- 易迪拓培训,专注于微波、射频、天线设计工程师的培养
三毫米单片集成电路噪声系数测量技术
0 引 言
3 mm由于其波长短,在军事应用中有许多优点,因此被广泛用于精确制导和点到点通信中。作为各种军用电子装备其接收端的灵敏度是关键技术指标,而接收机灵敏度主要取决于接收机的噪声电平、因此,测量系统的噪声系数是评估电子装备系统的关键参数之一。军事预研的3 mm低噪声单片放大电路,需要测量其噪声系数。建立3 mm噪声系数测量系统,研究其测量方法,实现准确测量是当务之急。为此本文建立了92~97 GHz在片噪声系数测量系统。
1 噪声系数测量原理
本文设计系统的原理框图如图1所示。


式中:F为被测件的噪声因子(即噪声系数的线性表示);NF为被测件的噪声系数(即噪声系数的对数表示);Th为噪声源开态的噪声温度;Tc为噪声源关态的噪声温度(即室温);To=290 K为标准温度;
为Y因子,噪声源开和关两种状态下被测件输出噪声功率之比;
为噪声源的超噪比。
本文采用平衡混频器,把3 mm噪声信号下变频至噪声系数分析仪的频率范围内,采用Y因子法测量噪声系数。
2 系统设计方案
2.1 系统构成
本设计的系统框图和实物照片如图2和图3所示。
2.2 关键技术
(1)加偏置的平衡混频器技术
本文采用平衡混频器,用基波混频的方式,把3 mm噪声信号变成中频信号。但一般的3 mm平衡混频器的变频损耗在10 dB左右,而且要求本振信号达到+13 dBm。由于3 mm信号发生器的技术指标是输出大于+3 dBm,因此,很难使混频器正常工作,在这样的电平下,混频器的变频损耗增大了很多,将大于15 dB。固态噪声源的ENR均小于15 dB,因此系统无法正常工作。为此,考虑给混频器的本振端用直流信号加偏置,以减小对本振信号功率电平的要求。解决了本振信号功率小,无法工作的难题。同时,平衡混频器还具有端口隔离度好的优点
(2)减小本振信号发生器相位噪声的影响
3 mm信号发生器的相位噪声采用Agilent 8563E频谱分析仪和3 mm谐波混频器和相位噪声测量软件85671A构成测量系统,能测量的offset频率最大到300 MHz,本振信号发生器相位噪声测量结果如图4所示。 
噪声系数测量对本振相位噪声的要求应满足下述任何一种表述:
a偏离载波一个中频处的相位噪声电平不超过-130 dBm/Hz;
b本振相位噪声电平不超过[-174 dBm/Hz+NFdut+Gdut]。
实测本振信号发生器AV1482A相位噪声在偏离载波大于50MHz时均为-11O dBc/Hz,由于采用平衡混频器,其对本振噪声有20 dB的抑制度,且本振至输入端隔离为20 dB,因此,本振相位噪声在混频器输入端引起的噪声电平为:
式中:Pt(dBm/Hz)为本振相位噪声漏至混频器输入端的功率;Pc(dBm)为本振载波功率;L(dBc/Hz)为本振相位噪声;Im(dB)为混频器本振输入端至射频输入端的隔离度;Sm(dB)为混频器对本振的相位噪声的抑制度;NFdut(dB)为DUT的噪声系数;Gdut(dB)为DUT的增益。
在最坏条件下,NFdut=3 dB,Gdut=0 dB,NFsys=5 dB,Gsys=30 dB。
被测件在输入阻抗为50 Ω时产生的噪声功率与本身的噪声和系统低噪声放大器的噪声在混频器输入端产生的噪声功率:
Pn=KT0+NFdut+GdutNFsys+Gsys=-174 dBm+3 dB+0 dB+5 dB+30 dB=-136 dBm/Hz
式中:NFsys(dB)为低噪声放大器的噪声系数;Gsys(dB)为低噪声放大器的增益;B(Hz)为噪声带宽;T0(K)为标准温度(290 K);K为波尔兹曼常数(1.38×10-23)。
结论:本系统本振相位噪声在混频器输入端产生的噪声电平均不超过要求:
-147 dBm/Hz<<-130 dBm/Hz满足a项要求;
-147dBm/Hz<<-136 dBm/Hz满足b项要求。
由于噪声系数测量时要做系统校准,对系统二级噪声进行修正,因此满足上述条件就不会对噪声系数测量不确定度产生影响。
(3)在系统中加入3 mm低噪声放大器
在3 mm频段平衡混频器变频损耗>1O dB,噪声系
数也在这样的量级,如果系统加入低噪声放大器,不仅减小了系统二级噪声的贡献,也使系统工作十分稳定,测量数据的重复性很好。同时减小了系统本振相位噪声对系统测量的影响。
(4)计算了测量系统动态范围
①放大器动态范围的估算:
考虑到放大器的增益和噪声系数的起伏,取其噪声系数为5 dB,则:
放大器P-1dB压缩点的输入信号为-40 dBm,所以放大器的动态范围为23.6 dBm。
②系统动态范围的估算
噪声源输出功率的估算:
首先求噪声源平均超噪比值(ENR):
输出噪声功率为:
这样估算出系统的动态范围为15dB左右,因此,增益大于15 dB的放大器需在放大器后接入衰减器一同测试。
3 测量结果分析
3.1 测量数据
测量我所研制的PHEMT电路裸片16个,图5给出其中之一的实测噪声系数和增益曲线,偏置条件为Vds=1.0 V,Ids=22 mA。 
3.2 测量不确定度的分析
噪声系数测量不确定度不仅取决于噪声系数分析仪的准确度,而且与被测件的噪声系数和增益的大小有关,如图6所示。

同时考虑失配的因素,采用如下计算公式:
式中:

根据上述公式,以94 GHz MMIC放大器为例,计算UB。
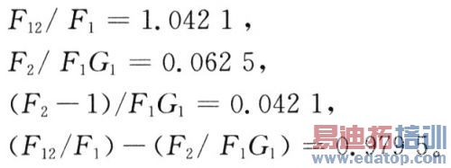
噪声系数NF1(dB)=3.43 dB,F1=2.203,
增益G1(dB)=13.46(dB),G1=22.182,|
3 mm接收机噪声系数NF2(dB)=4.85 dB,F2=3.054 9,
驻波比为1.12,ρ=0.056 6,
噪声源输出驻波比为1.13,ρ=0.061 0,
F12=F1十(F2-1)/G1=3.608 9。
计算下述各量:
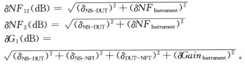
从噪声系数分析仪技术指标可知:δNF=0.1 dB,δG=0.15 dB。
根据失配不确定度公式:±20log(1+ρsρl)计算出各失配不确定度:
根据式(7)计算出噪声系数测量不确定度为0.28 dB。
4 结束语
本文只介绍了92~97 GHz频率范围的低噪声单片集成电路裸片噪声系数的测量,实际上本系统可以用于75~110 GHz频率范围内的噪声系数的测量。目前正在本系统上做3 mm噪声源校准技术的研究。


