- 易迪拓培训,专注于微波、射频、天线设计工程师的培养
你必须要懂的示波器幅频特性曲线
示波器的带宽被称为示波器的第一指标,而示波器的幅频特性曲线则直接证明了示波器带宽指标是否符合要求,表征了示波器模拟前端放大器的重要特性。
当示波器输入幅值恒定但频率变化的正弦波时,示波器测量到的峰峰值将随着输入频率而变化,这种幅值随频率变化的关系就是示波器的幅频特性。其实和示波器的幅频特性相对应的还有相频特性,在高端示波器信号保真度的讨论中时有提及。
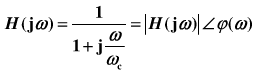
从数学的角度,示波器的频率响应函数 H(jw) 等于输出y(t)的傅氏变换Y(jw)与输入x(t)的傅氏变换X(jw)的比值:H(jw) = Y(jw) / X(jw),一般H(jw)是一个复数,它的模是“幅频特性”,它的幅角就是“相频特性”。通过对数坐标表示幅频特性的图形称为波特图。
众所周知,示波器的模拟前端放大器是低通滤波器特性。低通滤波器用一阶RC电路模型等效之后如图1所示。

图1 低通滤波器的一阶RC电路模型

图2 低通滤波器的幅频特性曲线
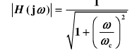
该RC电路的传递函数是:

假设:

则传递函数可写成:

幅频特性为:

据此画出一阶RC电路的幅频特性曲线如图2所示。图示中的转折频率点就是输出电压降低到输入的70.7%的频率,也就是-3dB频率点。示波器的模拟带宽就是以此转折频率点来确定的。
2,幅频特性曲线的不同形状之八卦
特别强调的是,图2的幅频特性曲线只是一种基于RC电路推导得到的传递函数获得的理论上的幅频特性曲线,其形状是高斯响应曲线。实际上的示波器的幅频特性曲线的形状不可能是如此完美的高斯响应。不同型号的示波器可能采用了不同形状的幅频特性曲线形状,有的采用砖墙式(矩形)幅频特性曲线,有的采用四阶Bessel曲线,有的采用高斯曲线。但只是逼近这些理想曲线的形状。
早些年,有示波器供应商撰文强调砖墙式曲线是最完美的,因为测量低频信号幅值的失真度很小,但随之受到的攻击是砖墙式曲线的相位失真很严重,而也有示波器供应商则强调高斯曲线是最适合于测量脉冲快沿信号,因为带宽的“尾巴”很长,可以包含更多的信号能量,但受到的攻击是高斯响应是测量高速信号眼图的“梦魇”,因为高速信号的中频部分被严重衰减,但高速信号最主要的频率成分在中频部分以下。还有示波器厂商长篇累牍地说明四阶Bessel是最适合测量高速串行信号的。
为了可以针对不同的应用采用不同的幅频特性,有示波器供应商干脆让用户在示波器的菜单中选择某种幅频特性曲线,为此,该供应商发表了一篇严肃的技术白皮书来说明DSP在修正示波器模拟前段端的幅频特性曲线形状上的应用。但是,该公司的做法在中国市场的局部竞争中又遇到麻烦,友商因此“攻击”说该公司的示波器模拟前端是用“软件”实现的,所以肯定有问题。之类云云……。这些无理无聊的攻击往往还是能被部分客户接受的。这给人的启发是,当有些示波器供应商试图通过“Marketing Talking”的工具将用户带入高级认知模式去深入了解示波器的细节的时候,可能会适得其反。
我们可以进一步推导出示波器的上升时间和带宽之间的关系:上升时间=0.35/带宽。这里面0.35也是基于RC电路推导的。但是,实际的示波器模拟前端并不可能是标准的RC电路模型,幅频特性曲线形状各异,实际的上升时间和带宽之间可能是0.4,0.45,0.5等不同的数值关系。 不同的幅频特性曲线可能对应不同的上升时间。真实的示波器幅频特性曲线和上升时间都是通过计量标定得到的。
-------------------------------------------
——本文选自5月份《测试测量特刊》
3,幅频特性曲线的绘制方法之江湖纷争
幅频特性曲线绘制方法,笔者在江湖上遇到过的有四种:扫频点描法,扫频FFT法,快沿FFT法,底噪FFT法。(需要说明一下:这些方法的命名是笔者个人定义的,大家不要去搜索这几个词了。)
其中,底噪FFT法就是示波器不输入任何信号,仅对示波器本底噪声做FFT运算,因为本底噪声是随机噪声,可能包括了各种不同的频率成分,因此其FFT结果的高频成份越丰富,说明示波器带宽越高。这种方法存在的漏洞非常明显,是一种典型地在中国市场上示波器供应商忽弄用户的。
真正在计量上认可的方法只有一种,就是扫频点描法。 下面重点介绍这种方法。
3.1,扫频点描法(幅频特性曲线的计量方法)
所谓扫频点描法就是逐渐增大示波器的输入频率,示波器测量每个频率点的电压幅值。 将频率作为横坐标,每个频率点测量到的电压值作为纵坐标就绘制出幅频特性曲线。在大学实验教学中有这样的实验项目来要求学生绘制幅频特性曲线。
但是一谈到“计量”这个词,人们就会陷入鸡和蛋的深渊。该“相信”谁?相信信号源的输出幅值还是相信示波器测量的结果? 溯源是关键。 幅频特性曲线的“计量”需要正弦波信号源(高频时使用射频信号源),需要计量过的电缆,计量过的功分器,计量过的功率计。使用功率计是因为从计量上来说并不“相信”信号源的读数输出,而是相信功率计,因为功率计的精度远远大于示波器。使用功率计只是保证在低频和高频时的功率是一样的,并不是将功率计的结果和示波器的结果进行逐一比较。专用的示波器检测仪器的探头上带有功率计,保证了信号源输出功率的一致,就不需要功分器了。具体计量时的连接示意图如图3所示。

图3 示波器幅频特性曲线的计量连接示意图
完成这样连接之后,有一种快速了解示波器的幅频特性是否满足要求的方法是,查看低频时和高频时的示波器的幅度差别是否在-3dB以内,譬如在低频时信号占满示波器的6格,在高频时应占满4.2格。 [p]
幅频特性曲线的计量和示波器的垂直量程有关,不同的量程得到的幅频特性曲线不一样,因此,需要计量不同量程时的幅频特性曲线; 和采样率有关,因为采样率会影响到幅值测量的准确性,一般要将采样率设置为最大; 和连接信号源与示波器接口之间的电缆有关,因为高频时存在衰减和反射问题,和输入信号的幅值大小有关,因此要用功率计来保证不同频率时的输出功率相同; 和示波器的输入通道有关,不同输入通道相同量程下的的幅频特性曲线可能不一样。
考虑到计量科学的严谨性,还有几个细节问题需要讨论:
(1) 不同量程下输入正弦信号的幅值如何定义?
标定在不同量程下的幅频特性曲线需要输入不同幅值的正弦波信号,否则对于有些量程,波形会超出示波器屏幕,而有些量程下波形只占屏幕的一小部分,量化误差很大。
输入信号的幅值大小一般以尽量占满栅格为准。据说有规范上要求是以低频时占满栅格的6格为准。具体做法就是:在输入很低频率时调节信号源的输出幅值,使信号占满6格,用功率计测量此时信号的功率,然后逐渐增加频率,在每一个频率点都用功率计标定,确保输入到示波器输入端口的能量始终是相同的,然后再测量每个频率点的幅值。
(2) 幅频特性曲线的纵坐标的测量参数该使用示波器测量的幅值,峰峰值还是标准偏差值?
这个问题似乎不应该讨论,但却一直在小范围内争论不休,没有结论。有的计量专家要求是以幅值为准,也有专家认为用峰峰值更合适,但也有认为最合理的是用标准偏差(sdev)。对于低带宽示波器,其实不管采用哪个测量参数,因为裕量比较大,争议比较少,但在高端示波器,采样率不是特别大的情况下,测量峰峰值和幅值的差别会比较大。但是,对于现在有些低带宽示波器,譬如在100MHz带宽下,采样率只有250MS/s,计量时用幅值或峰峰值的影响也一样很大。
采用幅值的方法被称为众数法,就是以正弦波的顶部和底部出现概率最大的位置作为测量的依归,如图4所示top和base的算法原理。 这样会去掉了顶部的一些样本,以略低于顶部的位置来读数。但是峰峰值却可能把随机噪声也采样进去。 笔者认为采用sdev更合理,但是这个测量参数不能被采纳为计量标准,因为有些低端示波器并没有sdev这个测量参数。

图4 幅值算法的来源
(3) 是将实时采样率设置为最大,还是等效采样率设置为最大?
如果按照现在有些专家坚持采用幅值来作为计量依据,根据图4的算法,幅值的测量精度强烈依赖于采样样本数的大小。如果采用等效采样方式,可以在顶部和底部通过等效采样的算法原理“产生”更密集的样本,虽然这些样本并不一定完全代表真实样本,这对于计量中使用信号源输出的正弦信号信号未必也不是一种好方法。 但是由于等效采样毕竟不是完全代表真实的样本信息,该方法也并没有被专家们采纳。
(4) 是否可以采用正弦插值,插值多少个点是允许的?
在实时采样前提下采用正弦插值同样会增加幅值测量的准确性。笔者了解到正弦插值是可以被接受的,但是具体插值的样本数的数量目前在计量界也没有统一的说法。示波器打开正弦插值时默认的插值样本数对于不同型号的示波器并不一样,但是插值的样本数量会影响到幅值测量精度。不同的插值样本数可能带来计量结果上的些微偏差。
(5) 带宽范围以内的幅频特性曲线和理想曲线之间的偏差,光滑度如何定义?
这个问题揭示了示波器测量的一个最大的误差来源。在示波器行业,并没有一个规范来要求示波器的幅频特性曲线在带宽范围以内和理想曲线之间偏差控制在多大。只要在带宽范围以内,任何量程下的任何频率点的正弦信号的输出电压大小不降低到输入的70.7%以下都认为该示波器的带宽是满足要求的。譬如100MHz带宽的示波器,输入100MHz,1V的正弦波,在20MHz时的输出电压是0.8V,在50MHz时是1.2V,在80MHz时是0.73V,在100MHz时是0.71V。这个示波器是合格的!这样的数字化方式来表达这个概念让人印象深刻,但也让人觉得很郁闷。
3.1.1 鼎阳SDS3054的幅频特性曲线
鼎阳科技不同系列示波器的幅频特性曲线的光滑度都非常好,而且在不同通道,不同量程下的一致性也非常地好。如图5所示是基于扫频点描法得到的SDS3054的幅频特性曲线。其横坐标是频率的对数lg(f),图中标识100表示该处对应的是100MHz,但在绘制时是以lg(100)得来的; 纵坐标是20lg(Vout/Vref),Vout表输入不同频率时的示波器测量结果,Vref表示在起始最低频率(该例中为50KHz)时的示波器测量结果。可以看出在100MHz之前都很接近0dB,在300MHz时也仅衰减约-0.25dB,输出电压降低到输入大约97.2%。在 -3dB 的转折频率点为600MHz,就是说SDS3054的标称带宽实际上达到了600MHz! 而且更难能可贵的是,四个通道的幅频特性曲线的一致性非常地好!

图5 鼎阳SDS3054的幅频特性曲线
3.1.2 鼎阳SDS1102E的幅频特性曲线
如图6所示为鼎阳科技新推出的电商专品示波器SDS1102E的幅频特性曲线。可以看出,在100MHz范围内,其幅值的稳定度非常好。在100MHz到200MHz由于刻度步进比较大,无法确认在-3dB时的具体带宽是多少,但从图中可以肯定是大于150MHz。
示波器厂商都会有自动化软件来自动获得幅频特性曲线图形。笔者将产生这个图形的Excel数据公布如下表1。通过表格数据,我们可以确认,SDS1102E的实际带宽可以达到120MHz以上。在120MHz时的幅值衰减还不到2dB。

图6 鼎阳SDS1102E的幅频特性曲线

表1 鼎阳SDS1102E的幅频特性曲线的计量数据
-------------------------------------------
——本文选自5月份《测试测量特刊》
3.2 扫频FFT法
扫频FFT法就是逐渐改变信号源的信号频率,利用示波器的FFT运算结果来表征示波器的带宽。由于带宽的影响,示波器测量到的正弦波信号的幅值降低,相应FFT的基波最大值也会降低,查看降低到-3dB的频率点就是带宽。
示波器中的FFT运算结果和FFT的具体算法,FFT的窗函数的选择,FFT的输出结果类型,FFT的输出的单位等有关。FFT算法本身在不同厂商示波器上会不一样,这个算法带来了计量上的“变量”。因此该方法是一个“民间”常用的方法以快速知道大概的频响。 [p]
如图7所示为鼎阳SDS1102E的FFT扫频结果。在150MHz时,衰减才只有-3.2dB,在100MHz时的率减远小于3 dB。

图7 鼎阳SDS1102E的扫频FFT结果
示波器和探头及探测通路的任何连接部件都会影响带宽。示波器和探头等一起构成“系统带宽”。系统带宽受限于连接通路的最低带宽的部件。相同带宽的示波器和探头组成的系统带宽要更小。一个100MHz的示波器连接100MHz的探头的系统带宽只有大约70MHz。作为一款电商专品,鼎阳科技在SDS1102E的带宽设计上留下足够的裕量,实际带宽超过120MHz,确保客户在即使使用不同类型的100MHz探头的情况下,系统带宽都可以达到100MHz。
3.3 快沿FFT法
快沿FFT法就是示波器输入上升时间远小于示波器自身上升时间的快沿脉冲信号,然后对该信号做FFT运算,查看FFT运算的结果。快沿脉冲信号包含了超过示波器带宽的频率成分,FFT的结果就反应了超过带宽范围的高频成分被抑制。但是这种方法存在更多计量上的“变量”,不能作为计量带宽的方法,只能作为一种粗略近似的快速查看。
快沿脉冲信号要求脉冲非常的窄,能量集中在一个点上,才能真实反应系统频率响应。通常做法是需要先对快沿信号进行积分运算,再对积分运算的结果做FFT。对快沿这样的阶跃信号做积分以产生快沿脉冲信号。脉冲响应反应的是系统的传递函数,对脉冲做FFT就得出系统的频率响应。
图8是基于SDS3054的快沿FFT运算结果。这突出反应了智能示波器对运算后的结果进行再运算(math on math)的能力。

图8 鼎阳SDS3050的快沿FFT运算
关于鼎阳硬件智库
鼎阳硬件设计与测试智库(简称鼎阳硬件智库)由深圳市鼎阳科技有限公司领衔创办,是中国第一家“智力众筹”模式的硬件智库。
鼎阳硬件智库顺时顺势,倡导“连接-分享-协作-创造”的理念,高举志愿者服务的大旗,相信互联网是“爱”的大本营,相信人们都有发自内心分享的愿望。
鼎阳硬件智库选择硬件领域最普遍的七类问题:电源,时钟,DDR,低速总线,高速总线,EMC,测试测量进行聚焦。寻找“最针尖”的问题进行研讨,针对“最针尖”的问题组织专家答疑,将硬件大师积累的宝贵知识和经验变成公众财富,惠及更多硬件人。
鼎阳硬件智库的运作载体包括“线上”的微信公众号分享,微信群,网站,网络社区论坛,博客,邮件群等多种互联网工具和“线下”的专家论坛和专家把脉。“线上”的分享坚持原创,坚持干货,保持专注和深耕。“线下”专家论坛邀请硬件相关的一线实战派专家分享“最干货”的硬件设计与测试知识与经验,面对面相互研讨;“线下”的专家把脉,通过大数据连接,促使具体问题和最熟悉这个具体问题的专家“精准匹配”,远程问诊和现场解决问题相结合。
鼎阳硬件智库,群策群力,连接所有硬件人。
有硬件问题,找鼎阳硬件智库。
关于鼎阳
鼎阳科技(SIGLENT)是一家专注于通用电子测试测量仪器及相关解决方案的公司。
从2005推出第一款数字示波器产品至今,10年来鼎阳科技一直是全球发展速度最快的数字示波器制造商。历经多年发展,鼎阳产品已扩展到数字示波器、手持示波表、函数/任意波形发生器、频谱分析仪、台式万用表、直流电源等通用测试测量仪器产品。2007年,鼎阳与高端示波器领导者美国力科建立了全球战略合作伙伴关系。2011年,鼎阳发展成为中国销量领先的数字示波器制造商。2014年,鼎阳发布了中国首款智能示波器SDS3000系列,引领“人手一台”型实验室使用示波器由功能示波器向智能示波器过渡的趋势。目前,鼎阳已经在美国克利夫兰和德国汉堡成立分公司,产品远销全球70多个国家,SIGLENT正逐步成为全球知名的测试测量仪器品牌。
上一篇:四种TEK数字示波器性能的比较
下一篇:示波器可能不为人知的十二般武艺


