时候,从图5中大概可以看出,如果变压器磁芯不留气隙,选取Bm值最好不要超过Bs值的80%,而Br值最好不要小于Bs值的30%。因此,单激式开关电源变压器的铁芯必须要留气隙。

1.4开关变压器磁芯气隙的选取
通过图6可以证明:

当
时,气隙长度为最佳值(即最小值)。此时变压器的平均导磁率
约等于磁芯导磁率
的三分之一。实际应用中,气隙长度总是大于最佳值的。(证明附后)
例如:当没有气隙铁芯的导磁率
=103时,比值为
/
=2
10-3,如果变压器铁芯磁路的总长度
=120mm,则铁芯的最小气隙长度
应该等于0.24mm。在实际应用中,可以取
=0.5mm,即最小气隙长度的2倍,以此开始做试验。此时,平均导磁率只有铁芯导磁率的1/5,即=200。
变压器的伏秒容量VT的大小是可以测量的,铁芯预留气隙长度是否合理,也是可以通过测量来验证的;而仅对变压器的电感量进行测量,则无法验证铁芯预留气隙长度是否合理,如果有人想通过改变磁芯气隙的长度来改变电感的大小,这种做法更是错误的。
1.5开关变压器伏秒容量的测量

图中,M为电感测试仪,LT为隔离电感,I为电流源,LX为待测开关变压器初级线圈。LT的电感量必须远远大于被测开关变压器初级线圈的电感量,但如果电流源I是一个理想的恒流源,那么隔离电感LT可以省去。
开关变压器的伏秒容量可以用直流迭加法来测量,图7是一个对开关变压器进行伏秒容量进行测试的原理图。
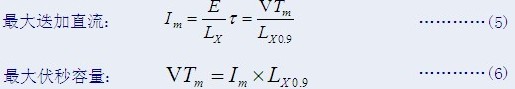
电流迭加法就是在开关变压器线圈中迭加一直流电流,让开关变压器铁芯进行磁化,然后,对开关变压器的电感量进行测量,从而间接测量开关变压器线圈的最大伏秒容量VTm。VTm的定义是,当迭加直流I使电感LX的电感量减小到初始值L0的0.9倍时,开关电源变压器所对应的伏秒容量VT值。
开关变压器的最大伏秒容量VTm由下面公式求得:
或:
式中:Im为使电感LX的电感量减小到初始值L0的0.9倍时迭加直流的对应值。
知道了开关变压器的最大伏秒容量,就可以确定变压器的最高工作电压Vm和最大脉冲宽度Ton。
从(10)式还可以看出,由于Im与Lx的值都与变压器铁芯的气隙长度有关,因此,它们三者之间必然有一个最佳值。这个最佳值我们通过测试几个样品很容易就知道。
此测试方法有一定的正交性质,因此,相对来说,试验结果会更准确和更科学。正交性就是所得结论和试验是沿着两个不同方向进行。

(9)式中E可取输入电压的最大值,τ取值可根据输入电压为最大值时对应的最小占空比Dmin和工作频率F求得。求最大伏秒容量VTm时,应把τ值换成τx,一般取τx = 1.43τ。
图9是测试最大伏秒容量时,迭加直流Im,与平均工作电流Ia、半波平均电流Iaτ1、半波最大电流Imτ1各者之间的关系。
从图中可以看出,当D=0.5时,迭加直流Im是平均工作电流Ia的5.4倍,如果在此工作状态下,初级线圈的电流密度为3A/mm2,则测试电流的密度为16.2A/mm2,因此,在测试过程中变压器初级线圈一般都发热,这正好也是校验初级线圈电流密度取得是否合适的方法。

1.6开关变压器的安全使用
使用开关电源变压器时,加于开关电源变压器初级线圈的电压和脉冲宽度的乘积,不能超出变压器的最大伏秒容量,最好要留出30%的余量。因为,变压器铁芯的导磁率与工作温度有关,大部分变压器铁芯的居里温度都低于140℃,当温度大于110℃时,铁芯的导磁率会明显下降。

1.7开关变压器设计关键步骤总结
1、计算变压器初级线圈匝数:
2、求变压器伏秒容量:
3、选取变压器磁芯气隙:
4、对开关变压器初级线圈进行直流迭加测试:

最大伏秒容量一定要合格,如不合格,需要推倒重来!
附录:开关变压器磁芯气隙最佳选择
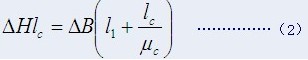
在图6-a中,假设为气隙长度,变压器铁芯磁路的总长度为,则磁路的磁通势为:

上式中,
为变压器铁芯的导磁率;
为空气的导磁率,其值约等于1;
为变压器铁芯磁路的总长度;
为气隙的长度;
为磁场强度增量;
为磁通密度增量。
由于
,
,所以,(
-
)≈
,因此上式可化简为:

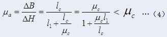
由此可以求得有气隙铁芯的平均导磁率
为:

上式中,
为有气隙铁芯的平均导磁率,
为变压器铁芯的导磁率,
为气隙的长度,
为变压器铁芯磁路的总长度。
根据上式,我们的愿望就是在最大磁通密度增量
的条件下,要求平均导磁率
的最大值。在图6-b中,虚线表示变压器铁芯没有气隙时的磁滞回线,实线表示变压器铁芯留有气隙时的磁滞回线,其中磁化曲线o-a为留有气隙铁芯的基本磁化曲线。这里的基本磁化曲线与初始磁化曲线并不完全相同,这里的基本磁化曲线相当于磁化曲线的几何平均值,以便用于分析磁场强度增量
与磁感应密度增量
的关系。
显然,对应每一个气隙长度的取值就有一组相应的磁滞回线;但不管气隙长度取得多大,铁芯的最大磁通密度Bm只能达到铁芯磁饱和时对应的Bs值,它不会随着气隙长度
的增长而继续增长;而铁芯的剩余磁通密度Br也不会因气隙长度
增长而大幅度下降。因此,应该有一个最佳值,它应该既要兼顾磁通密度增量
最大的同时,也要兼顾平均导磁率
达到最大的条件。为了求出的最佳
值,我们可以沿着基本磁化曲线o-a不断地画切线,如图中切线o-b;切线与H轴夹角
的正切值
就是此点的导磁率;当切线的相切点位于最大磁通密度增量
的二分之一位置上时,这点的正切值
就可以认为等于平均导磁率
;由此我们可以看出平均导磁率
总是小于或者等于正切值
。
如果我们把最大正切值
对应的磁通密度增量
和磁场强度增量
,定义为铁芯的最佳工作点,那么通过切线o-b就可以求出对应的最佳值。可以证明通过原点的切线o-b是正切值最大的切线,因为实际中的基本磁化曲线是不存在的,基本磁化曲线相当于磁化曲线的几何平均值;另外,所定义的最佳工作点实际上就是气隙长度
最小值对应的工作点。
从图6-b以及(4)式可以看出,当
>>1时,有气隙铁芯的平均导磁率
基本与气隙的长度
成反比;因此
的值正好就是对应图6-b中,切线o-b与B轴夹角
的正切值
;
代表
,
代表
。
与
相乘正好把两条正交直线H和B的单位进行归一化,要么它们之间的夹角就没有意义。
由图6-b可以看出,当
≈1/2时,
为最佳值,实际上也是
的最小值;因为,平均导磁率
会随着
增大而减小。因此,
的最佳值(或最小值)由下式求得:

把(5)式的结果代入(4)式,可以求得,当
为最佳值时,有气隙铁芯的平均导磁率
正好等于没有气隙铁芯导磁率
的三分之一。
值得指出的是:由于
不是一个常数,其最大值与最小值相差甚远,因此,当使用(5)式计算开关变压器气隙长度的时候,必须要预留足够的余量,一般预留余量要在1倍以上。
1、开关变压器的伏秒容量
2、变压器磁芯的磁化曲线
3、开关变压器初级线圈匝数的计算
4、开关变压器磁芯气隙的选取
5、开关变压器的直流迭加特性
希望从事开关电源设计的工程师对此感兴趣!
1.概述
伏秒容量是开关变压器的一个极其重要的参数,但很多人在设计开关变压器的时候都把这个重要参数忽视了。很多人在设计开关变压器的时候,都是根据开关电源的工作频率和输出功率来计算开关变压器的初级线圈电感量,而在实际应用中,这种方法有很大的局限性,因为变压器铁心的导磁率并不是一个常数,它的初始导磁率和有效导磁率相差非常大,即变压器线圈的静态电感量和动态电感量相差很大。如图1所示,图中,B为变压器铁心的初始磁化曲线,为导磁率变化曲线,为励磁电流。
另外,单端磁化开关电源变压器一般都需要留气隙,气隙的大小对变压器线圈的电感量影响非常大,因此,有人通过调整气隙的长度来调整变压器线圈的电感量,显然这中方法是错误的。用这种方法设计出来的开关变压器,不是容易出现磁饱和就是初、次级线圈漏感过大,使开关管过流或过压损坏,并且还容易产生EMI干扰和降低工作效率。

1.1开关变压器的工作原理
图2反激式开关电源变压器的工作原理图,由于反激式开关电源在开关接通期间,变压器只存储能量,不输出功率,因此,在开关接通期间,图2电路可以等效成图3电路。
在图3电路中,当开关接通时,电源E对电感L1进行充磁,并产生励磁电流i1,如果把L1看成是一个常数,则i1由下式表示:

很多人就是根据(2)式和(3)式来确定开关变压器初级线圈的电感量的。

1.2开关变压器的磁化工作曲线
由于变压器铁芯的导磁率与工作点有关,它不是一个常数,所以,图3中的电感也不是一个常量,它会随着磁化工作点不断改变,而磁化工作点则由脉冲宽度和消磁电流来决定。
开关变压器的消磁电流,主要是流过变压器次级线圈的电流,流过次级线圈的电流越大,磁回线的面积就越大,即剩磁就越小,变压器线圈存储的能量就越多。因此,变压器铁芯的剩磁大小不是固定的,它会随着开关电源输出电压的脉冲宽度以及输出电流不断地在变化。如图4。

为此,我们引入变压器伏秒容量的定义是必要的。
1.3开关变压器伏秒容量的定义
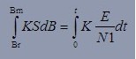
根据图2、图3、图4,我们可以列出下面方程式:
…………(4);式中:
………(5)对(5)进行积分:
…(6);得:
…(7)(7)式就是我们用来计算开关变压器初级线圈匝数的公式。式中:N1为初级线圈的匝数,E为初级线圈两端的电压(伏),τ为脉冲宽度(秒),S为变压器磁芯的面积(厘米平方),Bm为最大磁通密度(高斯),Br为剩余磁通密度(高斯),一般带气隙的变压器磁芯取Br=0.2~0.3Bm,Br取值大小与气隙长度有关。
在这里,我们把(7)式中的脉冲幅度与脉冲宽度的乘积定义为变压器的伏秒容量,即:

伏秒容量VT表示:一个开关变压器能够承受多高的输入电压和多长时间的冲击。在开关变压器伏秒容量一定的条件下,输入电压越高,开关变压器能够承受冲击的时间就越短,反之,输入电压越低,开关变压器能够承受冲击的时间就越长;而在一定的工作电压及脉冲宽度条件下,开关变压器的伏秒容量越大,开关变压器的铁芯中的磁通密度就越低,开关变压器铁芯就不容易饱和。
如果我们把(8)式的分子和分母都乘以一个电流I,就很容易看出:伏秒容量也是一个物理量,它表示单位电流在开关变压器中存储的能量,或单位电流在开关变压器中所做的功。
伏秒容量:
单位电流所做的功。由此我们可以看出,用来计算变压器初级线圈匝数的(7)式,其方法就是通过计算单位电流在带磁芯的变压器线圈中存储的能量多少来确定变压器线圈的匝数,即,在电流和磁芯材料参数一定的条件下,变压器线圈的匝数越多,存储的能量就越多。
这里需要说明的是,图4中的Bm值与Br值都不是固定的,Bm值的大小取决于励磁电流的大小(与脉冲宽度和电感量有关,而与负载无关),而Br值的大小则取决于流过变压器次级线圈N2的电流(瞬时值),流过N2的电流也称消磁电流,其大小与负载有关。
我们还可以通过磁化曲线图(图5)来理解伏秒容量的意义,即,伏秒容量的大小与磁通增量大小有关,还与脉冲宽度有关。
由于变压器磁芯的剩磁Br值与消磁电流有关,Br值并不是固定的,因此,变压器的伏秒容量也在不断地变化的,当我们计算变压器伏秒容量的时候,一般都是计算变压器的最大伏秒容量VTm。消磁电流就是流过变压器次级线圈的电流(瞬时值)。
由图5可以看出,利用伏秒容量的概念来计算变压器初级线圈的匝数,要比利用电感量的概念来计算变压器初级线圈的匝数的方法要合理很多。
当我们运用(7)式计算变压器初级线圈匝数,或运用(8)式计算伏秒容量的时候,从图5中大概可以看出,如果变压器磁芯不留气隙,选取Bm值最好不要超过Bs值的80%,而Br值最好不要小于Bs值的30%。因此,单激式开关电源变压器的铁芯必须要留气隙。

1.4开关变压器磁芯气隙的选取
通过图6可以证明:

当
时,气隙长度为最佳值(即最小值)。此时变压器的平均导磁率
约等于磁芯导磁率
的三分之一。实际应用中,气隙长度总是大于最佳值的。(证明附后)例如:当没有气隙铁芯的导磁率
=103时,比值为
/
=2
10-3,如果变压器铁芯磁路的总长度
=120mm,则铁芯的最小气隙长度
应该等于0.24mm。在实际应用中,可以取
=0.5mm,即最小气隙长度的2倍,以此开始做试验。此时,平均导磁率只有铁芯导磁率的1/5,即=200。变压器的伏秒容量VT的大小是可以测量的,铁芯预留气隙长度是否合理,也是可以通过测量来验证的;而仅对变压器的电感量进行测量,则无法验证铁芯预留气隙长度是否合理,如果有人想通过改变磁芯气隙的长度来改变电感的大小,这种做法更是错误的。
1.5开关变压器伏秒容量的测量

图中,M为电感测试仪,LT为隔离电感,I为电流源,LX为待测开关变压器初级线圈。LT的电感量必须远远大于被测开关变压器初级线圈的电感量,但如果电流源I是一个理想的恒流源,那么隔离电感LT可以省去。
开关变压器的伏秒容量可以用直流迭加法来测量,图7是一个对开关变压器进行伏秒容量进行测试的原理图。
电流迭加法就是在开关变压器线圈中迭加一直流电流,让开关变压器铁芯进行磁化,然后,对开关变压器的电感量进行测量,从而间接测量开关变压器线圈的最大伏秒容量VTm。VTm的定义是,当迭加直流I使电感LX的电感量减小到初始值L0的0.9倍时,开关电源变压器所对应的伏秒容量VT值。
开关变压器的最大伏秒容量VTm由下面公式求得:
或:
式中:Im为使电感LX的电感量减小到初始值L0的0.9倍时迭加直流的对应值。
知道了开关变压器的最大伏秒容量,就可以确定变压器的最高工作电压Vm和最大脉冲宽度Ton。
从(10)式还可以看出,由于Im与Lx的值都与变压器铁芯的气隙长度有关,因此,它们三者之间必然有一个最佳值。这个最佳值我们通过测试几个样品很容易就知道。
此测试方法有一定的正交性质,因此,相对来说,试验结果会更准确和更科学。正交性就是所得结论和试验是沿着两个不同方向进行。

(9)式中E可取输入电压的最大值,τ取值可根据输入电压为最大值时对应的最小占空比Dmin和工作频率F求得。求最大伏秒容量VTm时,应把τ值换成τx,一般取τx = 1.43τ。
图9是测试最大伏秒容量时,迭加直流Im,与平均工作电流Ia、半波平均电流Iaτ1、半波最大电流Imτ1各者之间的关系。
从图中可以看出,当D=0.5时,迭加直流Im是平均工作电流Ia的5.4倍,如果在此工作状态下,初级线圈的电流密度为3A/mm2,则测试电流的密度为16.2A/mm2,因此,在测试过程中变压器初级线圈一般都发热,这正好也是校验初级线圈电流密度取得是否合适的方法。

1.6开关变压器的安全使用
使用开关电源变压器时,加于开关电源变压器初级线圈的电压和脉冲宽度的乘积,不能超出变压器的最大伏秒容量,最好要留出30%的余量。因为,变压器铁芯的导磁率与工作温度有关,大部分变压器铁芯的居里温度都低于140℃,当温度大于110℃时,铁芯的导磁率会明显下降。

1.7开关变压器设计关键步骤总结
1、计算变压器初级线圈匝数:

2、求变压器伏秒容量:

3、选取变压器磁芯气隙:

4、对开关变压器初级线圈进行直流迭加测试:

最大伏秒容量一定要合格,如不合格,需要推倒重来!
附录:开关变压器磁芯气隙最佳选择
在图6-a中,假设为气隙长度,变压器铁芯磁路的总长度为,则磁路的磁通势为:

上式中,
为变压器铁芯的导磁率;
为空气的导磁率,其值约等于1;
为变压器铁芯磁路的总长度;
为气隙的长度;
为磁场强度增量;
为磁通密度增量。由于
,
,所以,(
-
)≈
,因此上式可化简为:
由此可以求得有气隙铁芯的平均导磁率
为:
上式中,
为有气隙铁芯的平均导磁率,
为变压器铁芯的导磁率,
为气隙的长度,
为变压器铁芯磁路的总长度。根据上式,我们的愿望就是在最大磁通密度增量
的条件下,要求平均导磁率
的最大值。在图6-b中,虚线表示变压器铁芯没有气隙时的磁滞回线,实线表示变压器铁芯留有气隙时的磁滞回线,其中磁化曲线o-a为留有气隙铁芯的基本磁化曲线。这里的基本磁化曲线与初始磁化曲线并不完全相同,这里的基本磁化曲线相当于磁化曲线的几何平均值,以便用于分析磁场强度增量
与磁感应密度增量
的关系。显然,对应每一个气隙长度的取值就有一组相应的磁滞回线;但不管气隙长度取得多大,铁芯的最大磁通密度Bm只能达到铁芯磁饱和时对应的Bs值,它不会随着气隙长度
的增长而继续增长;而铁芯的剩余磁通密度Br也不会因气隙长度
增长而大幅度下降。因此,应该有一个最佳值,它应该既要兼顾磁通密度增量
最大的同时,也要兼顾平均导磁率
达到最大的条件。为了求出的最佳
值,我们可以沿着基本磁化曲线o-a不断地画切线,如图中切线o-b;切线与H轴夹角
的正切值
就是此点的导磁率;当切线的相切点位于最大磁通密度增量
的二分之一位置上时,这点的正切值
就可以认为等于平均导磁率
;由此我们可以看出平均导磁率
总是小于或者等于正切值
。如果我们把最大正切值
对应的磁通密度增量
和磁场强度增量
,定义为铁芯的最佳工作点,那么通过切线o-b就可以求出对应的最佳值。可以证明通过原点的切线o-b是正切值最大的切线,因为实际中的基本磁化曲线是不存在的,基本磁化曲线相当于磁化曲线的几何平均值;另外,所定义的最佳工作点实际上就是气隙长度
最小值对应的工作点。从图6-b以及(4)式可以看出,当
>>1时,有气隙铁芯的平均导磁率
基本与气隙的长度
成反比;因此
的值正好就是对应图6-b中,切线o-b与B轴夹角
的正切值
;
代表
,
代表
。
与
相乘正好把两条正交直线H和B的单位进行归一化,要么它们之间的夹角就没有意义。由图6-b可以看出,当
≈1/2时,
为最佳值,实际上也是
的最小值;因为,平均导磁率
会随着
增大而减小。因此,
的最佳值(或最小值)由下式求得:
把(5)式的结果代入(4)式,可以求得,当
为最佳值时,有气隙铁芯的平均导磁率
正好等于没有气隙铁芯导磁率
的三分之一。值得指出的是:由于
不是一个常数,其最大值与最小值相差甚远,因此,当使用(5)式计算开关变压器气隙长度的时候,必须要预留足够的余量,一般预留余量要在1倍以上。

