- 易迪拓培训,专注于微波、射频、天线设计工程师的培养
工业应用中的测量
许多电子设计应用要求的激励源幅度超出了当前市场上大多数任意波形/函数发生器的能力,包括电源半导体应用,如汽车电子系统和开关电源中广泛使用的MOSFETs和IGBTs,气相色谱和质谱检测器使用的放大器,以及科学和工业应用中使用的其它设备。
一般来说,任意波形/函数发生器为50欧姆负荷提供最高10 Vpp的幅度,为开路提供最高20 Vpp的幅度。上述设备通常在两倍的输入范围上工作。直到现在,在整个工作范围上测试这些设备通常要求使用一台放大器,来提升标准发生器提供的信号。这种方法提高了测试设置的复杂性,给放大器输出上的有效幅度带来了不确定性,增加了设备成本。
本文描述了使用外部放大器生成高幅度信号的传统方法,然后讨论了典型应用,说明了使用集成高幅度阶段的新型任意波形/ 函数发生器的各种优势。
传统方法

图1 使用外部放大器时的测量设置
图1是标准任意波形/函数发生器的典型测量设置,它增加了一台放大器,把幅度提升到要求的水平。发生器输出连接到放大器输入上。某些放大器允许配置输入和/或输出,以与不同的源阻抗和/或负荷阻抗相匹配。一般来说,提升幅度的放大器没有显示器,因此必须使用示波器或其它测量设备监测有效输出幅度。这进一步提高了测量设置的复杂性,要求额外的时间,特别是在测试前和测试期间需要调节和检验幅度水平时。
测量电源MOSFET上的开关时间
电源MOSFET用于各种汽车运动控制、电源管理和气候控制应用中。它们驱动小型马达、螺线管、防抱死刹车、电动转向和电子稳定编程系统及H.I.D灯使用的点火电路。它们还是集成式起动器/交流发电机的关键组件。

图2 一个DC马达驱动器中四个MOSFET的H电桥配置

图3 MOSFET示意图和等效电路。
图2显示了驱动DC马达的H电桥拓扑中使用的MOSFET实例。这一配置提供了前向、后向和制动功能。
在作为开关使用时,MOSFET的基本功能是通过门信号控制漏电流。在这些应用中,开关时间是电路设计人员选择元件时考虑的一个重要指标。MOSFET的开关性能取决于通过内部电容建立电压变化所需的时间(参见图3)。注意,门源电压必须先把MOSFET的输入电容变成特性门限电平,然后漏电流才能起动。

图4 测量电源MOSFET开关时间的设置。

图5 AFG3011直接在显示器上显示幅度。

图6 测量电源MOSFET的开关时间。
与时间相关需要关注的参数是起动时延和关闭时延及上升时间和下降时间。为测量这些参数,应使用来自信号发生器输入的窄脉冲激励MOSFET的门,然后使用示波器测量门电压和漏电压(参见图4)。
通过使用集成高幅度输出阶段的任意波形/函数发生器,而不是外部放大器,用户可以直接查看MOSFET输入电路上的有效信号幅度,而不需使用示波器测量幅度。
现在,通过示波器屏幕显示的曲线中的光标测量,可以方便地确定起动时延。起动时延是从门源电压达到最后值10%时到漏源电压下降到初始值90%时所需的时间。类似的,关闭时延是从门源电压下降到前一水平90%时到漏源电压上升到供电电压10%时所需的时间。为测量漏极信号的上升时间和下降时间,现代示波器提供了方便的自动化测量功能。

图7 IGBT电路符号和等效电路。

图8 IGBT门驱动电路和开关测试电路。
分析IGBT的开关波形
近几年来,由于高开关速度、高电流功能、大阻塞电压和简单的门驱动特点,同时由于较低的传导损耗及较低的状态电压下跌水平,绝缘门双极晶体管(IGBT)在工业应用和汽车应用中正日益替代MOSFET。
IGBT的工业应用包括牵引、变速马达驱动器、不间断电源(UPS)、感应加热、焊接及电信和服务器系统中的高频开关式电源。在汽车行业中,点火线圈驱动电路、马达控制器和安全相关系统对IGBT的需求非常庞大。
IGBT是双极晶体管和MOSFET的交叉。在输出开关和传导特点方面,IGBT与双极晶体管类似。但是,双极晶体管是流控式的,IGBT与MOSFET则是压控式的。为保证完全饱和及限制短路电流,建议门驱动电压为+15V。
与MOSFET一样,IGBT在门、发射器和集电极之间有电容。在门端子和发射器端子之间应用电压时,会以指数方式通过门电阻器RG对输入电容充电,直到达到IGBT的特性门限电压,确定集电极到发射器传导。同样,输入门到发射器电容必须被放电到某个高原稳定电压,然后才能中断集电极到发射器传导,关闭IGBT。
门电阻器的尺寸对IGBT的起动特点和关闭特点有着明显的影响。门电阻器越小,IGBT门到发射器电容充电和放电的速度越快,因此其开关时间短,开关损耗小。但是,由于IGBT的门到发射器电容和引线的寄生电感,门电阻器值小也会导致振荡。为降低关闭损耗,改善IGBT对通过集电极到发射器电压变化速率注入的噪声的免疫力(这种噪声对电感负荷可能会具有实质性影响),建议门驱动电路包括实质性的开关偏置。
IGBT的最佳性能随应用变化,必须相应地设计门驱动电路。在硬开关应用中,如马达驱动器或不间断电源,必须选择门驱动参数,以便开关波形不会超过IGBT的安全工作区。这可能意味着牺牲开关速度,要以开关损耗为代价。在软开关应用中,开关波形完全落在安全工作区内,可以把门驱动设计成短开关时间及较低的开关损耗。

图9. IGBT的开关波形。

为优化IGBT门驱动设计,设计工程师必须了解设备在实际负荷条件下的开关特点。为分析这些开关特点,可以使用一系列单个脉冲激励IGBT的门,同时使用示波器测量门到发射器电压、集电极到发射器电压和集电器电流。由于能够生成高幅度脉冲,AFG3011任意波形/函数发生器特别适合完成这一任务。由于IGBT的集电极到发射器电压对电感负荷的动态范围非常高,因此要求使用高压差分探头进行测量。可以使用标准无源探头测量门到发射器电压,使用非插入型电流探头测量集电极电流。
图9显示了带电感负荷的IGBT的典型开关波形。从这些波形中,设计工程师可以确定开关能量、状态损耗及IGBT是否在安全工作区域内工作。然后根据测量数据,工程师可以确定选定的脉冲重复频率、幅度和边沿跳变是否足以实现设计目标。如果需要调节,可以通过AFG3011前面板上的快捷键直接进入所有脉冲参数。然后可以通过旋转旋钮或数字键改变参数,而不会有定时毛刺,也不必中断测试。
在测量过程中,必须考虑各种因素,如传播时延(偏移)、偏置和探头固有的噪声。工程师将发现,使用的示波器最好带有软件工具,能够处理探头相关问题,自动计算开关功率损耗,确定IGBT的安全工作区域。
信号幅度和负荷阻抗
信号发生器提供的输出电压取决于连接的负荷或被测设备的阻抗,其原因在于发生器的输出阻抗。例如,图10显示了AFG3011的等效输出电路。根据幅度设置,仪器提供了某个电流I。如果50欧姆的负荷ZDUT连接到发生器输出上,一半的I流经发生器的输出阻抗ZOUT,另一半流经ZDUT。如果ZDUT的阻抗明显大于ZOUT,那么几乎所有I都流经ZOUT,导致输出电压几乎是50欧姆负荷的两倍。

图10 AFG3011的等效输出电路。
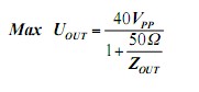
任意波形/函数发生器的产品技术资料一般会规定50欧姆负荷和高阻抗负荷的最大输出幅度。例如,AFG3011规定的输出幅度对50欧姆负荷是20 Vpp,对开路是40 Vpp。对其它负荷阻抗值,可以使用下述公式计算最大输出电压:

图11 AFG3000系列上的负荷阻抗选择。
请注意,负荷阻抗设置既不会改变发生器的输出阻抗,也不会改变负荷阻抗本身。它只会影响幅度和偏置显示,保证仪器显示连接的负荷中正确的有效幅度值。
结语
现代任意波形/函数发生器如AFG3011可以为50欧姆负荷生成高达20 Vpp的信号幅度,而不需使用外部提升放大器。这简化了许多应用中的测试,降低了设备成本。它还节约了测量时间,因为发生器直接在显示屏上显示有效幅度,而不必使用伏特计进行单独测量。
除本指南中描述的测试应用外,还可以使用高幅度任意波形/函数发生器测试显示器、MEMS技术、螺线管及质谱仪和相关科学应用。


