- 易迪拓培训,专注于微波、射频、天线设计工程师的培养
宽带阻抗测量仪的设计——阻抗测量理论及其方法
1.1阻抗测量理论
阻抗测量一般是指电阻、电容、电感及相关的Q值、损耗角、电导等参数的测量。由于电阻器、电感器和电容器受到所加的电压、电流、频率、温度及其它环境的影响而改变阻抗值,因此在不同的条件下其电路模型不同。
一个阻抗矢量包括实部(电阻R)和虚部(电抗X),如图2-1所示。


Y和分别是导纳幅度和导纳角。
电抗有两种形式——感抗(XL)和容抗(Xc)。
按照定义,X L =2πfL,X C =1/(2πfC),这里f是所关注的频率,L是电感,C是电容。2πf也可以用角频率ω来代替,进而表示为X L =ωL和X C =1/(ωC)。可对导纳和电纳使用类似的倒数关系。串联和并联连接的阻抗和导纳的参数示意图如图2-2所示。

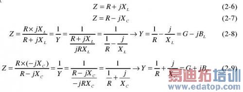
a)为电阻与感抗串联的示意图,表达式见式(2-6);
b)为电阻与容抗串联的示意图,表达式见式(2-7);
c)为电阻与感抗并联的示意图,表达式见式(2-8);
d)为电阻与容抗并联的示意图,表达式见式(2-9)。

品质因素(Q)是电抗纯度的度量(即与纯电抗,也就是与没有电阻的接近程度),表达式见式(2-10)。看到Q是θ角的正切。Q一般适用于电感器,对于电容器来说,表示纯度的这一项通常用损耗因素(D)表示。其表达式见式(2-11)。损耗因素是(Q)的倒数,它也是θ补角的正切。

为了测量阻抗我们至少需要测量两个量值。因为阻抗是一个复数。许多现代阻抗测试仪测量阻抗矢量的实部和虚部,然后将它们转换成所需要的参数,比如Z,θ,Y,R,X,G,B.所有电路元件既不是纯粹的电阻性元件,也不是纯粹的电抗性元件,而是这些阻抗成分的组合。
元件阻抗的测量值除与本身的寄生参数有关以外还与多种测量条件有关。
比如频率,测试信号电平等。对于采用不同材料和制作工艺的元件,这些元件影响因素的影响程度也各不相同。
频率:由于存在寄生参数,因此频率对所有实际元件都有影响。并非所以的寄生参数都会影响测量结果,但正是某些主要的寄生参数确定了元件的频率特性。当主要元件的阻抗值不同时,主要的寄生参数也有所不同。
测试信号电平:对某些元件来说,所施加的测试信号(AC)可能会影响测量结果。这一影响随制作陶瓷电容器材料的介电常数(K)而变化。由于铁芯材料存在磁滞,因而铁芯电感器与测试信号的电流有关。
直流偏置:对于二极管和晶体管这样的半导体元件,直流偏置影响量是普遍存在的。一些无源元件也存在直流偏置影响量。所施加的的直流偏置对高K值型介电陶瓷电容器有很显著的影响。对于铁芯电感器,电感量的变化由流过铁芯的直流偏置电流确定。这是由于铁芯材料的磁通饱和特性。
温度:大多数元件都存在温度影响因素。对于电阻器、电容器和电感器,温度系数是一项重要的指标。
其他物理和电气环境,如湿度、磁场、光、大气条件、振动和时间都会改变阻抗值。例如,高K值型介电陶瓷电容器的电容会随着老化而降低。
阻抗测量就是基于对R和X的测量,或者是|Z|和θ的测量。随着电子技术与数字测量网络技术的发展,在测量方法上逐渐形成了阻抗模拟测量法和数字测量法两大分支。模拟测量法包括电桥法、谐振法和σ值测量法。数字测量法有矢量电压电流法和自动平衡电桥法。因此相应的阻抗测量仪器就分为模拟阻抗测量仪和数字阻抗测量仪两种。
1.2阻抗测量方法
阻抗测量可分为模拟测量法和数字测量法两种,本节详细介绍相关的测量方法及其优缺点,并结合本课题的设计要求选取一种最为可行的方式作为设计中采用的方法。
2.2.1电桥法
电桥法是采用模拟法测量阻抗值,早期多采用电桥法来测量阻抗值。电桥法基本工作原理是四臂电桥电路,电路原理图如图2-3所示。

图中Z l,Z 2,Z 3,Z x为电桥的四臂的阻抗,其中Z x为所要测量的阻抗。整个电桥由信号源供电,G为电桥的平衡指示器,当电桥桥路平衡时,U ab =0,桥臂平衡指示器上无电流流过。
根据克希霍夫定律,得出式(2-12)。

这就是电桥法测量的平衡条件,当桥路中有三个桥臂值已知时,待测量阻抗才可以求得。电桥法阻抗测量仪的结构图如图2-4所示,它由测量信号源、测量桥路、平衡指示电路、平衡调节机构、显示电路和电源等组成。

2.2.2谐振法
谐振法也是模拟测量阻抗值得一种方法,是利用调谐回路的谐振特性而建立的阻抗测量方法。测量线路简单方便,在技术上的困难要比高频电桥小。它的原理图如图2-5所示。

谐振法测量阻抗的相关公式见式(2-15),(2-16),(2-17)。可以看出测量电路也是由模拟电路构成。

2.2.3矢量伏安法伏安法可用图2-6的原理电路来说明。

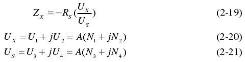
图中I O是恒流源,为已知量;Z S是标准电阻,也是已知量(为计算方便一般选为实电阻);被测阻抗Z X与Z S相串联。则分别测出Z S和Z X两端的矢量电压U S和U X,便可通过计算得到待测阻抗,见式(2-18)。

其中U X的大小代表被测阻抗Z X上矢量电流I O的大小。
上述测量实际上是先分别测出各个矢量电压的两个分量,然后再通过一系列运算得到被测值Z X的数值。显然,上述测量单纯用电子线路来完成是很不方便的。计算机技术进入测量仪器以后,可以充分利用计算机存储记忆、计算以及灵活的控制功能,方便地获取U S和U X的各标量并存入内存,迅速计算其结果,实现快速的自动测量,从而使伏安法这一古典方法获得了新的生命力。
伏安法有固定轴法和自由轴法两种实现方法,其区别在于相敏检波器相位参考基准选取的不同。固定轴法要求相敏检波器的相位参考基准严格与式(2-18)
分母位置上的矢量一致,这样分母只有实部分量,使矢量除法简化为两个标量除法运算。这种方法的弱点在于:为了固定坐标轴,确保参考信号与信号之间的精确相位关系,硬件电路要付出相当大的代价。自由轴法采用微处理器直接进行矢量运算。与传统的固定轴法相比,它不要求把坐标轴固定在某已知方向上,不用确保参考信号与信号间的精确相位关系,因而可省去有关硬件电路,不存在不同相产生的误差,有利于精度的提高。此法不要求复数阻抗的坐标轴固定,故称为“自由轴”法。如图2-7所示为“自由轴”法的矢量图。

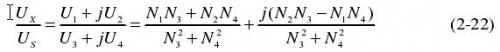
在本方法中,坐标轴方向可任意选择,因此Ф角的值是任意的。自由轴法中被测阻抗Z X两端电压U X与标准阻抗Z S两端的电压U S的关系可以用图2- 7表示。一般在自由轴法测量过程中,对每一个U X和U S都要分别进行两次测量,这两次测量的相位参考基准信号要求保持精确的正交,以得到预期的投影分量值。所谓投影分量,就是测量矢量与相位参考基准信号在相敏检波器上相乘的结果。然后分别由双斜A/D转换器将投影分量变成数字量经接口电路送到微机系统中储存,最后由微处理器经数学计算得到待测参数。U X和U S在任意方向上的各分量值表示见式(2-19)、式(2-20)和式(2-21)。

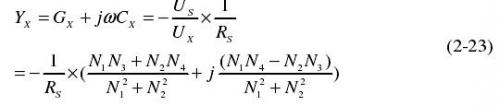
N 1、N 2分别为U X在0 o方向与90 o方向上电压U 1与U 2所对应的数字量;N 3、N 4分别为U S在0 o方向与90 o方向上电压U 3与U 4所对应的数字量;A为刻度系数。然后,由式(2-20)、(2-21)可得式(2-22)若Z S采用标准电阻R S,由式(2-18)及式(2-22),可得式(2-23)。

若Z S采用标准电阻R S,由式(2-18)及式(2-22),可得式(2-23)。

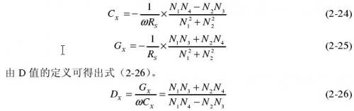
则其实部、虚部值分别见式(2-24)和式(2-25)。

因此,直接通过对N 1、N 2、N 3、N 4数字量的运算,即完成了矢量除法运算,就可求得阻抗Z X。依次类推,可以求出其它被测参数的数学模型。
1.3多种阻抗测量方法的比较
电桥法具有较高的测量精确度,因而被广泛采用,目前电桥已派生出很多类型。但电桥法需要反复进行调节,测量时间长,因而很难实现快速的自动测量。
谐振法要求有较高频率的激励信号,一般不容易满足高精度测量的要求,且由于测试频率不固定,测试速度也很难提高。
矢量伏安法是是采用数字测量技术,充分利用计算机的处理能力,进行虚实部的分离的测量,矢量伏安法测量阻抗能够充分利用数字信号处理的方法,通过对数字芯片进行简单的硬件连接,用软件编程的方法进行数字滤波和阻抗值的计算,避免了用模拟电路测量阻抗连接电路繁琐,抗干扰性差的缺点[19,20]。因此设计上采用矢量伏安法进行阻抗的测量。


