- 易迪拓培训,专注于微波、射频、天线设计工程师的培养
数字脉冲压缩技术在雷达中的应用
引 言
随着现代技术的发展,对雷达的作用距离、分辨率和测量精度等性能指标提出了越来越高的要求。为了增加雷达系统的检测能力,要求增大雷达发射的平均功率。在峰值功率受限时,要求发射脉冲尽量宽,而为了提高系统的距离分辨率,又要求发射脉冲尽量窄,提高雷达距离分辨率同增加检测能力是一对矛盾。作为现代雷达的重要技术,脉冲压缩有效地解决了雷达分辨率同平均功率间的矛盾,并在现代雷达中广泛应用。
1 雷达距离分辨率与信号带宽的关系及脉冲压缩
雷达分辨率的概念由光学分辨率概念引申而来。人眼在观察相邻两物点成的像时,要能判断出是两个像点而不是一个像点,则要求两个衍射斑中心之间的重叠区有一定量的明暗差别,判别结果会因人而异。为了右一个统一的标准,瑞利(Rayleigh)认为:当两衍射斑的中心距正好等于第一暗环的半径,人眼刚能分辨开这两个像点。这也就是常说的瑞利判据。根据瑞利判据,两个衍射斑的合成强度的最小值是孤立衍射斑最大值的0.735;人们认为该判据过于严格,又提出了道斯(Dawes)判据和斯派罗(Sparrow)判据。道斯判据认为当两衍射斑的合成强度的最小值为1.013,两衍射斑附近强度最大值为1.045时,可分辨为两个像点;斯派罗判据认为当两个衍射斑的合成强度刚好不出现下凹时,为可以分辨的极限。在雷达分辨率定义中遵循要求严格的瑞利判据。

雷达发展的早期,雷达距离向的分辨率ρr表示为:




在时域对信号进行调幅或调频,可以增大信号的等效带宽。线性相位调制只能移动载频的位置而不能增大等效带宽。脉内线性调频、非线性调频、相位编码、频率编码,脉冲调幅等非线性相位调制都是增大信号等效带宽的有效方法。当频谱分量附加一随频率做非线性变化的相位值,则此宽带信号将具有很长的持续时间。这种附加非线性相位的过程称为信号的展宽过程。将展宽后的信号通过匹配滤波器,校正非线性相位值使之同相,在匹配滤波器输出端将得到窄脉冲信号,这个过程称为脉冲压缩。匹配滤波器在脉冲压缩技术中起着至关重要的作用。下面对匹配滤波器的特性进行简要的分析。
2 匹配滤波器的特性
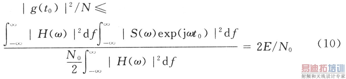
设发射信号为s(t),则其傅里叶变换式为:

![]()







匹配滤波器的输出为s(n)与h(n)的卷积,即脉压结果。

此外,为了抑制脉冲压缩的旁瓣,通常要对匹配滤波器进行加权;即将匹配滤波器的频率响应乘以某个适当的函数,但旁瓣抑制是以信噪比损失及距离分辨率降低为代价的,所以只能在旁瓣抑制、主瓣加宽、信噪比损失、旁瓣衰减速度以及技术实现难易等几个方面折衷考虑,选择合适的加权函数。


另外根据时域卷积定理:


4 结 语
脉冲压缩是一种广泛应用于雷达、声纳和其他探测系统的信号处理技术,其本质是一种频谱扩展的方法,以最小化的峰值功率,得到最大信噪比及目标分辨能力。脉冲压缩也被称为匹配滤波,它是滤波器与接收信号的预期相位的匹配程度的体现。随着高分辨率雷达和合成孔径雷达技术的发展,对脉冲压缩技术又提出了新的挑战。如何利用数字方式实时完成百兆级甚至千兆级带宽脉冲压缩,如何检测被旁瓣淹没的弱小信号,都是在雷达信号处理设计中遇到的并且需要着力解决的问题。


