- 易迪拓培训,专注于微波、射频、天线设计工程师的培养
示波器探头基础系列之一《示波器探头浅谈之无源探头》
录入:edatop.com 点击:
作为一名专业的硬件设计及测试工程师,我们每天都在使用各种不同的数字示波器进行相关电气信号量的量测。与这些示波器相配的探头种类也非常多,包括无源探头(包括高压探头,传输线探头)、有源探头(包括有源单端探头、有源差分探头等),电流探头、光探头等。每种探头各有其优缺点,因而各有其适用的场合。其中,有源探头因具有带宽高,输入电容小,地环路小等优点从而被广泛使用在高速数字量测领域,但有源探头的价位高,动态范围小,静电敏感,校准麻烦,因此,每个工程师使用示波器的入门级探头通常是无源探头。最常见的500Mhz的无源电压探头适用于一般的电路测量和快速诊断,可以满足大多数的低速数字信号、TV、电源和其它的一些典型的示波器应用。本文我们将集中讨论无源电压探头的模型和参数设定以及使用校准原理。
一、10倍无源探头的模型以及输入负载设定

图1.探头原理图
图1是工程师常用的10倍无源电压探头的原理图,其中,Rp (9 MΩ)和Cp位于探头尖端内,Rp为探头输入阻抗, Cp为探头输入电容, R1 (1 MΩ)表示示波器的输入阻抗,C1表示示波器的输入电容和同轴电缆等效电容以及探头补偿箱电容的组合值。为了精确地测量,两个RC时间常量(RpCp和R1C1)必须相等;任何不平衡都会带来测量波形的失真,从来引起使一些参数如上升时间、幅度的测量结果不准确。因此,在测量前需要校准示波器的探头的工作以保证测量结果的准确性。从探头的信号模型我们可以分析, 对于信号的DC量测,输入容性Cp和C1等效为开路。信号通过Rp和R1进行分压,最终示波器的输入为:Vout=[R1/Rp+R1]*Vin=1/10* Vin
示波器输入信号衰减为待测输入信号的1/10。对于较高频率的输入信号,容抗对于信号的影响会大于阻抗。例如,一个标准的1MΩ~10pF的无源电压探头,输入信号的频率为100MHz,此时,探头输入容抗为Xc(Cp) = 1/(2×π×f×C)=159Ω,容抗远远小于9MΩ的探头阻抗,信号电流更多的会通过输入电容提供的低阻回路,9MΩ阻抗的高阻回路等效为旁路。也可以理解为159 Ω和9MΩ的并联之后等效阻抗为159 Ω。此时,实际输入到示波器的信号幅度(AC/高频)是由探头的输入电容以及回路总电容的比值决定,等效为:Vout=[Cp/Cp+C1]*Vin
一般来说,无源探头的电缆存在8-10pF/foot的容性负载(1 foot英尺=12 inches英寸=0.3048 metre米),1.5nS/foot的上升时间。 对于一个6feet的电缆就存在60pF容性,加上一般示波器的20pF的输入电容以及一些杂散,大致为90pF左右。根据1:10的分压,探头的输入电容应该为10pF左右才能满足Vout/Vin=[10/10+90]=1/10输入衰减10倍的特性。考虑到探头和电缆容性的一些误差,需要使用探头补偿电容箱来进行一个回路补偿,由于误差,无源电压探头的输入容性一般为8~12pF之间。目前主流的10倍无源电压探头的输入负载模型一般都是输入电容8~12pF,输入电阻9M欧. [p]
二、无源电压探头的校准
讨论到这里,对于无源探头的输入模型大家应该有了一定的了解,那为什么为了精确地测量,两个RC时间常量(RpCp和R1C1)必须相等,测量前需要校准呢 我们可以再进一步简化探头模型为一个更简单的阻容分压电路如下:

让我们来进行一个简单的推导计算:
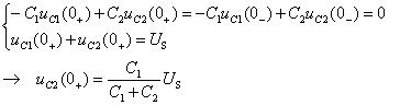
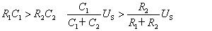
1.计算初始值uC2(0+)由于电容电压发生跃变,要根据电荷守恒定律和KVL来确定

2.计算稳态uC2(¥)电容开路时,按照电阻分压公式得到

3.计算时间常数

4.用三要素公式得到电容电压uC2(t)

我们可以看到,波形有3种情况:
1.完全补偿


2.过补偿


3.欠补偿


以下图示给出了欠补偿、过补偿和合理补偿三种情况下探头产生的波形。

探头欠补偿波形图

探头过补偿说明图

探头正常补偿说明图
所以,在获得一台可以工作的示波器和探头后应该要做的第一项工作是校准探头以保证其内部RC时间常量匹配。这时需要将探头连接到示波器的探头补偿输出。然后使用非磁性调节工具调节补偿箱中的调节螺螺丝完成校准一直观察到平坦的波形响应。不要太频繁校准,因为没有必要。
本文关于无源电压探头模型的参数设定以及校准的原理就介绍到这里,而对于示波器和探头以及数字测量在业内有很多的经典理论以及应用原则,比如信号的滚降特性,DSP信号滤波的处理。如何确保最真实的还原待测信号,大家可以参阅更多专业的书籍。 希望本文的介绍可以让硬件工程师们更深入和全面的了解我们的测量工具,真正做到还原真实信号。
一、10倍无源探头的模型以及输入负载设定

图1.探头原理图
图1是工程师常用的10倍无源电压探头的原理图,其中,Rp (9 MΩ)和Cp位于探头尖端内,Rp为探头输入阻抗, Cp为探头输入电容, R1 (1 MΩ)表示示波器的输入阻抗,C1表示示波器的输入电容和同轴电缆等效电容以及探头补偿箱电容的组合值。为了精确地测量,两个RC时间常量(RpCp和R1C1)必须相等;任何不平衡都会带来测量波形的失真,从来引起使一些参数如上升时间、幅度的测量结果不准确。因此,在测量前需要校准示波器的探头的工作以保证测量结果的准确性。从探头的信号模型我们可以分析, 对于信号的DC量测,输入容性Cp和C1等效为开路。信号通过Rp和R1进行分压,最终示波器的输入为:Vout=[R1/Rp+R1]*Vin=1/10* Vin
示波器输入信号衰减为待测输入信号的1/10。对于较高频率的输入信号,容抗对于信号的影响会大于阻抗。例如,一个标准的1MΩ~10pF的无源电压探头,输入信号的频率为100MHz,此时,探头输入容抗为Xc(Cp) = 1/(2×π×f×C)=159Ω,容抗远远小于9MΩ的探头阻抗,信号电流更多的会通过输入电容提供的低阻回路,9MΩ阻抗的高阻回路等效为旁路。也可以理解为159 Ω和9MΩ的并联之后等效阻抗为159 Ω。此时,实际输入到示波器的信号幅度(AC/高频)是由探头的输入电容以及回路总电容的比值决定,等效为:Vout=[Cp/Cp+C1]*Vin
一般来说,无源探头的电缆存在8-10pF/foot的容性负载(1 foot英尺=12 inches英寸=0.3048 metre米),1.5nS/foot的上升时间。 对于一个6feet的电缆就存在60pF容性,加上一般示波器的20pF的输入电容以及一些杂散,大致为90pF左右。根据1:10的分压,探头的输入电容应该为10pF左右才能满足Vout/Vin=[10/10+90]=1/10输入衰减10倍的特性。考虑到探头和电缆容性的一些误差,需要使用探头补偿电容箱来进行一个回路补偿,由于误差,无源电压探头的输入容性一般为8~12pF之间。目前主流的10倍无源电压探头的输入负载模型一般都是输入电容8~12pF,输入电阻9M欧. [p]
二、无源电压探头的校准
讨论到这里,对于无源探头的输入模型大家应该有了一定的了解,那为什么为了精确地测量,两个RC时间常量(RpCp和R1C1)必须相等,测量前需要校准呢 我们可以再进一步简化探头模型为一个更简单的阻容分压电路如下:

让我们来进行一个简单的推导计算:
1.计算初始值uC2(0+)由于电容电压发生跃变,要根据电荷守恒定律和KVL来确定

2.计算稳态uC2(¥)电容开路时,按照电阻分压公式得到

3.计算时间常数

4.用三要素公式得到电容电压uC2(t)

我们可以看到,波形有3种情况:
1.完全补偿


2.过补偿


3.欠补偿


以下图示给出了欠补偿、过补偿和合理补偿三种情况下探头产生的波形。

探头欠补偿波形图

探头过补偿说明图

探头正常补偿说明图
所以,在获得一台可以工作的示波器和探头后应该要做的第一项工作是校准探头以保证其内部RC时间常量匹配。这时需要将探头连接到示波器的探头补偿输出。然后使用非磁性调节工具调节补偿箱中的调节螺螺丝完成校准一直观察到平坦的波形响应。不要太频繁校准,因为没有必要。
本文关于无源电压探头模型的参数设定以及校准的原理就介绍到这里,而对于示波器和探头以及数字测量在业内有很多的经典理论以及应用原则,比如信号的滚降特性,DSP信号滤波的处理。如何确保最真实的还原待测信号,大家可以参阅更多专业的书籍。 希望本文的介绍可以让硬件工程师们更深入和全面的了解我们的测量工具,真正做到还原真实信号。
上一篇:示波器的抽取(Decimation)模式
下一篇:示波器的插值模式


