- 易迪拓培训,专注于微波、射频、天线设计工程师的培养
MAX262滤波器在地下金属管线探测仪中的应用
0 引 言
管线探测仪是一种利用二次场原理进行地下金属管线探测的专用便携式仪器,一般包括发射机和接收机。其工作原理是首先由发射机将一特定频率的信号感应或直连到地下金属管线上,从而在金属管线上感应出电流。当感应电流在金属管线上传播时,会向外辐射出电磁波。这样,通过接收机采用不同的方法检测地下金属管线上辐射出来的这一特定频率信号的强度,便可确定其走向及深度。
由于在探测过程中需要切换多种频率,所以接收机的带通滤波器必须满足多频点要求。以往采用多级选频电路串联或通过切换RC网络的方法来实现多频点滤波。由于这些方法需要较多的元件,且参数调整较为困难,因此在探测仪中使用可程控的开关电容有源滤波器MAX262来实现多频点带通滤波。为了提高检测的精确度,必须使系统中的滤波器通带尽量窄,即在接近通带的止带能产生最佳的衰减,并希望滤波器的阶数在满足前提条件下尽可能小。而切比雪夫型滤波器就具有上述特点,能够满足系统要求。所以选择了切比雪夫型滤波器进行系统设计。
1 MAX262简介
MAX262是MAXIM公司推出的通用型开关电容有源滤波器,通过单片机可以精确控制滤波器的传输函数。该芯片采用CMOS工艺制造,无需外部元件,即可构成巴特沃思、切比雪夫、贝塞尔、椭圆函数等类型的带通、低通、高通、带阻和全通滤波器。其内部包含有两个二阶滤波器组件,并含有一个独立的运算放大器。其中心频率范围为140 kHz,输入时钟最大为4 MHz。通过对中心频率和品质因数的独立编程,可以实现64级中心频率、128级品质因数的智能控制。其工作原理如图1所示。

MAX262的每个滤波器组件都有其各自的输入时钟CLK、独立的中心频率f0和品质因数Q。实际滤波器的中心频率f0由滤波器的输入时钟频率CLK、6 位中心频率控制字(F0~F6)和工作方式(M0,M1)三者共同确定。每个组件的品质因数Q(Q0~Q6)也由编程输入进行独立的设置。以这种方式,MAX262的两套组件可以分别调谐,因此可实现复杂的滤波器设计。但需要注意的是,在MAX262滤波器的内部,其采样速率是输入时钟(CLKA或 CLKB)的一半。
2 基于MAX262的多频点切比雪型夫带通滤波器的设计
2.1 设计原理
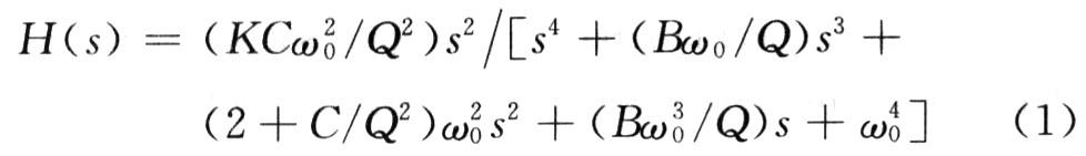
从实际情况综合考虑,四阶切比雪夫型带通滤波器即可满足系统设计要求,所以将MAX262内部的两个二阶的滤波器组件级联组成四阶切比雪夫型带通滤波器。由文献[1]知,四阶切比雪夫型带通滤波器的传输函数为:

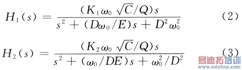
式中:B和C是文献[1]中附录A给出的相应低通系数。式(1)可以分解成以下两个二阶函数:

式中:K1,K2分别是两个二阶系统的级联增益,并且K=K1 K 2。式中:

因此只要给出滤波器的中心频率和品质因数,选择适当的滤波器系数,即可得到所需的滤波器输出响应。
2.2 在金属管线探测仪中的实际应用
在地下金属管线探测中,小于1 kHz的信号有利于远距离追踪和大直径管线的探测,但容易受到外界干扰,且不易感应到小口径管线上。而大于80 kHz的信号容易感应耦合到管线上,但探测距离小,不利于远距离追踪。综合考虑,在地下金属管线探测仪中,用到了400 Hz,8 kHz,30 kHz,60 kHz,80 kHz,120 kHz等几个频率点,所以在金属管线探测仪的接收机部分,其滤波器的中心频率必须包含以上几个频率点。然后根据给出的带通滤波器的通带宽度、中心频率和衰减限度,即可计算相应的滤波器设计参数。
2.2.1 硬件设计
在探测仪的接收机中,通过单片机AT89C2051改变MAX262的控制字及工作方式来实现不同频点的切换。在要求硬件电路尽量简单的前提下,通过对晶振分频来产生不同滤波器输入时钟。滤波器设计的硬件电路如图2所示,整个系统时钟由8 MHz的晶振XTAL提供。通过74F161分频可以得到4 MHz,2 MHz,1 MHz的时钟。在接收低频信号时,通过AT89C2051来自定义合适的滤波器输入时钟。由P3.4和P3.5控制74F153来选择滤波器输入时钟。 MAX262的4位地址线和2位数据线分别连接到AT89C2051的P1口的P1.0~P1.5。写允许输入端WR连接到P1.7。将MA.X262内部的两个二阶滤波器组件进行级联,并使用MAX262自带的独立放大器将输出端的信号进行适当的放大。在电源部分,用旁路电容将V-和V+连接到地(一般电解电容为4.7μF,陶瓷电容为O.1μF)。这些电容应尽可能放置在靠近电源引脚的地方。

2.2.2 软件设计
根据滤波器中用到的各个频率点,给出相应的滤波器截止频率和衰减限度,再结合文献[2]计算出各个频点相应的滤波器编程系数。需要注意的是,有源滤波器的中心频率f0和品质因数Q都是有限的,所以应保证计算出来的中心频率f0和品质因数Q都在可实现的范围内。
在设计滤波器时,需把MAX262内部的两个二阶滤波器组件串联起来,组成四阶切比雪夫型带通滤波器。在级联过程中,为了使整个滤波器的输出噪声较低,把具有最高品质因数Q的组件放在第一级。参考文献[2]及滤波器中心频率f0来选择滤波器的输入时钟CLK和品质因数Q。最后,利用MAXIM公司提供的相应滤波器设汁辅助软件来对参数进行适当的调整,使设计结果达到最佳。调整后的第一级滤波器组件的各个频点的设计参数和相应的编程系数如表1所示。

MAX262芯片已把中心频率f0、品质因数Q和方式选择数据存储在了内部程序存储器中。存储器的内容通过由写入的A0~A4选中的地址来更新。数据在WR的上升沿被储存到选中的单元中。编程时序如图3所示。

在选择滤波器的工作方式时,方式1具有最高的带宽,而方式2的优点是可获得较高的Q和较低的输出噪声。因此,当两种方法一起使用时,利用一种时钟频率就可以选择较宽的中心频率F0覆盖范围。
2.3 实测结果
在实际测试中,在滤波器的中心频率f0设定为8 kHz,通带宽度为1 kHz时,分别加入9 kHz和50 kHz的干扰噪声,得到滤波器的实测结果如图4所示。
在测试中加入的信号与干扰噪声幅度相同。从实测结果图中可以看出,当干扰噪声的频率在滤波器的通带频率范围内时,会对滤波结果产生干扰,如图4(a)所示。当干扰噪声的频率大于滤波器的通带频率范围时,滤波器可以有效地滤除干扰噪声,得到比较满意的滤波输出,如图4(b)所示。

3 结 语
采用单片机AT89C2051控制可程控滤波器MAX262,能很好地实现多频点的带通滤波要求。这种程控滤波器具有使用灵活、调试容易及工作性能稳定等特点。通过74F161对时钟分频和AT89C2051的自定义时钟,可以实现对MAX262所有工作频率范围的覆盖。严格来说,实际设置的滤波器参数与计算得到的滤波器参数之间存在些差异,但这些差异对于滤波器的滤波特性影响不大,实际测试时得到了良好的滤波效果。


