- 易迪拓培训,专注于微波、射频、天线设计工程师的培养
微机械惯性传感器检测平台的设计与应用
摘 要: 一种用于微机械惯性传感器研制与开发的检测平台,介绍电容式惯性传感器微电容信号的检测原理、该系统的总体结构、各个组成部分的工作原理及自动检测方法。
关键词: 微机电系统(MEMS) 微机械陀螺(MMG) 检测
随着科学技术的发展,许多新的科学领域相继涌现,其中微米/纳米技术就是诸多领域中引人注目的一项前沿技术。20世纪90年代以来,继微米/纳米技术成功应用于大规模集成电路制作后,以集成电路工艺和微机械加工工艺为基础的各种微传感器和微机电系统(MEMS)脱颖而出,平均年增长率达到30%。微机械陀螺是其中的一个重要组成部分。目前,世界各个先进工业国家都十分重视对MMG的研究及开发,投入了大量人力物力,低精度的产品已经问世,正在向高精度发展。
1 微机械振动陀螺仪的简要工作原理
陀螺系统组成见图1,它由敏感元件、驱动电路、检测电路和力反馈电路等组成。在梳状静电驱动器的差动电容上分别施加带有直流偏置但相位相反的交流电压,由于交变的静电驱动力矩的作用,质量片在平行于衬底的平面内产生绕驱动轴Z轴的简谐角振动。当在振动平面内沿垂直于检测轴的方向(X方向)有空间角速度Ω输入时,在哥氏力的作用下,检测质量片便绕检测轴(Y轴)上下振动。这种振动幅度非常小,可以由位于质量片下方、淀积在衬底上的电容极板检测,并通过电荷放大器、相敏检波电路和解调电路进行处理,得到与空间角速度成正比的电压信号。

在科研及加工过程中,一个重要的内容就是检测陀螺仪的特性,如工作状态谐振频率、带宽增益、Q值等,于是就提出了微机械惯性传感器检测平台的研制任务。根据陀螺仪的工作原理,整个仪器包括两大部分:驱动信号发生部分和表头的输出信号检测部分。驱动信号发生部分对待测的惯性传感器给予适当的驱动信号,使传感器处于工作状态。信号检测部分要求检测出微小电容变化,经过放大、解调处理后,将模拟量转换成数字量采集到PC机中,分析输出信号,以确定惯性仪表的特性。
2 微电容检测技术
在MMG检测技术中,利用电容传感器敏感试验质量片在哥氏力作用下的振动角位移,获取输入角速率信号。由于陀螺仪的尺寸微小,为了得到10°/h的中等精度,要求电容测量分辨率达到(0.01×10-15)~(1×10-18)法拉。因此,对于微机械加速度计和微机械陀螺仪来说,检测试验质量和基片之间的电容变化是一个关键技术。目前在MMG中采用的微电容检测方案有三种:开关电容电路、单位增益放大电路和电荷放大电路。
2.1 开关电容电路
其基本原理是利用电容的充放电将未知电容变化转换为电压输出。该测量电路包括一个电荷放大器、一个采样保持电路以及控制开关的时序,如图2所示。

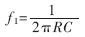
在测量过程中,先将未知电容(C1、C2)充电至已知电压Vref,然后让其放电。充、放电过程由一定时序控制,不断重复,使未知电容总处于动态的充放电过程。C1、C2连续地放电,电流脉冲经过电荷放大器转换为电压。再经过采样保持器,得到输出Vc。将公式ΔC=2C0·x/d0代入,可得电容检测电路的传递函数为:
![]()
2.2 单位增益放大器电路
AD公司与U.C.Berkeley联合开发的ADXL50 (5g的微机械加速度计)采用了单位增益放大电路。
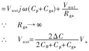
图3是单位增益放大器的等效电路。图3中,Cp为分布电容,Cgs为前置级输入电容,Rgs为输入电阻。当载波频率在放大器的通频带以内时,前置级输入电阻可忽略不计。由图3可得,前置级有用信号输出为:
(Vs-Vout)jω(C0+ΔC)+(-Vs-Vout)jω(C0-ΔC)

分布电容Cp约为10pF,输入电容Cgs约为1~10pF,一般都大于传感器标称电容C0(1pF左右)。可以看出,它们的存在都极大地降低了电容检测灵敏度。要提高电路灵敏度,就必须消除Cp、Cgs的影响,通常采用的措施是等电位屏蔽。

2.3 电荷放大器电路
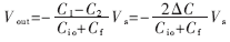
电荷放大器电路如图4所示。它采用具有低输入阻抗的反相输入运算放大器。其中Cp表示分布电容,Cf为标准反馈电容,Rf用来为放大器提供直流通道,保持电路正常工作。应选取Rf,使时间常数RfCf远大于载波周期,以避免输出波形畸变。但Rf过大为今后电路集成带来不便。可以使用小阻值的电阻组成T型网络,替代大阻值电阻。

若运算放大器具有足够的开环增益,反相输入端为很好的虚地,那么,两输入端点之间的电位差为零。因此,反相输入端对地的分布电容Cp和放大器的输入电容Cgs对电路测量不会造成影响。电荷放大电路相对于单位增益放大电路来说,结构要简单,不需考虑等电位屏蔽问题;只需将杂散电容的影响转化为对地的分布电容,即进行合理的对地屏蔽,就能获得较好的效果。
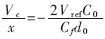
尽管在电荷放大电路中,可以忽略掉输入电容及反相输入端对地的分布电容,但是在检测微小电容变化时,输出还是有很大的衰减。这是由放大器输入输出端分布电容Cio造成的。当载波电压频率大于1/(2πRfCf)和小于放大器的截止频率时,输出电压Vout应该表示为:
![]()
检测平台的系统构成及工作原理
该系统的工作原理如图5所示。对惯性传感器施以适当的激励信号后,传感器的动片即处于振动状态,上下极板间的电容发生周期变化,采用电荷放大器电路将该信号提取出来,经交流放大、解调后通过A/D转换变成数字量采集到微机中,观察传感器的输出响应,为下一步利用软件方法分析微机械惯性传感器的时域、频域特性打下基础。

3.1 激励信号发生器
根据微机械轮式振动陀螺仪的工作原理,最多需要4路激励信号。激励信号为正弦波,每两路相位相反。为了测量陀螺仪的频率特性,需要不断改变激励信号的频率。目前不同设计的陀螺仪谐振频率在几百赫兹到10千赫兹之间,激励信号也需要在这个范围内进行调节。另外,陀螺仪的驱动力矩等于驱动信号的交流分量与直流分量的乘积,所以还要施加正或负的直流偏置,使陀螺能处于正常工作状态。交流相位和直流偏置组合见表1。

一般的RC振荡电路生成的正弦波频率靠改变R、C值来调节,不能连续大范围调节。所以,设计中采用数字方法合成模拟波形,其原理见图6。图6中8254为软件可编程计数器。其包含3个独立的16位计数器,计数最高频率可达8MHz,设计中输入3MHz的时钟,将2个计数器串连使用,这样可以增加频率控制范围。8254产生的方波信号作为后面并行计数器的计数脉冲输入。并行计数器由2片74LS161组成8位二进制循环计数器。74LS161计数到最大值时会自动清零,重新开始计数,其输出可作为E2PROM 2817A的地址信号(即每个正弦周期内采样点数为256个)。2817A的数据读取时间为150ns。设计电路时将它的片选和读信号均设为有效,以提高数据读取速度。D/A转换采用DAC-08电流输出型D/A转换器。电流输出时间85ns,放大器采用高速高精度运放OP-37。同理,D/A转换器的片选和转换开始信号总为有效,其输出跟随输入变化,提高转换速度。实验结果表明,此信号发生器完全可以生成10kHz以内可调频的正弦波。而且使用可编程计数器8254,输出正弦波的频率可以用软件方法调节。如果想输出非正弦波形,只要修改E2PROM的数据,就可以输出任意形状的周期波型。

3.2 低通跟踪滤波器
数字信号发生器具有控制灵活的优点,但是输出信号不够平滑,其中会有台阶波。在对信号要求比较高的场合,还需要进行滤波。本设计中信号的频率变化范围很大:几百赫兹到10千赫兹。为了进一步提高信号质量,采用AD633模拟乘法器构成低通跟踪滤波器,其原理如图7。

通带的截止频率是由电压EC控制的,输出是OUTPUTA,截止频率:
![]()
OUTPUTB处是乘法器的直接输出端,截止频率与RC滤波器相同:
![]()
这种滤波器结构简单,没有开关电容,噪声小,一般采用数模转换器控制EC, 控制通带频率也比较容易。
3.3 交流放大器
微机械惯性传感器在施加激励信号后,即处于振动状态。传感器有差动微电容量变化C0+ΔC和C0-ΔC。采用电荷放大器电路提取出ΔC,此电压信号仍然很弱,需要进一步放大处理,于是采用图8所示的交流放大器。

交流放大器由4个放大倍数为-1、-2、-5、-10的运算放大器级联组成,进一步放大被测信号,同时调整幅值以便适应解调器的输入。图8中的开关选用ADG211模拟开关,通过控制模拟开关的开合,可以任意选择某级或某几级放大器参加工作,实现对放大倍数正负1、2、5、10、20、50、100的整倍数调整。例如,将模拟开关S0、S2、S8、S13闭合,其他开关全部打开,交流放大器的总放大倍数即为:(-1)×(-2)×(-10)=-20。
3.4 数据采集系统
使用计算机总线,与外设之间必须有接口。本系统采用双端口RAM作为数据缓存。先将信号采样并存储其中,然后成组地向主机传送,从而有效地发挥了主、从资源的效率,且设计也相对简单。
3.4.1 系统工作原理
系统基本组成原理如图9。主要有双端口RAM、逻辑控制模块、A/D转换器组、计算机接口。主机通过接口启动逻辑控制模块后,CPU资源向其他请求开放,逻辑控制模块发控制信号启动A/D转换器并进行采样,并将转换结果存入双端口RAM。当RAM中的数据达到一定数量时,逻辑控制模块向计算机发出中断请求。主机接到请求后进入中断服务程序,向逻辑控制模块发出命令,决定是否继续采样,并将RAM内的数据读入内存。

3.4.2 硬件设计
本设计使用Cypress公司的CY7C136(2k×8bit)双端口RAM。其两个端口都有独立的控制信号、片选CE、输出允许OE和读写控制R/W。这组控制信号使得两个端口可以像独立的存储器一样使用。使用这种器件要注意当两个端口访问同一个单元时,有可能导致数据读出的结果不正确。解决这个问题的方法有两个:一种是监测busy信号输出,当检测到busy信号有效时,就使访问周期拉长,这是从硬件上解决;另一种方法是软件上保证两个端口不同时访问一个单元,即将双端口RAM进行分块。本系统采用后者,将busy信号输出通过上拉电阻接到电源正极。
在系统中,逻辑控制模块的作用非同小可,是控制采样、存储、与计算机接口的核心。本系统为了方便对采样速率等参数进行设置,在该模块中采用了MCS-51单片机。这样可以通过编程设定采样速率。
与主机的信息交换包括:
(1)接收主机控制信号,以决定是否开始采样;
(2)在存储区满后,向主机发中断请求。
本系统使用AT89C51的地址总线来选通RAM的存储单元,对其进行写操作,将采样结果存入相应的单元。
3.4.3 软件设计
系统软件包括主机程序和逻辑控制模块中89C51程序。软件的关键是单片机控制A/D转换器和存储器部分,软件流程见图10。

至于系统的采样速率,一般通过调用定时中断来实现。
微机械惯性通用检测系统针对性强(专用于微机械陀螺仪和加速度计),可实现敏感元件的自动测试,自动扫频测出传感器的谐振频率、Q值等,并且还可以在一定程度上实现硬件功能再调整,在实际检测中取得了较好的效果。
上一篇:基于μC/OS-II的电力参数监测仪设计
下一篇:工业应用中的测量


