- 易迪拓培训,专注于微波、射频、天线设计工程师的培养
光电传感器的金属杨氏模量的测量
文章介绍了一种通过使用光电传感器来对金属丝杨氏模量测量的新方法。该测量的关键在于对金属丝的微小长度变化量的精确测量。首先由光电传感器将位移变化转换为电流量的变化,电信号经过I-V转换、放大及模数转化后,最后送入单片机进行数据处理,同时通过键盘来实现人机对话,并在显示器上显示出结果,实现杨氏模量测量的智能化。
0 引言
金属材料杨氏模量的测量是综合大学和工科院校物理实验中必做的实验之一。金属丝杨氏弹性模量测量的关键在于对金属丝的微小长度量的精确测量,国内一些院校的实验室仍采用的是光杠杆法测量金属丝的微小长度变量,而这种测量方法对于光路的调整有着严格的要求,测量难度大且不易掌握,操作比较繁琐,且读数过程中容易出错,耗时较长。而应国内大学物理实验的发展现状及发展要求,应用高科技不断改善物理实验设备,实现实验设备的自动化检测及控制成为主要趋势,因而我们需要另辟新的测量方法来改进实验仪器。
1 系统总体设计
我们首先用测量杨氏模量的装置产生微小位移,再用均匀光束照在硅光电池上,用与金属丝相连的挡板放在光源与硅光电池之间进行挡光,如图1所示,当移动挡板时,输出电流发生变化,且因为挡板挡光变化多少,输出电流有相应的变化量(线性变化),再将电信号经过放大及模数转化后送入单片机,由于事先编写的程序已输入单片机,则可由单片机实现实时自动测量、数据处理和显示,从而达到杨氏模量测量的自动化和高精度化。操作者只需要熟悉操作说明后,通过键盘上的按键来达到实验要求,最后的结果可以在与单片机相连的LED显示器上显示出来。
2 硬件部分
硬件部分主要有以下几个模块:由光源与硅光电池组成的光电转换模块;由TL084芯片及其外围元件组成的电流一电压转换及其放大、滤波模块;AD转换模块;最后是由单片机和LCD组成的数据处理及输出模块,如图2所示。下面简述一下前两个模块。
2.1 光电转换模块
硅光电池是一个大面积的光电二极管,它用于把入射到其表面的光能转化为电能,而我们知道,硅光电池将光能转化为电能时,其转化的电流信号的变化与入射光强的变化成线性关系。而为了验证硅光电池这一特性,我们也进行了相关的测量,并将测量的数据用MATLAB软件进行了拟合,得出符合最小二乘法的函数,其不同级次拟合得出的函数如下:
一次拟合:r=-0.04433x+86.4396
二次拟合:r=2.323e-005x^2-0.048232x+86.5482
三次拟合:r=-3.2246e-007x^3+0.00010449x^2-0.053677x+86.6233
由上式可知,随着拟合次数增加,高次项系数数量级越变越小,且变化幅度很大,从实验可行性及精度要求综合考虑可将r-x的关系以一次处理。因而我们可以通过使用硅光电池将挡光板位移的变化转为电流的变化,从而进行测量,其物理图如图1所示。
2.2 电流-电压转换及其放大、滤波模块
硬件部分最关键的是对硅光电池转换后的电流信号的处理。由于要进行模数转换就必须把电流信号转换成电压信号,因转换得到的信号很小且含有噪音信号,故我们要将其进行放大和滤波。在此用TL084集成放大器实现电流-电压转换及放大,利用RC电路进行滤波,其电路图如图3所示。转换后的电压信号直接输入AD转换电路的输入端,再将AD转换后的输出信号送入单片机进行处理及显示。其中AD转换采用的是12位转换器AD574。
3 软件部分
为了方便程序调试和提高可靠性,程序设计采用自上而下、模块化、结构化的程序设计方法。本设计按任务模块划分的程序主要有初始化程序、主程序、A/D转换子程序、数据处理子程序(包括调零、判断操作是否错误、位移值及杨氏模量值)、LCD显示子程序、键盘扫描子程序。系统主程序流程图如图4所示,其中操作检测是帮助提醒操作者,若无误,LCD显示会显示功能按键相应的数据值,若操作有误,LCD显示会显示EOF字样。
4 数据记录及处理
经过实验记录及数据处理,我们取位移值与经转换放大后的电压值的比例系数为44,在数据处理子程序中直接使用,用此系统去检测金属丝的伸长量,测得数据如表1所示。用千分尺测得钢丝的直径的数据如表2所示。

![]()
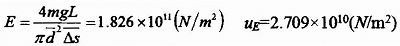
其中L=100.00cm,m=3000g,g=979.4cm/s2。uF只取一位有效数字,由“末位对齐”原则写出结果表达式:
E=E±uE=(1.8±0.3)×1011(N/m2)
5 结束语
本方法可以大大简化原来的实验装置,提高了实验的效率和准确率,成本也比原来低。改进后不仅保留了原有实验的教学内容,还有利于学生对光电传感器的结构、原理、特性及使用方法的了解,将先进科技成果应用到教学实验中,扩大了学生的知识面,所以本仪器也将是经典实验教学现代化的一个实例。
上一篇:如何对车载电子产品进行电压瞬变测试
下一篇:超声波发射与控制电路研究


